
From A to B with Edsger and Friends
The shortest distance between two points is under construction.
— Noelie Altito
It’s time to return to the second problem from the introduction:1 How do you find the shortest route from Kashgar to Ningbo? If you pose this problem to any map software, you’d probably get the answer in less than a second. By now, this probably seems less mysterious than it (maybe) did initially, and you even have tools that could help you write such a program. You know that BFS would find the shortest path if all stretches of road had the same length, and you could use the DAG shortest path algorithm as long as you didn’t have any cycles in your graph. Sadly, the road map of China contains both cycles and roads of unequal length. Luckily, however, this chapter will give you the algorithms you need to solve this problem efficiently!
And lest you think all this chapter is good for is writing map software, consider in what other contexts the abstraction of shortest paths might be useful. For example, you could use it in any situation where you’d like to efficiently navigate a network, which would include all kinds of routing of packets over the Internet. In fact, the ’net is stuffed with such routing algorithms, all working behind the scenes. But such algorithms are also used in less obviously graph-like navigation, such as having characters move about intelligently in computer games. Or perhaps you’re trying to find the lowest number of moves to solve some form of puzzle? That would be equivalent to finding the shortest path in its state space—the abstract graph representing the puzzle states (nodes) and moves (edges). Or are you looking for ways to make money by exploiting discrepancies in currency exchange rates? One of the algorithms in this chapter will at least take you part of the way (see Exercise 9-1).
Finding shortest paths is also an important subroutine in other algorithms that need not be very graph-like. For example, one common algorithm for finding the best possible match between n people and n jobs2 needs to solve this problem repeatedly. At one time, I worked on a program that tried to repair XML files, inserting start and end tags as needed to satisfy some simple XML schema (with rules such as “list items need to be wrapped in list tags”). It turned out that this could be solved easily by using one of the algorithms in this chapter. There are applications in operations research, integrated circuit manufacture, robotics—you name it. It’s definitely a problem you want to learn about. Luckily, although some of the algorithm can be a bit challenging, you’ve already worked through many, if not most, of their challenging bits in the previous chapters.
The shortest path problem comes in several varieties. For example, you can find shortest paths (just like any other kinds of paths) in both directed and undirected graphs. The most important distinctions, though, stem from your starting points and destinations. Do you want to find the shortest from one node to all others (single source)? From one node to another (single pair, one to one, point to point)? From all nodes to one (single destination)? From all nodes to all others (all pairs)? Two of these—single source and all pairs—are perhaps the most important. Although we have some tricks for the single pair problem (see “Meeting in the Middle” and “Knowing Where You’re Going,” later), there are no guarantees that will let us solve that problem any faster than the general single-source problem. The single destination problem is, of course, equivalent to the single-source version (just flip the edges for the directed case). The all-pairs problem can be tackled by using each node as a single source (and we’ll look into that), but there are special-purpose algorithms for that problem as well.
Propagating Knowledge
In Chapter 4, I introduced the idea of relaxation and gradual improvement. In Chapter 8, you saw the idea applied to finding shortest paths in DAGs. In fact, the iterative shortest path algorithm for DAGs (Listing 8-4) is not just a prototypical example of dynamic programming; it also illustrates the fundamental structure of the algorithms in this chapter: we use relaxation over the edges of a graph to propagate knowledge about shortest paths.
Let’s review what this looks like. I’ll use a dict of dicts representation of the graph and use a dict D to maintain distance estimates (upper bounds), like in Chapter 8. In addition, I’ll add a predecessor dict, P, as for many of the traversal algorithms in Chapter 5. These predecessor pointers will form a so-called shortest path tree and will allow us to reconstruct the actual paths that correspond to the distances in D. Relaxation can then be factored out in the relax function in Listing 9-1. Note that I’m treating nonexistent entries in D as if they were infinite. (I could also just initialize them all to be infinite in the main algorithms, of course.)
Listing 9-1. The Relaxation Operation
inf = float('inf')
def relax(W, u, v, D, P):
d = D.get(u,inf) + W[u][v] # Possible shortcut estimate
if d < D.get(v,inf): # Is it really a shortcut?
D[v], P[v] = d, u # Update estimate and parent
return True # There was a change!
The idea is that we look for an improvement to the currently known distance to v by trying to take a shortcut through u. If it turns out not to be a shortcut, fine. We just ignore it. If it is a shortcut, we register the new distance and remember where we came from (by setting P[v] to u). I’ve also added a small extra piece of functionality: the return value indicates whether any change actually took place; that’ll come in handy later (though you won’t need it for all your algorithms).
Here’s a look at how it works:
>>> D[u]
7
>>> D[v]
13
>>> W[u][v]
3
>>> relax(W, u, v, D, P)
True
>>> D[v]
10
>>> D[v] = 8
>>> relax(W, u, v, D, P)
>>> D[v]
8
As you can see, the first call to relax improves D[v] from 13 to 10 because I found a shortcut through u, which I had (presumably) already reached using a distance of 7 and which was just 3 away from v. Now I somehow discover that I can reach v by a path of length 8. I run relax again, but this time, no shortcut is found, so nothing happens.
As you can probably surmise, if I now set D[u] to 4 and ran the same relax again, D[v] would improve, this time to 7, propagating the improved estimate from u to v. This propagation is what relax is all about. If you randomly relax edges, any improvements to the distances (and their corresponding paths) will eventually propagate throughout the entire graph—so if you keep randomly relaxing forever, you know that you’ll have the right answer. Forever, however, is a very long time ...
This is where the relax game (briefly mentioned in Chapter 4) comes in: we want to achieve correctness with as few calls to relax as possible. Exactly how few we can get away with depends on the exact nature of our problem. For example, for DAGs, we can get away with one call per edge—which is clearly the best we can hope for. As you’ll see a bit later, we can actually get that low for more general graphs as well (although with a higher total running time and with no negative weights allowed). Before getting into that, however, let’s take a look at some important facts that can be useful along the way. In the following, assume that we start in node s and that we initialize D[s] to zero, while all other distance estimates are set to infinity. Let d(u,v) be the length of the shortest path from u to v.
You should make sure you understand why these statements are true before proceeding. It will probably make the rest of the chapter quite a bit easier to follow.
Relaxing like Crazy
Relaxing at random is a bit crazy. Relaxing like crazy, though, might not be. Let’s say that you relax all the edges. You can do it in a random order, if you like—it doesn’t matter. Just make sure you get through all of them. Then you do it again—perhaps in another order—but you get through all the edges, once again. And again, and again. Until nothing changes.
Tip Imagine each node continuously shouting out bids for supplying short paths to its out-neighbors, based on the shortest path it has gotten itself, so far. If any node gets a better offer than what it already has, it switches its path supplier and lowers its bids accordingly.
It doesn’t seem like such an unreasonable approach, at least for a first attempt. Two questions present themselves, though: How long will it take until nothing changes (if we ever get there), and can you be sure you’ve got the answer right when that happens?
Let’s consider a simple case first. Assume that all edge weights are identical and nonnegative. This means that the relax operation can find a shortcut only if it finds a path consisting of fewer edges. What, then, will have happened after we relax all edges once? At the very least, all neighbors of s will have the correct answer and will have s set as their parent in the shortest path tree. Depending on the order in which we relaxed the edges, the tree may have spread further, but we have no guarantees of that. How about if we relax all edges once more? Well, if nothing else, the tree will at least have extended one more level. In fact, the shortest path tree will—in the worst case—spread level by level, as if we were performing some horribly inefficient BFS. For a graph with n nodes, the largest number of edges in any path is n-1, so we know that n-1 is the largest number of iterations we need.
In general, though, we can’t assume this much about our edges (or if we could, we should rather just use BFS, which would do an excellent job). Because the edges can have different (possibly even negative) weights, the relax operations of later rounds may modify the predecessor pointers set in earlier rounds. For example, after one round, a neighbor v of s will have had P[v] set to s, but we cannot be sure that this is correct! Perhaps we’ll find a shorter path to v via some other nodes, and then P[v] will be overwritten. What can we know, then, after one round of relaxing all the edges?
Think back to the last one of the principles listed in the previous section: if we relax all the edges—in order—along a shortest path from s to a node v, then our answer (consisting of D and P) will be correct for the path. In this case, specifically, we will have relaxed all edges along all shortest paths ... consisting of a single edge. We don’t know where these paths are, mind you, because we don’t (yet) know how many edges go into the various optimal paths. Still, although some of the P-edges linking s to its neighbors may very well not be final, we know that the ones that are correct must be there already.
And so the story goes. After k rounds of relaxing every edge in the graph, we know that all shortest paths of consisting of k edges have been completed. Following our earlier reasoning, for a graph with n nodes and m edges, it will require at most n-1 rounds until we’re done, giving us a running time of Θ(nm). Of course, this need only be the worst-case running time, if we add a check: Has anything changed in the last round? If nothing changed, there’s no point in continuing. We might even be tempted to drop the whole n-1 count and only rely on this check. After all, we’ve just reasoned that we’ll never need more than n-1 rounds, so the check will eventually halt the algorithm. Right? No? No. There’s one wrinkle: negative cycles.
You see, negative cycles are the enemy of shortest path algorithms. If we have no negative cycles, the “no change” condition will work just fine, but throw in a negative cycle, and our estimates can keep improving forever. So ... as long as we allow negative edges (and why wouldn’t we?), we need the iteration count as a safeguard. The good news about this is that we can use the count to detect negative cycles: Instead of running n-1 rounds, we run n rounds and see whether anything changed in the last iteration. If we did get an improvement (which we shouldn’t have), we immediately conclude “A negative cycle did it!” and we declare our answers invalid and give up.
Note Don’t get me wrong. It’s perfectly possible to find the shortest path even if there’s a negative cycle. The answer isn’t allowed to contain cycles anyway, so the negative cycles won’t affect the answer. It’s just that finding the shortest path while allowing negative cycles is an unsolved problem (see Chapter 11).
We have now arrived at the first proper algorithm of the chapter: Bellman-Ford (see Listing 9-2). It’s a single-source shortest path algorithm allowing arbitrary directed or undirected graphs. If the graph contains a negative cycle, the algorithm will report that fact and give up.
Listing 9-2. The Bellman-Ford Algorithm
def bellman_ford(G, s):
D, P = {s:0}, {} # Zero-dist to s; no parents
for rnd in G: # n = len(G) rounds
changed = False # No changes in round so far
for u in G: # For every from-node...
for v in G[u]: # ... and its to-nodes...
if relax(G, u, v, D, P): # Shortcut to v from u?
changed = True # Yes! So something changed
if not changed: break # No change in round: Done
else: # Not done before round n?
raise ValueError('negative cycle') # Negative cycle detected
return D, P # Otherwise: D and P correct
Note that this implementation of the Bellman-Ford algorithm differs from many presentations precisely in that it includes the changed check. That check gives us two advantages. First, it lets us terminate early, if we don’t need all the iterations; second, it lets us detect whether any change occurred during the last “superfluous” iteration, indicating a negative cycle. (The more common approach, without this check, is to add a separate piece of code implementing this last iteration, with its own change check.)
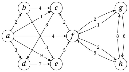
Because this algorithm is the foundation for several others, let’s make sure it’s clear how it works. Consider the weighted graph example from Chapter 2. We can specify it as a dict of dicts, as follows:
a, b, c, d, e, f, g, h = range(8)
G = {
a: {b:2, c:1, d:3, e:9, f:4},
b: {c:4, e:3},
c: {d:8},
d: {e:7},
e: {f:5},
f: {c:2, g:2, h:2},
g: {f:1, h:6},
h: {f:9, g:8}
}
See Figure 9-1 for a visual presentation of the graph. Let’s say we call bellman_ford(G, a). What happens? If we want to find out in more detail, we can use a debugger, or perhaps the trace or logging packages. For simplicity, let’s say we add a couple of print statements that show us the edges that are relaxed, as well as the assignments to D, if any. Let’s say we also iterate over the nodes and neighbors in sorted order (using sorted), for deterministic results.

Figure 9-1. An example weighted graph
We then get a printout that starts something like the following:
(a,b) D[b] = 2
(a,c) D[c] = 1
(a,d) D[d] = 3
(a,e) D[e] = 9
(a,f) D[f] = 4
(b,c)
(b,e) D[e] = 5
(c,d)
(d,e)
(e,f)
(f,c)
(f,g) D[g] = 6
(f,h) D[h] = 6
(g,f)
(g,h)
(h,f)
(h,g)
This is the first round of Bellman-Ford; as you can see, it has gone through all the edges once. The printout will continue for another round, but no assignments will be made to D, and so the function returns. There is some sloppiness here: The distance estimate D[e] is first set to 9, which is the distance along the path directly from a to e. Only after relaxing (a,b) and then (b,e) will we discover a better option, namely, the path a, b, e, of length 5. However, we have gotten rather lucky, in that we needed only one pass through the edges. Let’s see if we can make things more interesting and force the algorithm to do another round before settling down. See any ways of doing that? One way would be:
G[a][b] = 3
G[a][c] = 7
G[c][d] = -4
Now we have a good route to d via f, but we won’t find that in the first round:
(a,b) D[b] = 3
(a,c) D[c] = 7
(a,d) D[d] = 3
(a,e) D[e] = 9
(a,f) D[f] = 4
(b,c)
(b,e) D[e] = 6
(c,d)
(d,e)
(e,f)
(f,c) D[c] = 6
(f,g) D[g] = 6
(f,h) D[h] = 6
(g,f)
(g,h)
(h,f)
(h,g)
We’ve gotten D[c] down to 6 in the first round, but when we get to that point, we have already relaxed (c,d), at a time when that edge couldn’t give us any improvement, because D[c] was 7 and D[d] was already 3. In the second round, however, you’d see
(c,d) D[d] = 2
and in the third round, things would have settled down.
Before leaving the example, let’s try to introduce a negative cycle. Let’s use the original weights, with the following single modification:
G[g][h] = -9
Let’s get rid of the relaxations that don’t change D, and let’s add some round numbers to the printout. We then get the following:
# Round 1:
(a,b) D[b] = 2
(a,c) D[c] = 1
(a,d) D[d] = 3
(a,e) D[e] = 9
(a,f) D[f] = 4
(b,e) D[e] = 5
(f,g) D[g] = 6
(f,h) D[h] = 6
(g,h) D[h] = -3
(h,g) D[g] = 5
# Round 2:
(g,h) D[h] = -4
(h,g) D[g] = 4
# Round 3:
(g,h) D[h] = -5
(h,g) D[g] = 3
# Round 4:
(g,h) D[h] = -6
(h,f) D[f] = 3
(h,g) D[g] = 2
...
# Round 8:
(g,h) D[h] = -10
(h,f) D[f] = -1
(h,g) D[g] = -2
Traceback (most recent call last):
...
ValueError: negative cycle
I’ve removed some of the rounds, but I’m sure you can see the pattern: After round 3, the distance estimates of g, h, and f repeatedly decrease by one. The fact that they did so even in round 8, given that there are only 8 nodes, alerts us to the presence of a negative cycle. This doesn’t mean that there’s no solution—it just means that continued relaxation won’t find it for us, so we raise an exception.
Of course, a negative cycle is only a problem if we can actually reach it. Let’s try to eliminate the edge (f,g), for example by using del G[f][g]. Now at least f won’t participate in the cycle, but we still have g and h improving each others’ estimates beyond what’s correct. If, however, we also remove (f,h), our problem disappears!
(a,b) D[b] = 2
(a,c) D[c] = 1
(a,d) D[d] = 3
(a,e) D[e] = 9
(a,f) D[f] = 4
(b,e) D[e] = 5
The graph is still connected, and the negative cycle is still there, but our traversal never reaches it. If this makes you uncomfortable, rest assured: The distances to g and h are correct. They are both infinite, as they should be. If, however, you try to call either bellman_ford(G, g) or bellman_ford(G, h), though, the cycle is once again reachable, so you’ll get a flurry of action, with several updates in each round, followed by the negative cycle exception at the end.

Pillow Talk. Maybe I should’ve tried Wexler? (http://xkcd.com/69)
Finding the Hidden DAG
The Bellman-Ford algorithm is great. In many ways it’s the easiest to understand of the algorithms in this chapter: Just relax all the edges until we know everything must be correct. For arbitrary graphs, it’s a good algorithm, but if we can make some assumptions, we can (as is usually the case) do better. As you’ll recall, the single-source shortest path problem can be solved in linear time for DAGs. In this section, I’ll deal with a different constraint, though. We can still have cycles, but no negative edge weights. (In fact, this is a situation that occurs in a great deal of practical applications, such as those discussed in the introduction.) Not only does this mean that we can forget about the negative cycle blues; it’ll let us draw certain conclusions about when various distances are correct, leading to a substantial improvement in running time.
The algorithm I’m building up to here, designed by algorithm super-guru Edsger W. Dijkstra in 1959, can be explained in several ways, and understanding why it’s correct can be a bit tricky. I think it can be useful to see it as a close relative to the DAG shortest path algorithm, with the important difference that it has to uncover a hidden DAG.
You see, even though the graph we’re working with can have any structure it wants, we can think of some of the edges as irrelevant. To get things started, we can imagine that we already know the distances from the start node to each of the others. We don’t, of course, but this imaginary situation can help our reasoning. Imagine ordering the nodes, left to right, based on their distance. What happens? For the general case—not much. However, we’re assuming that we have no negative edge weights, and that makes all the difference.
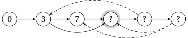
Because all edges are positive, the only nodes that can contribute to a node’s solution will lie to its left in our hypothetical ordering. It will be impossible to locate a node to the right that will help us find a shortcut because this node is further away and could give us a shortcut only if it had a negative back edge. The positive back edges are completely useless to us and aren’t part of the problem structure. What remains, then, is a DAG, and the topological ordering we’d like to use is exactly the hypothetical ordering we started with: nodes sorted by their actual distance. See Figure 9-2 for an illustration of this structure. (I’ll get back to the question marks in a minute.)

Figure 9-2. Gradually uncovering the hidden DAG. Nodes are labeled with their final distances. Because weights are positive, the backward edges (dashed) cannot influence the result and are therefore irrelevant
Predictably enough, we now hit the major gap in the solution: It’s totally circular. In uncovering the basic problem structure (decomposing into subproblems or finding the hidden DAG), we’ve assumed that we’ve already solved the problem. The reasoning has still been useful, though, because we now have something specific to look for. We want to find the ordering—and we can find it with our trusty workhorse, induction!
Consider, again, Figure 9-2. Assume that the highlighted node is the one we’re trying to identify in our inductive step (meaning that the earlier ones have been identified and already have correct distance estimates). Just like in the ordinary DAG shortest path problem, we’ll be relaxing all out-edges for each node, as soon as we’ve identified it and determined its correct distance. That means that we’ve relaxed the edges out of all earlier nodes. We haven’t relaxed the out-edges of later nodes, but as discussed, they can’t matter: the distance estimates of these later nodes are upper bounds, and the back-edges have positive weights, so there’s no way they can contribute to a shortcut.
This means (by the earlier relaxation properties or the discussion of the DAG shortest path algorithm in Chapter 8) that the next node must have a correct distance estimate. That is, the highlighted node in Figure 9-2 must by now have received its correct distance estimate, because we’ve relaxed all edges out of the first three nodes. This is very good news, and all that remains is to figure out which node it is. We still don’t really know what the ordering is, remember? We’re figuring out the topological sorting as we go along, step by step.
There is only one node that could possibly be the next one, of course:3 the one with the lowest distance estimate. We know it’s next in the sorted order, and we know it has a correct estimate; because these estimates are upper bounds, none of the later nodes could possibly have lower estimates. Cool, no? And now, by induction, we’ve solved the problem. We just relax all out-edges of each node in distance order—which means always taking the one with the lowest estimate next.
This structure is quite similar to that of Prim’s algorithm: traversal with a priority queue. Just as in Prim’s, we know that nodes we haven’t discovered in our traversal will not have been relaxed, so we’re not (yet) interested in them. And of the ones we have discovered (and relaxed), we always want the one with the lowest priority. In Prim’s algorithm, the priority was the weight of the edge linking back to the traversal tree; in Dijkstra’s, the priority is the distance estimate. Of course, the priority can change as we find shortcuts (just like new possible spanning tree edges could reduce the priority in Prim’s), but just like in Listing 7-5, we can simply add the same node to our heap multiple times (rather than trying to modify the priorities of the heap entries), without compromising correctness or running time. The result can be found in Listing 9-3. Its running time is loglinear, or, more specifically, Θ((m+n) lg n), where m is the number of edges and n the number of nodes. The reasoning here is that you need a (logarithmic) heap operation for (1) each node to be extracted from the queue and (2) each edge to be relaxed.4 As long as you have Ω(n) edges, which you will for graphs where you can reach Θ(n) nodes from the start node, the running time can be simplified to Θ(m lg n).
Listing 9-3. Dijkstra’s Algorithm
from heapq import heappush, heappop
def dijkstra(G, s):
D, P, Q, S = {s:0}, {}, [(0,s)], set() # Est., tree, queue, visited
while Q: # Still unprocessed nodes?
_, u = heappop(Q) # Node with lowest estimate
if u in S: continue # Already visited? Skip it
S.add(u) # We've visited it now
for v in G[u]: # Go through all its neighbors
relax(G, u, v, D, P) # Relax the out-edge
heappush(Q, (D[v], v)) # Add to queue, w/est. as pri
return D, P # Final D and P returned
Dijkstra’s algorithm may be similar to Prim’s (with another set of priorities for the queue), but it is also closely related to another old favorite: BFS. Consider the case where the edge weights are positive integers. Now, replace an edge that has weight w with w-1 unweighted edges, connecting a path of dummy nodes (see Figure 9-3). We’re ruining what chances we had for an efficient solution (see Exercise 9-3), but we know that BFS will find a correct solution. In fact, it will do so in a way very similar to Dijkstra’s algorithm: It will spend an amount of time on each (original) edge proportional to its weight, so it will reach each (original) node in order of distance from the start node.

Figure 9-3. An edge weight, or length, simulated by dummy nodes
It’s a bit like if you had set up a series of dominoes along each edge (the number of dominoes proportional to the weight), and you then tip the first domino in the start node. A node may be reached from multiple directions, but we can see which direction won, by looking at which dominoes lie below the others.
If we started with this approach, we could see Dijkstra’s algorithm as a way of gaining performance by “simulating” BFS, or the dominoes (or flowing water or a spreading sound wave, or ...), without bothering to deal with each dummy node (or domino) individually. Instead, we can think of our priority queue as a timeline, where we mark various times at which we will reach nodes by following various paths. We look down the length of a newly discovered edge and think, “When could the dominoes reach that node by following this edge?” We add the time the edge would take (the edge weight) to the current time (the distance to the current node) and place the result on the timeline (our heap). We do this for each node that is reached for the first time (we’re interested only in the shortest paths, after all), and we keep moving along the timeline to reach other nodes. As we reach the same node again, later in the timeline, we simply ignore it.5
I’ve been clear about how Dijkstra’s algorithm is similar to the DAG shortest path algorithm. It is very much an application of dynamic programming, although the recursive decomposition wasn’t quite as obvious as in the DAG case. To get a solution, it also uses greed, in that it always moves to the node that currently has the lowest distance estimate. With the binary heap as a priority queue, there’s even a bit of divide and conquer going on in there; all in all, it’s a beautiful algorithm that uses much of what you’ve learned so far. It’s well worth spending some time on fully understanding it.
All Against All
In the next section, you’ll see a really cool algorithm for finding the shortest distances between all pairs of nodes. It’s a special-purpose algorithm that is effective even if the graph has a lot of edges. In this section, though, I’ll have a quick look at a way to combine the two previous algorithms—Bellman-Ford and Dijkstra’s algorithm—into one that really shines in sparse graphs (that is, ones with relatively few edges). This is Johnson’s algorithm, one that seems to be neglected in many courses and books on algorithm design, but which is really clever and which you get almost for free, given what you already know.
The motivation for Johnson’s algorithm is the following: When solving the all-pairs shortest paths problem for sparse graphs, simply using Dijkstra’s algorithm from every node is, in fact, a really good solution. That in itself doesn’t exactly motivate a new algorithm ... but the trouble is that Dijkstra’s algorithm doesn’t permit negative edges. For the single-source shortest path problem, there isn’t much we can do about that, except use Bellman-Ford instead. For the all-pairs problem, though, we can permit ourselves some initial preprocessing to make all the weights positive.
The idea is to add a new node s, with zero-weight edges to all existing nodes, and then to run Bellman-Ford from s. This will give us a distance—let’s call it h (v)—from s to each node v in our graph. We can then use h to adjust the weight of every edge: We define the new weight as follows: w ’(u,v) = w(u,v) + h(u) - h(v). This definition has two very useful properties. First, it guarantees us that every new weight w’(u,v) is nonnegative (this follows from the triangle inequality, as discussed earlier in this chapter; see also Exercise 9-5). Second, we’re not messing up our problem! That is, if we find the shortest paths with these new weights, those paths will also be shortest paths (with other lengths, though) with the original weights. Now, why is that?
This is explained by a sweet idea called telescoping sums: A sum like (a - b) + (b - c) + ... + (y - z) will collapse like a telescope, giving us a – z. The reason is that every other summand is included once with a plus before it and once with a minus, so they all sum to zero. The same thing happens to every path with the modified edges in Johnson’s algorithm. For any edge (u,v) in such a path, except for the first or last, the weight will be modified by adding h(u) and subtracting h (v). The next edge will have v as its first node and will add h(v), removing it from the sum. Similarly, the previous edge will have subtracted h (u), removing that.
The only two edges that are a bit different (in any path) are the first and the last. The first one isn’t a problem, because h (s) will be zero, and w (s,v) was set to zero for all nodes v. But what about the last one? Not a problem. Yes, we’ll end up with h (v) subtracted for the last node v, but that will be true of all paths ending at that node—the shortest path will still be shortest.
The transformation doesn’t discard any information either, so once we’ve found the shortest paths using Dijkstra’s algorithm, we can inversely transform all the path lengths. Using a similar telescoping argument, we can see that we can get the real length of the shortest path from u to v by adding h(v) and subtracting h(u) from our answer based on the transformed weights. This gives us the algorithm implemented in Listing 9-4.6
Listing 9-4. Johnson’s Algorithm
from copy import deepcopy
def johnson(G): # All pairs shortest paths
G = deepcopy(G) # Don't want to break original
s = object() # Guaranteed unused node
G[s] = {v:0 for v in G} # Edges from s have zero wgt
h, _ = bellman_ford(G, s) # h[v]: Shortest dist from s
del G[s] # No more need for s
for u in G: # The weight from u ...
for v in G[u]: # ... to v ...
G[u][v] += h[u] - h[v] # ... is adjusted (nonneg.)
D, P = {}, {} # D[u][v] and P[u][v]
for u in G: # From every u ...
D[u], P[u] = dijkstra(G, u) # ... find the shortest paths
for v in G: # For each destination ...
D[u][v] += h[v] - h[u] # ... readjust the distance
return D, P # These are two-dimensional
Note There is no need to check whether the call to bellman_ford succeeded or whether it found a negative cycle (in which case Johnson’s algorithm won’t work), because if there is a negative cycle in the graph, bellman_ford would raise an exception.
Assuming the Θ(m lg n) running time for Dijkstra’s algorithm, Johnson’s is simply a factor of n slower, giving us Θ(mn lg n), which is faster than the cubic running time of Floyd-Warshall (discussed in a bit), for sparse graphs (that is, for graphs with relatively few edges).7
The transform used in Johnson’s algorithm closely related to the potential function of the A* algorithm (see “Knowing Where You’re Going,” later in this chapter), and it is similar to the transform used in the min-cost bipartite matching problem in Chapter 10. There, too, the goal is to ensure positive edge weights but in a slightly different situation (edge weights changing from iteration to iteration).
Far-Fetched Subproblems
While Dijkstra’s algorithm is certainly based on the principles of dynamic programming, the fact is partly obscured by the need to discover the ordering of (or dependencies between) subproblems on the go. The algorithm I discuss in this section, discovered independently by Roy, Floyd, and Warshall, is a prototypical example of DP. It is based on a memoized recursive decomposition and is iterative in its common implementation. It is deceptively simple in form but devilishly clever in design. It is, in some ways, based on the “in or out” principle discussed in Chapter 8, but the resulting subproblems may, at least at first glance, seem highly artificial and far-fetched.
In many DP problems, we might need to hunt a bit for a set of recursively related subproblems, but once we find them, they often seem quite natural. Just think of the nodes in DAG shortest path, for example, or the prefix pairs of the longest common subsequence problem. The latter illustrates a useful principle that can be extended to less obvious structures, though: restricting which elements we’re allowed to work with. In the LCS problem, we’re restricting the lengths of prefixes, for example. In the knapsack problem, this is slightly more artificial: We invent an ordering for the objects and restrict ourselves to the k first ones. The subproblem is then parametrized by this “permitted set” and a portion of the knapsack capacity.
In the all-pairs shortest path problem, we can use this form of restriction, along with the “in or out” principle, to design a set of nonobvious subproblems: We arbitrarily order the nodes and restrict how many—that is, the k first—we’re allowed to use as intermediate nodes in forming our paths. We have now parametrized our subproblems using three parameters:
Unless you had some idea where we were going with this, adding the third item might seem totally unproductive—how could it help us to restrict what we’re allowed to do? As I’m sure you can see, the idea is to partition the solution space, decomposing the problem into subproblems and then linking these into a subproblem graph. The linking is achieved by creating a recursive dependency based on the “in or out” idea: node k, in or out?
Let d(u, v, k) be the length of the shortest path that exists from node u to node v if you’re only allowed to use the k first nodes as intermediate nodes. We can decompose the problem as follows:
d(u, v, k) = min(d(u, v, k−1), d(u, k, k−1) + d(k, v, k−1))
Like in the knapsack problem, we’re considering whether to include k. If we don’t include it, we simply use the existing solution, the shortest path we could find without using k, which is d(u, v, k−1). If we do include it, we must use the shortest path to k (which is d(u, k, k−1)) as well as the shortest path from k (which is d(k, v, k−1)). Note that in all these three subproblems, we’re working with the k−1 first nodes, because either we’re excluding k or we’re explicitly using it as an endpoint and not an intermediate node. This guarantees us a size-ordering (that is, a topological sorting) of the subproblems—no cycles.
You can see the resulting algorithm in Listing 9-5. (The implementation uses the memo decorator from Chapter 8.) Note that I’m assuming the nodes are integers in the range 1...n here. If you’re using other node objects, you could have a list V containing the nodes in some arbitrary order and then use V[k-1] and V[k-2] instead of k and k-1 in the min part. Also note that the returned D map has the form D[u,v] rather than D[u][v]. I’m also assuming that this is a full weight matrix, so D[u][v] is inf if there is no edge from u to v. You could easily modify all of this, if you want.
Listing 9-5. A Memoized Recursive Implementation of the Floyd-Warshall Algorithm
def rec_floyd_warshall(G): # All shortest paths
@memo # Store subsolutions
def d(u,v,k): # u to v via 1..k
if k==0: return G[u][v] # Assumes v in G[u]
return min(d(u,v,k-1), d(u,k,k-1) + d(k,v,k-1)) # Use k or not?
return {(u,v): d(u,v,len(G)) for u in G for v in G} # D[u,v] = d(u,v,n)
Let’s have a go at an iterative version. Given that we have three subproblem parameters (u, v, and k), we’ll need three for loops to get through all the subproblems iteratively. It might seem reasonable to think that we need to store all subsolutions, leading to cubic memory use, but just like for the LCS problem, we can reduce this.8 Our recursive decomposition only relates problems in stage k with those in stage k−1. This means that we need only two distance maps—one for the current iteration and one for the previous. But we can do better ...
Just like when using relax, we’re looking for shortcuts here. The question at stage k is “Will going via node k provide a shortcut, compared to what we have?” If D is our current distance map and C is the previous one, we’ve got this:
D[u][v] = min(D[u][v], C[u][k] + C[k][v])
Now consider what would happen if we just used a single distance map throughout:
D[u][v] = min(D[u][v], D[u][k] + D[k][v])
The meaning is now slightly less clear and seemingly a bit circular, but there’s no problem, really. We’re looking for shortcuts, right? The values D[u][k] and D[k][v] will be the lengths of real paths (and therefore upper bounds to the shortest distances), so we’re not cheating. Also, they’ll be no greater than C[u][k] and C[k][v], because we never increase the values in our map. Therefore, the only thing that can happen is that D[u][v] moves faster toward the correct answer—which is certainly no problem. The result is that we need only a single, two-dimensional distance map (that is, quadratic as opposed to cubic memory), which we’ll keep updating by looking for shortcuts. In many ways, the result is very much (though not exactly) like a two-dimensional version of the Bellman-Ford algorithm (see Listing 9-6).
Listing 9-6. The Floyd-Warshall Algorithm, Distances Only
def floyd_warshall(G):
D = deepcopy(G) # No intermediates yet
for k in G: # Look for shortcuts with k
for u in G:
for v in G:
D[u][v] = min(D[u][v], D[u][k] + D[k][v])
return D
You’ll notice that I start out using a copy of the graph itself as a candidate distance map. That’s because we haven’t tried to go via any intermediate nodes yet, so the only possibilities are direct edges, given by the original weights. Also notice that the assumption about the vertices being numbers is completely gone because we no longer need to explicitly parametrize which stage we’re in. As long as we try creating shortcuts with each possible intermediate node, building on our previous results, the solution will be the same. I hope you’ll agree that the resulting algorithm is super-simple, although the reasoning behind it may not be.
It would be nice to have a P matrix too, though, as in Johnson’s algorithm. As in so many DP algorithms, constructing the actual solution piggybacks nicely on calculating the optimal value—you just need to record which choices are made. In this case, if we find a shortcut via k, the predecessor recorded in P[u][v] must be replaced with P[k][v], which is the predecessor belonging to the last “half” of the shortcut. The final algorithm can be found in Listing 9-7. The original P gets a predecessor for any distinct pair of nodes linked by an edge. After that, P is updated whenever D is updated.
Listing 9-7. The Floyd-Warshall Algorithm
def floyd_warshall(G):
D, P = deepcopy(G), {}
for u in G:
for v in G:
if u == v or G[u][v] == inf:
P[u,v] = None
else:
P[u,v] = u
for k in G:
for u in G:
for v in G:
shortcut = D[u][k] + D[k][v]
if shortcut < D[u][v]:
D[u][v] = shortcut
P[u,v] = P[k,v]
return D, P
Note that it’s important to use shortcut < D[u][v] here, and not shortcut <= D[u][v]. Although the latter would still give the correct distances, you could get cases where the last step was D[v][v], which would lead to P[u,v] = None.
The Floyd-Warshall algorithm can quite easily be modified to calculate the transitive closure of a graph (Warshall’s algorithm). See Exercise 9-9.
Meeting in the Middle
The subproblems solutions of Dijkstra’s algorithm—and of BFS, its unweighted special case—spread outward on a graph like ripples on a pond. If all you want is getting from A to B, or, using the customary node names, from s to t, this means that the “ripple” has to pass many nodes that you’re not really interested, as in the left image in Figure 9-4. If, on the other hand, you start traversing from both your starting point and your end point (assuming you can traverse edges in reverse), the two ripples can, in some cases, meet up in the middle, saving you a lot of work, as illustrated in the right image.

Figure 9-4. Unidirectional and bidirectional “ripples,” indicating the work needed to find a path from s to t by traversal
Note that while the “graphical evidence” of Figure 9-4 may be convincing, it is, of course, not a formal argument, and it gives no guarantees. In fact, although the algorithms of this section and the next provide practical improvements for the single-source, single-destination shortest path, no such a point-to-point algorithm is known to have a better asymptotic worst-case behavior than you could get for the ordinary single-source problem. Sure, two circles of half the original radius will have half the total area, but graphs don’t necessarily behave like the Euclidean plane. We would certainly expect to get improvements in running time, but this is what’s called a heuristic algorithm. Such algorithms are based on educated guesswork and are typically evaluated empirically. We can be sure it won’t be worse than Dijkstra’s algorithm, asymptotically—it’s all about improving the practical running time.
To implement this bidirectional version of Dijkstra’s algorithm, let’s first adapt the original slightly, making it a generator, so we can extract only as many subsolutions as we need for the “meetup.” This is similar to some of the traversal functions in Chapter 5, such as iter_dfs (Listing 5-5). This iterative behavior means that we can drop the distance table entirely and rely only on the distances kept in the priority queue. To keep things simple, I won’t include the predecessor information here, but you could easily extend the solution by adding predecessors to the tuples in the heap. To get the distance table (like in the original dijkstra), you can simply call dict(idijkstra(G, s)). See Listing 9-8 for the code.
Listing 9-8. Dijkstra’s Algorithm Implemented as a Generator
from heapq import heappush, heappop
def idijkstra(G, s):
Q, S = [(0,s)], set() # Queue w/dists, visited
while Q: # Still unprocessed nodes?
d, u = heappop(Q) # Node with lowest estimate
if u in S: continue # Already visited? Skip it
S.add(u) # We've visited it now
yield u, d # Yield a subsolution/node
for v in G[u]: # Go through all its neighbors
heappush(Q, (d+G[u][v], v)) # Add to queue, w/est. as pri
Note that I’ve dropped the use of relax completely—it is now implicit in the heap. Or, rather, heappush is the new relax. Re-adding a node with a better estimate means it will take precedence over the old entry, which is equivalent to overwriting the old one with a relax operation. This is analogous to the implementation of Prim’s algorithm in Chapter 7.
Now that we have access to Dijkstra’s algorithm step by step, building a bidirectional version isn’t too hard. We alternate between the to and from instances of the original algorithm, extending each ripple, one node at a time. If we just kept going, this would give us two complete answers—the distance from s to t and the distance from t to s if we follow the edges backward. And, of course, those two answers would be the same, making the whole exercise pointless. The idea is to stop once the ripples meet. It seems like a good idea to break out of the loop once the two instances of idijkstra have yielded the same node.
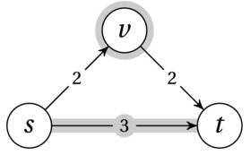
This is where the only real wrinkle in the algorithm appears: You’re traversing from both s and t, consistently moving to the next closest node, so once the two algorithms have both moved to (that is, yielded) the same node, it would seem reasonable that the two had met along the shortest path, right? After all, if you were traversing only from s, you could terminate as soon as you reached (that is, idijkstra yielded) t. Sadly, as can so easily happen, our intuition (or, at least, mine) fails us here. The simple example in Figure 9-5 should clear up this possible misconception; but where is the shortest path, then? And how can we know it’s safe to stop?

Figure 9-5. The first meeting point (highlighted node) is not necessarily along the shortest path (highlighted edge)
In fact, ending the traversal once the two instances meet is fine. To find the shortest path, however, we need to keep our eyes peeled, metaphorically speaking, while the algorithm is executing. We need to maintain the best distance found so far, and whenever an edge (u,v) is relaxed and we already have the distance to u from s (by forward traversal) and the distance from v to t (by backward traversal), we need to check whether linking up the paths with (u,v) will improve on our best solution.
In fact, we can tighten our stopping criterion a bit (see Exercise 9-10). Rather than waiting for the two instances to both visit the same node, we need to look only at how far they’ve come—that is, the latest distances they’ve yielded. These can’t decrease, so if their sum is at least as great as the best path we’ve found so far, we can’t find anything better, and we’re done.
There’s still a nagging doubt, though. The preceding argument might convince you that we can’t possibly find any better paths by continuing, but how can we be sure that we haven’t missed any? Let’s say the best path we’ve found has length m. The two distances that caused the termination were l and r, so we know that l + r ≥ m (the stopping criterion). Now, let’s say there is a path from s to t that is shorter than m. For this to happen, the path must contain an edge (u,v) such that d(s,u) < l and d(v,t) < r (see Exercise 9-11). This means that u and v are closer to s and t, respectively, than the current nodes, so both must have been visited (yielded) already. At the point when both had been yielded, our maintenance of the best solution so far should have found this path—a contradiction. In other words, the algorithm is correct.
This whole keeping track of the best path so far business requires us to have access to the innards of Dijkstra’s algorithm. I prefer the abstraction that idijkstra gives me, so I’m going to stick with the simplest version of this algorithm: Stop once I’ve received the same node from both traversals and then scan for the best path afterward, examining all the edges that link the two halves. If your data set is of the kind that would profit from the bidirectional search, this scan is unlikely to be too much of a bottleneck, but feel free to break out the profiler and make your adjustments, of course. The finished code can be found in Listing 9-9. The cycle function from itertools gives us an iterator that will repeatedly give us the values from some other iterator, repeatedly yielding its values from start to finish. In this case, this means we’re cycling between the forward and backward directions.
Listing 9-9. The Bidirectional Version of Dijkstra’s Algorithm
from itertools import cycle
def bidir_dijkstra(G, s, t):
Ds, Dt = {}, {} # D from s and t, respectively
forw, back = idijkstra(G,s), idijkstra(G,t) # The "two Dijkstras"
dirs = (Ds, Dt, forw), (Dt, Ds, back) # Alternating situations
try: # Until one of forw/back ends
for D, other, step in cycle(dirs): # Switch between the two
v, d = next(step) # Next node/distance for one
D[v] = d # Remember the distance
if v in other: break # Also visited by the other?
except StopIteration: return inf # One ran out before they met
m = inf # They met; now find the path
for u in Ds: # For every visited forw-node
for v in G[u]: # ... go through its neighbors
if not v in Dt: continue # Is it also back-visited?
m = min(m, Ds[u] + G[u][v] + Dt[v]) # Is this path better?
return m # Return the best path
Note that this code assumes that G is undirected (that is, all edges are available in both directions) and that G[u][u] = 0 for all nodes u. You could easily extend the algorithm so those assumptions aren’t needed (Exercise 9-12).
Knowing Where You’re Going
By now you’ve seen that the basic idea of traversal is pretty versatile, and by simply using different queues, you get several useful algorithms. For example, for FIFO and LIFO queues, you get BFS and DFS, and with the appropriate priorities, you get the core of Prim’s and Dijkstra’s algorithms. The algorithm described in this section, called A*, extends Dijkstra’s, by tweaking the priority once again.
As mentioned earlier, the A* algorithm uses an idea similar to Johnson’s algorithm, although for a different purpose. Johnson’s algorithm transforms all edge weights to ensure they’re positive, while ensuring that the shortest paths are still shortest. In A*, we want to modify the edges in a similar fashion, but this time the goal isn’t to make the edges positive—we’re assuming they already are (as we’re building on Dijkstra’s algorithm). No, what we want is to guide the traversal in the right direction, by using information of where we’re going: We want to make edges moving away from our target node more expensive than those that take us closer to it.
Note This is similar to the best-first search used in the branch and bound strategy discussed in Chapter 11.
Of course, if we really knew which edges would take us closer, we could solve the whole problem by being greedy. We’d just move along the shortest path, taking no side routes whatsoever. The nice thing about the A* algorithm is that it fills the gap between Dijkstra’s, where we have no knowledge of where we’re going, and this hypothetical, ideal situation where we know exactly where we’re going. It introduces a potential function, or heuristic h(v), which is our best guess for the remaining distance, d(v,t). As you’ll see in a minute, Dijkstra’s algorithm “falls out” of A* as a special case, when h(v) = 0. Also, if by magic we could set h(v) = d(v,t), the algorithm would march directly from s to t.
So, how does it work? We define the modified edge weights to get a telescoping sum, like we did in Johnson’s algorithm (although you should note that the signs are switched here): w’(u,v) = w(u,v) - h(u) + h(v). The telescoping sum ensures that the shortest path will still be shortest (like in Johnson’s) because all path lengths are changed by the same amount, h(t) - h(s). As you can see, if we set the heuristic to zero (or, really, any constant), the weights are unchanged.
It should be easy to see how this adjustment reflects our intention to reward edges that go in the right direction and penalize those that don’t. To each edge weight, we add the drop in potential (the heuristic), which is similar to how gravity works. If you let a marble loose on a bumpy table, it will start moving in a direction that will decrease its potential (that is, its potential energy). In our case, the algorithm will be steered in directions that cause a drop in the remaining distance—exactly what we want.
The A* algorithm is equivalent to Dijkstra’s on the modified graph, so it’s correct if h is feasible, meaning that w’(u,v) is nonnegative for all nodes u and v. Nodes are scanned in increasing order of D[v] - h(s) + h(v), rather than simply D[v]. Because h(s) is a common constant, we can ignore it and simply add h(v) to our existing priority. This sum is our best estimate for the shortest path from s to t via v. If w’(u,v) is feasible, h(v) will also be a lower bound on d(v,t) (see Exercise 9-14).
One (very common) way of implementing all of this would be to use something like the original dijkstra and simply add h(v) to the priority when pushing a node onto the heap. The original distance estimate would still be available in D. If we want to simplify things, however, only using the heap (as in idijkstra), we need to actually use the weight adjustment so that for an edge (u,v), we subtract h(u) as well. This is the approach I’ve taken in Listing 9-10. As you can see, I’ve made sure to remove the superfluous h(t) before returning the distance. (Considering the algorithmic punch that the a_star function is packing, it’s pretty short and sweet, wouldn’t you say?)
Listing 9-10. The A* Algorithm
from heapq import heappush, heappop
inf = float('inf')
def a_star(G, s, t, h):
P, Q = {}, [(h(s), None, s)] # Preds and queue w/heuristic
while Q: # Still unprocessed nodes?
d, p, u = heappop(Q) # Node with lowest heuristic
if u in P: continue # Already visited? Skip it
P[u] = p # Set path predecessor
if u == t: return d - h(t), P # Arrived! Ret. dist and preds
for v in G[u]: # Go through all neighbors
w = G[u][v] - h(u) + h(v) # Modify weight wrt heuristic
heappush(Q, (d + w, u, v)) # Add to queue, w/heur as pri
return inf, None # Didn't get to t
As you can see, except from the added check for u == t, the only difference from Dijkstra’s algorithm is really the adjustment of the weights. In other words, if you wanted, you could use a straight point-to-point version of Dijkstra’s algorithm (that is, one that included the u == t check) on a graph where you had modified the weights, rather than having a separate algorithm for A*.
Of course, in order to get any benefit from the A* algorithm, you need a good heuristic. What this function should be will depend heavily on the exact problem you’re trying to solve, of course. For example, if you’re navigating a road map, you’d know that the Euclidean distance, as the crow flies, from a given node to your destination must be a valid heuristic (lower bound). This would, in fact, be a usable heuristic for any movement on a flat surface, such as monsters walking around in a computer game world. If there are lots of blind alleys and twists and turns, though, this lower bound may not be very accurate. (See the “If You’re Curious ...” section for an alternative.)
The A* algorithm is also used for searching solution spaces, which we can see as abstract (or implicit) graphs. For example, we might want to solve Rubik’s Cube9 or Lewis Carroll’s so-called word ladder puzzle. In fact, let’s have a whack at the latter puzzle (no pun intended).
Word ladders are built from a starting word, such as lead, and you want to end up with another word, say, gold. You build the ladder gradually, using actual words at every step. To get from one word to another, you can replace a single letter. (There are also other versions, which let you add or remove letters, or where you are allowed to swap the letters around.) So, for example, you could get from lead to gold via the words load and goad. If we interpret every word of some dictionary as a node in our graph, we could add edges between all words that differ by a single letter. We probably wouldn’t want to explicitly build such a structure, but we could “fake” it, as shown in Listing 9-11.
Listing 9-11. An Implicit Graph with Word Ladder Paths
from string import ascii_lowercase as chars
def variants(wd, words): # Yield all word variants
wasl = list(wd) # The word as a list
for i, c in enumerate(wasl): # Each position and character
for oc in chars: # Every possible character
if c == oc: continue # Don't replace with the same
wasl[i] = oc # Replace the character
ow = ''.join(wasl) # Make a string of the word
if ow in words: # Is it a valid word?
yield ow # Then we yield it
wasl[i] = c # Reset the character
class WordSpace: # An implicit graph w/utils
def __init__(self, words): # Create graph over the words
self.words = words
self.M = dict() # Reachable words
def __getitem__(self, wd): # The adjacency map interface
if wd not in self.M: # Cache the neighbors
self.M[wd] = dict.fromkeys(self.variants(wd, self.words), 1)
return self.M[wd]
def heuristic(self, u, v): # The default heuristic
return sum(a!=b for a, b in zip(u, v)) # How many characters differ?
def ladder(self, s, t, h=None): # Utility wrapper for a_star
if h is None: # Allows other heuristics
def h(v):
return self.heuristic(v, t)
_, P = a_star(self, s, t, h) # Get the predecessor map
if P is None:
return [s, None, t] # When no path exists
u, p = t, []
while u is not None: # Walk backward from t
p.append(u) # Append every predecessor
u = P[u] # Take another step
p.reverse() # The path is backward
return p
The main idea of the WordSpace class is that it works as a weighted graph so that it can be used with our a_star implementation. If G is a WordSpace, G['lead'] would be a dict with other words (such as 'load' and 'mead') as keys and 1 as weight for every edge. The default heuristic I’ve used simply counts the number of positions at which the words differ.
Using the WordSpace class is easy enough, as long as you have a word list of some sort. Many UNIX systems have a file called /usr/share/dict/words or /usr/dict/words, with a single word per line. If you don’t have such a file, you could get one from http://ftp.gnu.org/gnu/aspell/dict/en. If you don’t have this file, you could probably find it (or something similar) online. You could then construct a WordSpace like this, for example (removing whitespace and normalizing everything to lowercase):
>>> words = set(line.strip().lower() for line in open("/usr/share/dict/words"))
>>> G = WordSpace(words)
If you’re getting word ladders that you don’t like, feel free to remove some words from the set, of course.10 Once you have your WordSpace, it’s time to roll:
>>> G.ladder('lead', 'gold')
['lead', 'load', 'goad', 'gold']
Pretty neat, but not that impressive, perhaps. Now try the following:
>>> G.ladder('lead', 'gold', h=lambda v: 0)
I’ve simply replaced the heuristic with a completely uninformative one, basically turning our A* into BFS (or, rather, Dijkstra’s algorithm running on an unweighted graph). On my computer (and with my word list), the difference in running time is pretty noticeable. In fact, the speedup factor when using the first (default) heuristic is close to 100!11
Summary
A bit more narrowly focused than the previous ones, this chapter dealt with finding optimal routes in network-like structures and spaces—in other words, shortest paths in graphs. Several of the basic ideas and mechanisms used in the algorithms in this chapter have been covered earlier in the book, and so we could build our solutions gradually. One fundamental tactic common to all the shortest path algorithms is that of looking for shortcuts, either through a new possible next-to-last node along a path, using the relax function or something equivalent (most of the algorithms do this), or by considering a shortcut consisting of two subpaths, to and from some intermediate node (the strategy of Floyd-Warshall). The relaxation-based algorithms approach things differently, based on their assumptions about the graph. The Bellman-Ford algorithm simply tries to construct shortcuts with every edge in turn and repeats this procedure for at most n-1 iterations (reporting a negative cycle if there is still potential for improvement).
You saw in Chapter 8 that it’s possible to be more efficient than this; for DAGs, it’s possible to relax each edge only once, as long as we visit the nodes in topologically sorted order. A topsort isn’t possible for a general graph, but if we disallow negative edges, we can find a topological sorting that respects the edges that matter—namely, sorting the nodes by their distance from the starting node. Of course, we don’t know this sorting to begin with, but we can build it gradually, by always picking the remaining node with the lowest distance estimate, as in Dijkstra’s algorithm. We know this is the thing to do, because we’ve already relaxed the out-edges of all its possible predecessors, so the next one in sorted order must now have a correct estimate—and the only one this could be is the one with the lowest upper bound.
When finding distances between all pairs of nodes, we have a couple of options. For example, we could run Dijkstra’s algorithm from every possible start node. This is quite good for rather sparse graphs, and, in fact, we can use this approach even if the edges aren’t all positive! We do this by first running Bellman-Ford and then adjusting all the edges so that we (1) maintain the length-ranks of the paths (the shortest is still the shortest) and (2) make the edge weights positive. Another option is to use dynamic programming, as in the Floyd-Warshall algorithm, where each subproblem is defined by its start node, its end node, and the number of the other nodes (in some predetermined order) we’re allowed to pass through.
There’s no known method of finding the shortest path from one node to another that is better, asymptotically, than finding the shortest paths from the starting node to all the others. Still, there are some heuristic approaches that can give improvements in practice. One of these is to search bidirectionally, performing a traversal from both the start node and the end node “simultaneously,” and then terminate when the two meet, thereby reducing the number of nodes that need be visited (or so we hope). Another approach is using a heuristic “best-first” approach, with a heuristic function to guide us toward more promising nodes before less promising ones, as in the A* algorithm.
If You’re Curious ...
Most algorithm books will give you explanations and descriptions of the basic algorithms for finding shortest paths. Some of the more advanced heuristic ones though, such as A*, are more usually discussed in books on artificial intelligence. There you can also find thorough explanations on how to use such algorithms (and other, related ones) to search through complex solution spaces that look nothing like the explicit graph structures we’ve been working with. For a solid foundation in these aspects of artificial intelligence, I heartily recommend the wonderful book by Russell and Norvig. For ideas on heuristics for the A* algorithm, you could try to do a web search for “shortest path” along with “landmarks” or “ALT.”
If you want to push Dijkstra’s algorithm on the asymptotic front, you could look into Fibonacci heaps. If you swap out the binary heap for a Fibonacci heap, Dijkstra’s algorithm gets an improved asymptotic running time, but chances are that your performance will still take a hit, unless you’re working with really large instances, as Python’s heap implementation is really fast, and a Fibonacci heap (a rather complicated affair) implemented in Python probably won’t be. But still—worth a look.
Finally, you might want to combine the bidirectional version of Dijkstra’s algorithm with the heuristic mechanism of A*. Before you do, though, you should research the issue a bit—there are pitfalls here that could invalidate your algorithm. One (slightly advanced) source of information on this and the use of landmark-based heuristics (as well as the challenges of a graph that changes over time) is the paper by Nannicini et al. (see “References”).
Exercises
9-1. In some cases, discrepancies in exchange rates between currencies make it possible to exchange from one currency to another, continuing until one gets back to the original, having made a profit. How would you use the Bellman-Ford algorithm to detect the presence of such a situation?
9-2. What happens in Dijkstra’s algorithm if more than one node has the same distance from the start node? Is it still correct?
9-3. Why is it a really bad idea to represent edge length using dummy nodes, like in Figure 9-3?
9-4. What would the running time of Dijkstra’s algorithm be if you implemented it with an unsorted list instead of a binary heap?
9-5. Why can we be certain that the adjusted weights in Johnson’s algorithm are nonnegative? Are there cases where things can go wrong?
9-6. In Johnson’s algorithm, the h function is based on the Bellman-Ford algorithm. Why can’t we just use an arbitrary function here? It would disappear in the telescoping sum anyway?
9-7. Implement the memoized version of Floyd-Warshall so it saves memory in the same way as the iterative one.
9-8. Extend the memoized version of Floyd-Warshall to compute a P table, just like the iterative one.
9-9. How would you modify the Floyd-Warshall algorithm so it detects the presence of paths, rather than finding the shortest paths (Warshall’s algorithm)?
9-10. Why does correctness for the tighter stopping criterion for the bidirectional version of Dijkstra’s algorithm imply correctness for the original?
9-11. In the correctness proof for the bidirectional version of Dijkstra’s algorithm, I posited a hypothetical path that would be shorter than the best one we’d found so far and stated that it had to contain an edge (u,v) such that d(s,u) < l and d(v,t) < r. Why is this the case?
9-12. Rewrite bidir_dijkstra so it doesn’t require the input graph to be symmetric, with zero-weight self-edges.
9-13. Implement a bidirectional version of BFS.
9-14. Why is h(v) a lower bound on d(v,t) when w’ is feasible?
References
Dijkstra, E. W. (1959). A note on two problems in connexion with graphs. Numerische Mathematik, 1(1):269-271.
Nannicini, G., Delling, D., Liberti, L., and Schultes, D. (2008). Bidirectional A* search for time-dependent fast paths. In Proceedings of the 7th international conference on Experimental algorithms, Lecture Notes in Computer Science, pages 334-346.
Russell, S. and Norvig, P. (2009). Artificial Intelligence: A Modern Approach, third edition. Prentice Hall.
___________________________
1Don’t worry, I’ll revisit the “Sweden tour” problem in Chapter 11.
2The min-cost bipartite matching problem, discussed in Chapter 10.
3Well, I’m assuming distinct distances here. If more than one node has the same distance, you could have more than one candidate. Exercise 9-2 asks you to show what happens then.
4You may notice that edges that go back into S are also relaxed here in order to keep the code simple. That has no effect on correctness or asymptotic running time, but you’re free to rewrite the code to skip these nodes if you want.
5In a more conventional version of Dijkstra’s algorithm, where each node is just added once but its estimate is modified inside the heap, you could say this path is ignored if some better estimate comes along and overwrites it.
6As you can see, I just instantiate object to create the node s. Each such instance is unique (that is, they aren’t equal under ==), which makes them useful for added dummy nodes, as well as other forms of sentinel objects, which need to be different from all legal values.
7A common criterion for calling a graph sparse is that m is O(n), for example. In this case, though, Johnson’s will (asymptotically) match Floyd-Warshall as long as m is O(n2/lg n), which allows for quite a lot of edges. On the other hand, Floyd-Warshall has very low constant overhead.
8You could do the same memory saving in the memoized version, too. See Exercise 9-7.
9Actually, as I was writing this chapter for the first edition, it was proven (using 35 years of CPU-time) that the most difficult positions of Rubik’s Cube require 20 moves (see www.cube20.org).
10For example, when working with my alchemical example, I removed words such as algedo and dola.
11That number is 100, not the factorial of 100. (And most certainly not the 11th power of the factorial of 100.)