Table of Contents for
JavaScript: The Good Parts

Version ebook / Retour

Cover image for bash Cookbook, 2nd Edition JavaScript: The Good Parts by Douglas Crockford Published by O'Reilly Media, Inc., 2008
  1. Cover
  2. JavaScript: The Good Parts
  3. SPECIAL OFFER: Upgrade this ebook with O’Reilly
  4. A Note Regarding Supplemental Files
  5. Preface
  6. Using Code Examples
  7. Safari® Books Online
  8. How to Contact Us
  9. Acknowledgments
  10. 1. Good Parts
  11. Analyzing JavaScript
  12. A Simple Testing Ground
  13. 2. Grammar
  14. Names
  15. Numbers
  16. Strings
  17. Statements
  18. Expressions
  19. Literals
  20. Functions
  21. 3. Objects
  22. Retrieval
  23. Update
  24. Reference
  25. Prototype
  26. Reflection
  27. Enumeration
  28. Delete
  29. Global Abatement
  30. 4. Functions
  31. Function Literal
  32. Invocation
  33. Arguments
  34. Return
  35. Exceptions
  36. Augmenting Types
  37. Recursion
  38. Scope
  39. Closure
  40. Callbacks
  41. Module
  42. Cascade
  43. Curry
  44. Memoization
  45. 5. Inheritance
  46. Object Specifiers
  47. Prototypal
  48. Functional
  49. Parts
  50. 6. Arrays
  51. Length
  52. Delete
  53. Enumeration
  54. Confusion
  55. Methods
  56. Dimensions
  57. 7. Regular Expressions
  58. Construction
  59. Elements
  60. 8. Methods
  61. 9. Style
  62. 10. Beautiful Features
  63. A. Awful Parts
  64. Scope
  65. Semicolon Insertion
  66. Reserved Words
  67. Unicode
  68. typeof
  69. parseInt
  70. +
  71. Floating Point
  72. NaN
  73. Phony Arrays
  74. Falsy Values
  75. hasOwnProperty
  76. Object
  77. B. Bad Parts
  78. with Statement
  79. eval
  80. continue Statement
  81. switch Fall Through
  82. Block-less Statements
  83. ++ −−
  84. Bitwise Operators
  85. The function Statement Versus the function Expression
  86. Typed Wrappers
  87. new
  88. void
  89. C. JSLint
  90. Members
  91. Options
  92. Semicolon
  93. Line Breaking
  94. Comma
  95. Required Blocks
  96. Forbidden Blocks
  97. Expression Statements
  98. for in Statement
  99. switch Statement
  100. var Statement
  101. with Statement
  102. =
  103. == and !=
  104. Labels
  105. Unreachable Code
  106. Confusing Pluses and Minuses
  107. ++ and −−
  108. Bitwise Operators
  109. eval Is Evil
  110. void
  111. Regular Expressions
  112. Constructors and new
  113. Not Looked For
  114. HTML
  115. JSON
  116. Report
  117. D. Syntax Diagrams
  118. E. JSON
  119. Using JSON Securely
  120. A JSON Parser
  121. Index
  122. About the Author
  123. Colophon
  124. SPECIAL OFFER: Upgrade this ebook with O’Reilly

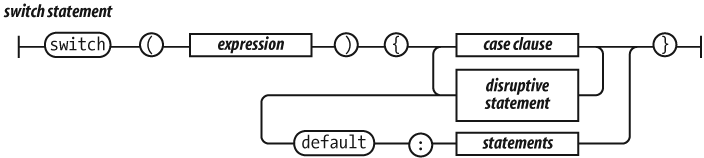
Appendix D. Syntax Diagrams

Thou map of woe, that thus dost talk in signs!

William Shakespeare, The Tragedy of Titus Andronicus
image with no caption
image with no caption
image with no caption
image with no caption
image with no caption
image with no caption
image with no caption
image with no caption
image with no caption
image with no caption
image with no caption
image with no caption
image with no caption
image with no caption
image with no caption
image with no caption
image with no caption
image with no caption
image with no caption
image with no caption
image with no caption
image with no caption
image with no caption
image with no caption
image with no caption
image with no caption
image with no caption
image with no caption
image with no caption
image with no caption
image with no caption
image with no caption
image with no caption
image with no caption
image with no caption
image with no caption
image with no caption
image with no caption
image with no caption
image with no caption
image with no caption
image with no caption
image with no caption