
For online information and ordering of this and other Manning books, please visit www.manning.com. The publisher offers discounts on this book when ordered in quantity. For more information, please contact
Special Sales Department Manning Publications Co. 20 Baldwin Road, PO Box 761 Shelter Island, NY 11964 Email: orders@manning.com
©2016 by Manning Publications Co. All rights reserved.
No part of this publication may be reproduced, stored in a retrieval system, or transmitted, in any form or by means electronic, mechanical, photocopying, or otherwise, without prior written permission of the publisher.
Many of the designations used by manufacturers and sellers to distinguish their products are claimed as trademarks. Where those designations appear in the book, and Manning Publications was aware of a trademark claim, the designations have been printed in initial caps or all caps.
Recognizing the importance of preserving what has been written, it is Manning’s policy to have the books we publish printed
on acid-free paper, and we exert our best efforts to that end. Recognizing also our responsibility to conserve the resources
of our planet, Manning books are printed on paper that is at least 15 percent recycled and processed without the use of elemental
chlorine.
![]() |
Manning Publications Co. 20 Baldwin Road Shelter Island, NY 11964 |
Development editor: Jennifer Stout Technical development editor: Damien White Project manager: Tiffany Taylor Copyeditor: Tiffany Taylor Technical proofreader: Jean-François Morin Typesetter: Leslie Haimes Cover and interior design: Leslie Haimes Illustrations by the author
ISBN: 9781617292231
Printed in the United States of America
1 2 3 4 5 6 7 8 9 10 – EBM – 21 20 19 18 17 16
For my parents, Sangeeta and Yogesh
Chapter 1. Introduction to Algorithms
Chapter 6. Breadth-first Search
Chapter 7. Dijkstra’s algorithm
Chapter 9. Dynamic programming
Chapter 1. Introduction to Algorithms
Algorithm running times grow at different rates
Visualizing different Big O run times
Chapter 6. Breadth-first Search
Chapter 7. Dijkstra’s algorithm
The classroom scheduling problem
Chapter 9. Dynamic programming
What happens if you change the order of the rows?
Can you fill in the grid column-wise instead of row-wise?
What happens if you add a smaller item?
Can you steal fractions of an item?
Optimizing your travel itinerary
Handling items that depend on each other
Is it possible that the solution will require more than two sub-knapsacks?
Is it possible that the best solution doesn’t fill the knapsack completely?
Chapter 10. K-nearest neighbors
Classifying oranges vs. grapefruit
Building a recommendations system
Introduction to machine learning

I first got into programming as a hobby. Visual Basic 6 for Dummies taught me the basics, and I kept reading books to learn more. But the subject of algorithms was impenetrable for me. I remember savoring the table of contents of my first algorithms book, thinking “I’m finally going to understand these topics!” But it was dense stuff, and I gave up after a few weeks. It wasn’t until I had my first good algorithms professor that I realized how simple and elegant these ideas were.
A few years ago, I wrote my first illustrated blog post. I’m a visual learner, and I really liked the illustrated style. Since then, I’ve written a few illustrated posts on functional programming, Git, machine learning, and concurrency. By the way: I was a mediocre writer when I started out. Explaining technical concepts is hard. Coming up with good examples takes time, and explaining a difficult concept takes time. So it’s easiest to gloss over the hard stuff. I thought I was doing a pretty good job, until after one of my posts got popular, a coworker came up to me and said, “I read your post and I still don’t understand this.” I still had a lot to learn about writing.
Somewhere in the middle of writing these blog posts, Manning reached out to me and asked if I wanted to write an illustrated book. Well, it turns out that Manning editors know a lot about explaining technical concepts, and they taught me how to teach. I wrote this book to scratch a particular itch: I wanted to write a book that explained hard technical topics well, and I wanted an easy-to-read algorithms book. My writing has come a long way since that first blog post, and I hope you find this book an easy and informative read.
Kudos to Manning for giving me the chance to write this book and letting me have a lot of creative freedom with it. Thanks to publisher Marjan Bace, Mike Stephens for getting me on board, Bert Bates for teaching me how to write, and Jennifer Stout for being an incredibly responsive and helpful editor. Thanks also to the people on Manning’s production team: Kevin Sullivan, Mary Piergies, Tiffany Taylor, Leslie Haimes, and all the others behind the scenes. In addition, I want to thank the many people who read the manuscript and offered suggestions: Karen Bensdon, Rob Green, Michael Hamrah, Ozren Harlovic, Colin Hastie, Christopher Haupt, Chuck Henderson, Pawel Kozlowski, Amit Lamba, Jean-François Morin, Robert Morrison, Sankar Ramanathan, Sander Rossel, Doug Sparling, and Damien White.
Thanks to the people who helped me reach this point: the folks on the Flaskhit game board, for teaching me how to code; the many friends who helped by reviewing chapters, giving advice, and letting me try out different explanations, including Ben Vinegar, Karl Puzon, Alex Manning, Esther Chan, Anish Bhatt, Michael Glass, Nikrad Mahdi, Charles Lee, Jared Friedman, Hema Manickavasagam, Hari Raja, Murali Gudipati, Srinivas Varadan, and others; and Gerry Brady, for teaching me algorithms. Another big thank you to algorithms academics like CLRS, Knuth, and Strang. I’m truly standing on the shoulders of giants.
Dad, Mom, Priyanka, and the rest of the family: thank you for your constant support. And a big thank you to my wife Maggie. There are many adventures ahead of us, and some of them don’t involve staying inside on a Friday night rewriting paragraphs.
Finally, a big thank you to all the readers who took a chance on this book, and the readers who gave me feedback in the book’s forum. You really helped make this book better.
This book is designed to be easy to follow. I avoid big leaps of thought. Any time a new concept is introduced, I explain it right away or tell you when I’ll explain it. Core concepts are reinforced with exercises and multiple explanations so that you can check your assumptions and make sure you’re following along.
I lead with examples. Instead of writing symbol soup, my goal is to make it easy for you to visualize these concepts. I also think we learn best by being able to recall something we already know, and examples make recall easier. So when you’re trying to remember the difference between arrays and linked lists (explained in chapter 2), you can just think about getting seated for a movie. Also, at the risk of stating the obvious, I’m a visual learner. This book is chock-full of images.
The contents of the book are carefully curated. There’s no need to write a book that covers every sorting algorithm—that’s why we have Wikipedia and Khan Academy. All the algorithms I’ve included are practical. I’ve found them useful in my job as a software engineer, and they provide a good foundation for more complex topics. Happy reading!
The first three chapters of this book lay the foundations:
In my experience, Big O notation and recursion are challenging topics for beginners. So I’ve slowed down and spent extra time on these sections.
The rest of the book presents algorithms with broad applications:
The order and contents of this book have been carefully designed. If you’re interested in a topic, feel free to jump ahead. Otherwise, read the chapters in order—they build on each other.
I strongly recommend executing the code for the examples yourself. I can’t stress this part enough. Just type out my code samples verbatim (or download them from www.manning.com/books/grokking-algorithms or https://github.com/egonschiele/grokking_algorithms), and execute them. You’ll retain a lot more if you do.
I also recommend doing the exercises in this book. The exercises are short—usually just a minute or two, sometimes 5 to 10 minutes. They will help you check your thinking, so you’ll know when you’re off track before you’ve gone too far.
This book is aimed at anyone who knows the basics of coding and wants to understand algorithms. Maybe you already have a coding problem and are trying to find an algorithmic solution. Or maybe you want to understand what algorithms are useful for. Here’s a short, incomplete list of people who will probably find this book useful:
All the code examples in this book use Python 2.7. All code in the book is presented in a fixed-width font like this to separate it from ordinary text. Code annotations accompany some of the listings, highlighting important concepts.
You can download the code for the examples in the book from the publisher’s website at www.manning.com/books/grokking-algorithms or from https://github.com/egonschiele/grokking_algorithms.
I believe you learn best when you really enjoy learning—so have fun, and run the code samples!
Aditya Bhargava is a software engineer at Etsy, an online marketplace for handmade goods. He has a master’s degree in computer science from the University of Chicago. He also runs a popular illustrated tech blog at adit.io.
Purchase of Grokking Algorithms includes free access to a private web forum run by Manning Publications where you can make comments about the book, ask technical questions, and receive help from the author and from other users. To access the forum and subscribe to it, point your web browser to www.manning.com/books/grokking-algorithms. This page provides information on how to get on the forum once you are registered, what kind of help is available, and the rules of conduct on the forum.
Manning’s commitment to our readers is to provide a venue where a meaningful dialog between individual readers and between readers and the author can take place. It isn’t a commitment to any specific amount of participation on the part of the author, whose contribution to Author Online remains voluntary (and unpaid). We suggest you try asking the author some challenging questions lest his interest stray! The Author Online forum and the archives of previous discussions will be accessible from the publisher’s website as long as the book is in print.

In this chapter
An algorithm is a set of instructions for accomplishing a task. Every piece of code could be called an algorithm, but this book covers the more interesting bits. I chose the algorithms in this book for inclusion because they’re fast, or they solve interesting problems, or both. Here are some highlights:
In each case, I’ll describe the algorithm and give you an example. Then I’ll talk about the running time of the algorithm in Big O notation. Finally, I’ll explore what other types of problems could be solved by the same algorithm.
The good news is, an implementation of every algorithm in this book is probably available in your favorite language, so you don’t have to write each algorithm yourself! But those implementations are useless if you don’t understand the trade-offs. In this book, you’ll learn to compare trade-offs between different algorithms: Should you use merge sort or quicksort? Should you use an array or a list? Just using a different data structure can make a big difference.
You’ll learn techniques for solving problems that might have been out of your grasp until now. For example:
More generally, by the end of this book, you’ll know some of the most widely applicable algorithms. You can then use your new knowledge to learn about more specific algorithms for AI, databases, and so on. Or you can take on bigger challenges at work.
You’ll need to know basic algebra before starting this book. In particular, take this function: f(x) = x × 2. What is f(5)? If you answered 10, you’re set.
Additionally, this chapter (and this book) will be easier to follow if you’re familiar with one programming language. All the examples in this book are in Python. If you don’t know any programming languages and want to learn one, choose Python—it’s great for beginners. If you know another language, like Ruby, you’ll be fine.
Suppose you’re searching for a person in the phone book (what an old-fashioned sentence!). Their name starts with K. You could start at the beginning and keep flipping pages until you get to the Ks. But you’re more likely to start at a page in the middle, because you know the Ks are going to be near the middle of the phone book.

Or suppose you’re searching for a word in a dictionary, and it starts with O. Again, you’ll start near the middle.
Now suppose you log on to Facebook. When you do, Facebook has to verify that you have an account on the site. So, it needs to search for your username in its database. Suppose your username is karlmageddon. Facebook could start from the As and search for your name—but it makes more sense for it to begin somewhere in the middle.
This is a search problem. And all these cases use the same algorithm to solve the problem: binary search.

Binary search is an algorithm; its input is a sorted list of elements (I’ll explain later why it needs to be sorted). If an element you’re looking for is in that list, binary search returns the position where it’s located. Otherwise, binary search returns null.
For example:

Looking for companies in a phone book with binary search
Here’s an example of how binary search works. I’m thinking of a number between 1 and 100.

You have to try to guess my number in the fewest tries possible. With every guess, I’ll tell you if your guess is too low, too high, or correct.
Suppose you start guessing like this: 1, 2, 3, 4 .... Here’s how it would go.


A bad approach to number guessing
This is simple search (maybe stupid search would be a better term). With each guess, you’re eliminating only one number. If my number was 99, it could take you 99 guesses to get there!
Here’s a better technique. Start with 50.

Too low, but you just eliminated half the numbers! Now you know that 1–50 are all too low. Next guess: 75.

Too high, but again you cut down half the remaining numbers! With binary search, you guess the middle number and eliminate half the remaining numbers every time. Next is 63 (halfway between 50 and 75).

This is binary search. You just learned your first algorithm! Here’s how many numbers you can eliminate every time.

Eliminate half the numbers every time with binary search.
Whatever number I’m thinking of, you can guess in a maximum of seven guesses—because you eliminate so many numbers with every guess!
Suppose you’re looking for a word in the dictionary. The dictionary has 240,000 words. In the worst case, how many steps do you think each search will take?

Simple search could take 240,000 steps if the word you’re looking for is the very last one in the book. With each step of binary search, you cut the number of words in half until you’re left with only one word.

So binary search will take 18 steps—a big difference! In general, for any list of n, binary search will take log2 n steps to run in the worst case, whereas simple search will take n steps.
You may not remember what logarithms are, but you probably know what exponentials are. log10 100 is like asking, “How many 10s do we multiply together to get 100?” The answer is 2: 10 × 10. So log10 100 = 2. Logs are the flip of exponentials.

Logs are the flip of exponentials.
In this book, when I talk about running time in Big O notation (explained a little later), log always means log2. When you search for an element using simple search, in the worst case you might have to look at every single element. So for a list of 8 numbers, you’d have to check 8 numbers at most. For binary search, you have to check log n elements in the worst case. For a list of 8 elements, log 8 == 3, because 23 == 8. So for a list of 8 numbers, you would have to check 3 numbers at most. For a list of 1,024 elements, log 1,024 = 10, because 210 == 1,024. So for a list of 1,024 numbers, you’d have to check 10 numbers at most.
I’ll talk about log time a lot in this book, so you should understand the concept of logarithms. If you don’t, Khan Academy (khanacademy.org) has a nice video that makes it clear.
Binary search only works when your list is in sorted order. For example, the names in a phone book are sorted in alphabetical order, so you can use binary search to look for a name. What would happen if the names weren’t sorted?
Let’s see how to write binary search in Python. The code sample here uses arrays. If you don’t know how arrays work, don’t worry; they’re covered in the next chapter. You just need to know that you can store a sequence of elements in a row of consecutive buckets called an array. The buckets are numbered starting with 0: the first bucket is at position #0, the second is #1, the third is #2, and so on.
The binary_search function takes a sorted array and an item. If the item is in the array, the function returns its position. You’ll keep track of what part of the array you have to search through. At the beginning, this is the entire array:
low = 0 high = len(list) - 1

Each time, you check the middle element:

If the guess is too low, you update low accordingly:
if guess < item: low = mid + 1

And if the guess is too high, you update high. Here’s the full code:

Suppose you have a sorted list of 128 names, and you’re searching through it using binary search. What’s the maximum number of steps it would take?
Suppose you double the size of the list. What’s the maximum number of steps now?
Any time I talk about an algorithm, I’ll discuss its running time. Generally you want to choose the most efficient algorithm—whether you’re trying to optimize for time or space.

Back to binary search. How much time do you save by using it? Well, the first approach was to check each number, one by one. If this is a list of 100 numbers, it takes up to 100 guesses. If it’s a list of 4 billion numbers, it takes up to 4 billion guesses. So the maximum number of guesses is the same as the size of the list. This is called linear time.
Binary search is different. If the list is 100 items long, it takes at most 7 guesses. If the list is 4 billion items, it takes at most 32 guesses. Powerful, eh? Binary search runs in logarithmic time (or log time, as the natives call it). Here’s a table summarizing our findings today.

Run times for search algorithms
Big O notation is special notation that tells you how fast an algorithm is. Who cares? Well, it turns out that you’ll use other people’s algorithms often—and when you do, it’s nice to understand how fast or slow they are. In this section, I’ll explain what Big O notation is and give you a list of the most common running times for algorithms using it.
Bob is writing a search algorithm for NASA. His algorithm will kick in when a rocket is about to land on the Moon, and it will help calculate where to land.

This is an example of how the run time of two algorithms can grow at different rates. Bob is trying to decide between simple search and binary search. The algorithm needs to be both fast and correct. On one hand, binary search is faster. And Bob has only 10 seconds to figure out where to land—otherwise, the rocket will be off course. On the other hand, simple search is easier to write, and there is less chance of bugs being introduced. And Bob really doesn’t want bugs in the code to land a rocket! To be extra careful, Bob decides to time both algorithms with a list of 100 elements.
Let’s assume it takes 1 millisecond to check one element. With simple search, Bob has to check 100 elements, so the search takes 100 ms to run. On the other hand, he only has to check 7 elements with binary search (log2 100 is roughly 7), so that search takes 7 ms to run. But realistically, the list will have more like a billion elements. If it does, how long will simple search take? How long will binary search take? Make sure you have an answer for each question before reading on.

Running time for simple search vs. binary search, with a list of 100 elements
Bob runs binary search with 1 billion elements, and it takes 30 ms (log2 1,000,000,000 is roughly 30). “32 ms!” he thinks. “Binary search is about 15 times faster than simple search, because simple search took 100 ms with 100 elements, and binary search took 7 ms. So simple search will take 30 × 15 = 450 ms, right? Way under my threshold of 10 seconds.” Bob decides to go with simple search. Is that the right choice?
No. Turns out, Bob is wrong. Dead wrong. The run time for simple search with 1 billion items will be 1 billion ms, which is 11 days! The problem is, the run times for binary search and simple search don’t grow at the same rate.

Run times grow at very different speeds!
That is, as the number of items increases, binary search takes a little more time to run. But simple search takes a lot more time to run. So as the list of numbers gets bigger, binary search suddenly becomes a lot faster than simple search. Bob thought binary search was 15 times faster than simple search, but that’s not correct. If the list has 1 billion items, it’s more like 33 million times faster. That’s why it’s not enough to know how long an algorithm takes to run—you need to know how the running time increases as the list size increases. That’s where Big O notation comes in.
Big O notation tells you how fast an algorithm is. For example, suppose you have a list of size n. Simple search needs to check each element, so it will take n operations. The run time in Big O notation is O(n). Where are the seconds? There are none—Big O doesn’t tell you the speed in seconds. Big O notation lets you compare the number of operations. It tells you how fast the algorithm grows.

Here’s another example. Binary search needs log n operations to check a list of size n. What’s the running time in Big O notation? It’s O(log n). In general, Big O notation is written as follows.

What Big O notation looks like
This tells you the number of operations an algorithm will make. It’s called Big O notation because you put a “big O” in front of the number of operations (it sounds like a joke, but it’s true!).
Now let’s look at some examples. See if you can figure out the run time for these algorithms.
Here’s a practical example you can follow at home with a few pieces of paper and a pencil. Suppose you have to draw a grid of 16 boxes.

What’s a good algorithm to draw this grid?
One way to do it is to draw 16 boxes, one at a time. Remember, Big O notation counts the number of operations. In this example, drawing one box is one operation. You have to draw 16 boxes. How many operations will it take, drawing one box at a time?

Drawing a grid one box at a time
It takes 16 steps to draw 16 boxes. What’s the running time for this algorithm?
Try this algorithm instead. Fold the paper.

In this example, folding the paper once is an operation. You just made two boxes with that operation!
Fold the paper again, and again, and again.

Unfold it after four folds, and you’ll have a beautiful grid! Every fold doubles the number of boxes. You made 16 boxes with 4 operations!

Drawing a grid in four folds
You can “draw” twice as many boxes with every fold, so you can draw 16 boxes in 4 steps. What’s the running time for this algorithm? Come up with running times for both algorithms before moving on.
Answers: Algorithm 1 takes O(n) time, and algorithm 2 takes O(log n) time.
Suppose you’re using simple search to look for a person in the phone book. You know that simple search takes O(n) time to run, which means in the worst case, you’ll have to look through every single entry in your phone book. In this case, you’re looking for Adit. This guy is the first entry in your phone book. So you didn’t have to look at every entry—you found it on the first try. Did this algorithm take O(n) time? Or did it take O(1) time because you found the person on the first try?
Simple search still takes O(n) time. In this case, you found what you were looking for instantly. That’s the best-case scenario. But Big O notation is about the worst-case scenario. So you can say that, in the worst case, you’ll have to look at every entry in the phone book once. That’s O(n) time. It’s a reassurance—you know that simple search will never be slower than O(n) time.
Along with the worst-case run time, it’s also important to look at the average-case run time. Worst case versus average case is discussed in chapter 4.
Here are five Big O run times that you’ll encounter a lot, sorted from fastest to slowest:
Suppose you’re drawing a grid of 16 boxes again, and you can choose from 5 different algorithms to do so. If you use the first algorithm, it will take you O(log n) time to draw the grid. You can do 10 operations per second. With O(log n) time, it will take you 4 operations to draw a grid of 16 boxes (log 16 is 4). So it will take you 0.4 seconds to draw the grid. What if you have to draw 1,024 boxes? It will take you log 1,024 = 10 operations, or 1 second to draw a grid of 1,024 boxes. These numbers are using the first algorithm.
The second algorithm is slower: it takes O(n) time. It will take 16 operations to draw 16 boxes, and it will take 1,024 operations to draw 1,024 boxes. How much time is that in seconds?
Here’s how long it would take to draw a grid for the rest of the algorithms, from fastest to slowest:

There are other run times, too, but these are the five most common.
This is a simplification. In reality you can’t convert from a Big O run time to a number of operations this neatly, but this is good enough for now. We’ll come back to Big O notation in chapter 4, after you’ve learned a few more algorithms. For now, the main takeaways are as follows:
Give the run time for each of these scenarios in terms of Big O.
You have a name, and you want to find the person’s phone number in the phone book.
You have a phone number, and you want to find the person’s name in the phone book. (Hint: You’ll have to search through the whole book!)
You want to read the numbers of every person in the phone book.
You want to read the numbers of just the As. (This is a tricky one! It involves concepts that are covered more in chapter 4. Read the answer—you may be surprised!)
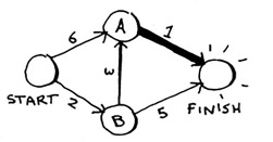
You might have read that last section and thought, “There’s no way I’ll ever run into an algorithm that takes O(n!) time.” Well, let me try to prove you wrong! Here’s an example of an algorithm with a really bad running time. This is a famous problem in computer science, because its growth is appalling and some very smart people think it can’t be improved. It’s called the traveling salesperson problem.

You have a salesperson.
The salesperson has to go to five cities.

This salesperson, whom I’ll call Opus, wants to hit all five cities while traveling the minimum distance. Here’s one way to do that: look at every possible order in which he could travel to the cities.

He adds up the total distance and then picks the path with the lowest distance. There are 120 permutations with 5 cities, so it will take 120 operations to solve the problem for 5 cities. For 6 cities, it will take 720 operations (there are 720 permutations). For 7 cities, it will take 5,040 operations!

The number of operations increases drastically.
In general, for n items, it will take n! (n factorial) operations to compute the result. So this is O(n!) time, or factorial time. It takes a lot of operations for everything except the smallest numbers. Once you’re dealing with 100+ cities, it’s impossible to calculate the answer in time—the Sun will collapse first.
This is a terrible algorithm! Opus should use a different one, right? But he can’t. This is one of the unsolved problems in computer science. There’s no fast known algorithm for it, and smart people think it’s impossible to have a smart algorithm for this problem. The best we can do is come up with an approximate solution; see chapter 10 for more.
One final note: if you’re an advanced reader, check out binary search trees! There’s a brief description of them in the last chapter.

In this chapter
To understand the performance analysis bits in this chapter, you need to know Big O notation and logarithms. If you don’t know those, I suggest you go back and read chapter 1. Big O notation will be used throughout the rest of the book.
Imagine you go to a show and need to check your things. A chest of drawers is available.

Each drawer can hold one element. You want to store two things, so you ask for two drawers.

You store your two things here.

And you’re ready for the show! This is basically how your computer’s memory works. Your computer looks like a giant set of drawers, and each drawer has an address.

fe Øffeeb is the address of a slot in memory.
Each time you want to store an item in memory, you ask the computer for some space, and it gives you an address where you can store your item. If you want to store multiple items, there are two basic ways to do so: arrays and lists. I’ll talk about arrays and lists next, as well as the pros and cons of each. There isn’t one right way to store items for every use case, so it’s important to know the differences.
Sometimes you need to store a list of elements in memory. Suppose you’re writing an app to manage your todos. You’ll want to store the todos as a list in memory.

Should you use an array, or a linked list? Let’s store the todos in an array first, because it’s easier to grasp. Using an array means all your tasks are stored contiguously (right next to each other) in memory.

Now suppose you want to add a fourth task. But the next drawer is taken up by someone else’s stuff!

It’s like going to a movie with your friends and finding a place to sit—but another friend joins you, and there’s no place for them. You have to move to a new spot where you all fit. In this case, you need to ask your computer for a different chunk of memory that can fit four tasks. Then you need to move all your tasks there.
If another friend comes by, you’re out of room again—and you all have to move a second time! What a pain. Similarly, adding new items to an array can be a big pain. If you’re out of space and need to move to a new spot in memory every time, adding a new item will be really slow. One easy fix is to “hold seats”: even if you have only 3 items in your task list, you can ask the computer for 10 slots, just in case. Then you can add 10 items to your task list without having to move. This is a good workaround, but you should be aware of a couple of downsides:
So it’s a good workaround, but it’s not a perfect solution. Linked lists solve this problem of adding items.
With linked lists, your items can be anywhere in memory.

Each item stores the address of the next item in the list. A bunch of random memory addresses are linked together.

It’s like a treasure hunt. You go to the first address, and it says, “The next item can be found at address 123.” So you go to address 123, and it says, “The next item can be found at address 847,” and so on. Adding an item to a linked list is easy: you stick it anywhere in memory and store the address with the previous item.
With linked lists, you never have to move your items. You also avoid another problem. Let’s say you go to a popular movie with five of your friends. The six of you are trying to find a place to sit, but the theater is packed. There aren’t six seats together. Well, sometimes this happens with arrays. Let’s say you’re trying to find 10,000 slots for an array. Your memory has 10,000 slots, but it doesn’t have 10,000 slots together. You can’t get space for your array! A linked list is like saying, “Let’s split up and watch the movie.” If there’s space in memory, you have space for your linked list.
If linked lists are so much better at inserts, what are arrays good for?
Websites with top-10 lists use a scummy tactic to get more page views. Instead of showing you the list on one page, they put one item on each page and make you click Next to get to the next item in the list. For example, Top 10 Best TV Villains won’t show you the entire list on one page. Instead, you start at #10 (Newman), and you have to click Next on each page to reach #1 (Gustavo Fring). This technique gives the websites 10 whole pages on which to show you ads, but it’s boring to click Next 9 times to get to #1. It would be much better if the whole list was on one page and you could click each person’s name for more info.

Linked lists have a similar problem. Suppose you want to read the last item in a linked list. You can’t just read it, because you don’t know what address it’s at. Instead, you have to go to item #1 to get the address for item #2. Then you have to go to item #2 to get the address for item #3. And so on, until you get to the last item. Linked lists are great if you’re going to read all the items one at a time: you can read one item, follow the address to the next item, and so on. But if you’re going to keep jumping around, linked lists are terrible.
Arrays are different. You know the address for every item in your array. For example, suppose your array contains five items, and you know it starts at address 00. What is the address of item #5?

Simple math tells you: it’s 04. Arrays are great if you want to read random elements, because you can look up any element in your array instantly. With a linked list, the elements aren’t next to each other, so you can’t instantly calculate the position of the fifth element in memory—you have to go to the first element to get the address to the second element, then go to the second element to get the address of the third element, and so on until you get to the fifth element.
The elements in an array are numbered. This numbering starts from 0, not 1. For example, in this array, 20 is at position 1.

And 10 is at position 0. This usually throws new programmers for a spin. Starting at 0 makes all kinds of array-based code easier to write, so programmers have stuck with it. Almost every programming language you use will number array elements starting at 0. You’ll soon get used to it.
The position of an element is called its index. So instead of saying, “20 is at position 1,” the correct terminology is, “20 is at index 1.” I’ll use index to mean position throughout this book.
Here are the run times for common operations on arrays and lists.

Question: Why does it take O(n) time to insert an element into an array? Suppose you wanted to insert an element at the beginning of an array. How would you do it? How long would it take? Find the answers to these questions in the next section!
Suppose you’re building an app to keep track of your finances.
Every day, you write down everything you spent money on. At the end of the month, you review your expenses and sum up how much you spent. So, you have lots of inserts and a few reads. Should you use an array or a list?
Suppose you want your todo list to work more like a calendar. Earlier, you were adding things to the end of the list.
Now you want to add them in the order in which they should be done.

What’s better if you want to insert elements in the middle: arrays or lists? With lists, it’s as easy as changing what the previous element points to.

But for arrays, you have to shift all the rest of the elements down.

And if there’s no space, you might have to copy everything to a new location! Lists are better if you want to insert elements into the middle.
What if you want to delete an element? Again, lists are better, because you just need to change what the previous element points to. With arrays, everything needs to be moved up when you delete an element.
Unlike insertions, deletions will always work. Insertions can fail sometimes when there’s no space left in memory. But you can always delete an element.
Here are the run times for common operations on arrays and linked lists.

It’s worth mentioning that insertions and deletions are O(1) time only if you can instantly access the element to be deleted. It’s a common practice to keep track of the first and last items in a linked list, so it would take only O(1) time to delete those.
Which are used more: arrays or lists? Obviously, it depends on the use case. But arrays see a lot of use because they allow random access. There are two different types of access: random access and sequential access. Sequential access means reading the elements one by one, starting at the first element. Linked lists can only do sequential access. If you want to read the 10th element of a linked list, you have to read the first 9 elements and follow the links to the 10th element. Random access means you can jump directly to the 10th element. You’ll frequently hear me say that arrays are faster at reads. This is because they provide random access. A lot of use cases require random access, so arrays are used a lot. Arrays and lists are used to implement other data structures, too (coming up later in the book).
Suppose you’re building an app for restaurants to take customer orders. Your app needs to store a list of orders. Servers keep adding orders to this list, and chefs take orders off the list and make them. It’s an order queue: servers add orders to the back of the queue, and the chef takes the first order off the queue and cooks it.
Would you use an array or a linked list to implement this queue? (Hint: Linked lists are good for inserts/deletes, and arrays are good for random access. Which one are you going to be doing here?)
Let’s run a thought experiment. Suppose Facebook keeps a list of usernames. When someone tries to log in to Facebook, a search is done for their username. If their name is in the list of usernames, they can log in. People log in to Facebook pretty often, so there are a lot of searches through this list of usernames. Suppose Facebook uses binary search to search the list. Binary search needs random access—you need to be able to get to the middle of the list of usernames instantly. Knowing this, would you implement the list as an array or a linked list?
People sign up for Facebook pretty often, too. Suppose you decided to use an array to store the list of users. What are the downsides of an array for inserts? In particular, suppose you’re using binary search to search for logins. What happens when you add new users to an array?
In reality, Facebook uses neither an array nor a linked list to store user information. Let’s consider a hybrid data structure: an array of linked lists. You have an array with 26 slots. Each slot points to a linked list. For example, the first slot in the array points to a linked list containing all the usernames starting with a. The second slot points to a linked list containing all the usernames starting with b, and so on.
Suppose Adit B signs up for Facebook, and you want to add them to the list. You go to slot 1 in the array, go to the linked list for slot 1, and add Adit B at the end. Now, suppose you want to search for Zakhir H. You go to slot 26, which points to a linked list of all the Z names. Then you search through that list to find Zakhir H.
Compare this hybrid data structure to arrays and linked lists. Is it slower or faster than each for searching and inserting? You don’t have to give Big O run times, just whether the new data structure would be faster or slower.
Let’s put it all together to learn your second algorithm: selection sort. To follow this section, you need to understand arrays and lists, as well as Big O notation.

Suppose you have a bunch of music on your computer. For each artist, you have a play count.

You want to sort this list from most to least played, so that you can rank your favorite artists. How can you do it?
One way is to go through the list and find the most-played artist. Add that artist to a new list.

Do it again to find the next-most-played artist.

Keep doing this, and you’ll end up with a sorted list.

Let’s put on our computer science hats and see how long this will take to run. Remember that O(n) time means you touch every element in a list once. For example, running simple search over the list of artists means looking at each artist once.

To find the artist with the highest play count, you have to check each item in the list. This takes O(n) time, as you just saw. So you have an operation that takes O(n) time, and you have to do that n times:

This takes O(n × n) time or O(n2) time.
Sorting algorithms are very useful. Now you can sort
Maybe you’re wondering: as you go through the operations, the number of elements you have to check keeps decreasing. Eventually, you’re down to having to check just one element. So how can the run time still be O(n2)? That’s a good question, and the answer has to do with constants in Big O notation. I’ll get into this more in chapter 4, but here’s the gist.
You’re right that you don’t have to check a list of n elements each time. You check n elements, then n – 1, n - 2 ... 2, 1. On average, you check a list that has ½ n elements. The runtime is O(n × ½ n). But constants like ½ are ignored in Big O notation (again, see chapter 4 for the full discussion), so you just write O(n × n) or O(n2).
Selection sort is a neat algorithm, but it’s not very fast. Quicksort is a faster sorting algorithm that only takes O(n log n) time. It’s coming up in the next chapter!
We didn’t show you the code to sort the music list, but following is some code that will do something very similar: sort an array from smallest to largest. Let’s write a function to find the smallest element in an array:

Now you can use this function to write selection sort:



I’m excited about this chapter because it covers recursion, an elegant way to solve problems. Recursion is one of my favorite topics, but it’s divisive. People either love it or hate it, or hate it until they learn to love it a few years later. I personally was in that third camp. To make things easier for you, I have some advice:
This chapter also includes a lot of pseudocode. Pseudocode is a high-level description of the problem you’re trying to solve, in code. It’s written like code, but it’s meant to be closer to human speech.
Suppose you’re digging through your grandma’s attic and come across a mysterious locked suitcase.

Grandma tells you that the key for the suitcase is probably in this other box.

This box contains more boxes, with more boxes inside those boxes. The key is in a box somewhere. What’s your algorithm to search for the key? Think of an algorithm before you read on.
Here’s one approach.

Here’s an alternate approach.

Which approach seems easier to you? The first approach uses a while loop. While the pile isn’t empty, grab a box and look through it:
def look_for_key(main_box):
pile = main_box.make_a_pile_to_look_through()
while pile is not empty:
box = pile.grab_a_box()
for item in box:
if item.is_a_box():
pile.append(item)
elif item.is_a_key():
print "found the key!"
The second way uses recursion. Recursion is where a function calls itself. Here’s the second way in pseudocode:

Both approaches accomplish the same thing, but the second approach is clearer to me. Recursion is used when it makes the solution clearer. There’s no performance benefit to using recursion; in fact, loops are sometimes better for performance. I like this quote by Leigh Caldwell on Stack Overflow: “Loops may achieve a performance gain for your program. Recursion may achieve a performance gain for your programmer. Choose which is more important in your situation!”[1]
Many important algorithms use recursion, so it’s important to understand the concept.

Because a recursive function calls itself, it’s easy to write a function incorrectly that ends up in an infinite loop. For example, suppose you want to write a function that prints a countdown, like this:
> 3...2...1
You can write it recursively, like so:
def countdown(i): print i countdown(i-1)
Write out this code and run it. You’ll notice a problem: this function will run forever!

Infinite loop
> 3...2...1...0...-1...-2...
(Press Ctrl-C to kill your script.)
When you write a recursive function, you have to tell it when to stop recursing. That’s why every recursive function has two parts: the base case, and the recursive case. The recursive case is when the function calls itself. The base case is when the function doesn’t call itself again ... so it doesn’t go into an infinite loop.
Let’s add a base case to the countdown function:

Now the function works as expected. It goes something like this.

This section covers the call stack. It’s an important concept in programming. The call stack is an important concept in general programming, and it’s also important to understand when using recursion.

Suppose you’re throwing a barbecue. You keep a todo list for the barbecue, in the form of a stack of sticky notes.

Remember back when we talked about arrays and lists, and you had a todo list? You could add todo items anywhere to the list or delete random items. The stack of sticky notes is much simpler. When you insert an item, it gets added to the top of the list. When you read an item, you only read the topmost item, and it’s taken off the list. So your todo list has only two actions: push (insert) and pop (remove and read).

Let’s see the todo list in action.

This data structure is called a stack. The stack is a simple data structure. You’ve been using a stack this whole time without realizing it!
Your computer uses a stack internally called the call stack. Let’s see it in action. Here’s a simple function:
def greet(name):
print "hello, " + name + "!"
greet2(name)
print "getting ready to say bye..."
bye()
This function greets you and then calls two other functions. Here are those two functions:
def greet2(name):
print "how are you, " + name + "?"
def bye():
print "ok bye!"
Let’s walk through what happens when you call a function.
print is a function in Python, but to make things easier for this example, we’re pretending it isn’t. Just play along.
Suppose you call greet("maggie"). First, your computer allocates a box of memory for that function call.

Now let’s use the memory. The variable name is set to “maggie”. That needs to be saved in memory.

Every time you make a function call, your computer saves the values for all the variables for that call in memory like this. Next, you print hello, maggie! Then you call greet2("maggie"). Again, your computer allocates a box of memory for this function call.

Your computer is using a stack for these boxes. The second box is added on top of the first one. You print how are you, maggie? Then you return from the function call. When this happens, the box on top of the stack gets popped off.

Now the topmost box on the stack is for the greet function, which means you returned back to the greet function. When you called the greet2 function, the greet function was partially completed. This is the big idea behind this section: when you call a function from another function, the calling function is paused in a partially completed state. All the values of the variables for that function are still stored in memory. Now that you’re done with the greet2 function, you’re back to the greet function, and you pick up where you left off. First you print getting ready to say bye.... You call the bye function.

A box for that function is added to the top of the stack. Then you print ok bye! and return from the function call.

And you’re back to the greet function. There’s nothing else to be done, so you return from the greet function too. This stack, used to save the variables for multiple functions, is called the call stack.
Suppose I show you a call stack like this.
What information can you give me, just based on this call stack?
Now let’s see the call stack in action with a recursive function.
Recursive functions use the call stack too! Let’s look at this in action with the factorial function. factorial(5) is written as 5!, and it’s defined like this: 5! = 5 * 4 * 3 * 2 * 1. Similarly, factorial(3) is 3 * 2 * 1. Here’s a recursive function to calculate the factorial of a number:
def fact(x):
if x == 1:
return 1
else:
return x * fact(x-1)
Now you call fact(3). Let’s step through this call line by line and see how the stack changes. Remember, the topmost box in the stack tells you what call to fact you’re currently on.


Notice that each call to fact has its own copy of x. You can’t access a different function’s copy of x.
The stack plays a big part in recursion. In the opening example, there were two approaches to find the key. Here’s the first way again.

This way, you make a pile of boxes to search through, so you always know what boxes you still need to search.

But in the recursive approach, there’s no pile.

If there’s no pile, how does your algorithm know what boxes you still have to look through? Here’s an example.

At this point, the call stack looks like this.

The “pile of boxes” is saved on the stack! This is a stack of half-completed function calls, each with its own half-complete list of boxes to look through. Using the stack is convenient because you don’t have to keep track of a pile of boxes yourself—the stack does it for you.
Using the stack is convenient, but there’s a cost: saving all that info can take up a lot of memory. Each of those function calls takes up some memory, and when your stack is too tall, that means your computer is saving information for many function calls. At that point, you have two options:
Suppose you accidentally write a recursive function that runs forever. As you saw, your computer allocates memory on the stack for each function call. What happens to the stack when your recursive function runs forever?


In this chapter
You learned all about recursion in the last chapter. This chapter focuses on using your new skill to solve problems. We’ll explore divide and conquer (D&C), a well-known recursive technique for solving problems.
This chapter really gets into the meat of algorithms. After all, an algorithm isn’t very useful if it can only solve one type of problem. Instead, D&C gives you a new way to think about solving problems. D&C is another tool in your toolbox. When you get a new problem, you don’t have to be stumped. Instead, you can ask, “Can I solve this if I use divide and conquer?”
At the end of the chapter, you’ll learn your first major D&C algorithm: quicksort. Quicksort is a sorting algorithm, and a much faster one than selection sort (which you learned in chapter 2). It’s a good example of elegant code.
D&C can take some time to grasp. So, we’ll do three examples. First I’ll show you a visual example. Then I’ll do a code example that is less pretty but maybe easier. Finally, we’ll go through quicksort, a sorting algorithm that uses D&C.

Suppose you’re a farmer with a plot of land.

You want to divide this farm evenly into square plots. You want the plots to be as big as possible. So none of these will work.

How do you figure out the largest square size you can use for a plot of land? Use the D&C strategy! D&C algorithms are recursive algorithms. To solve a problem using D&C, there are two steps:
1. Figure out the base case. This should be the simplest possible case.
2. Divide or decrease your problem until it becomes the base case.
Let’s use D&C to find the solution to this problem. What is the largest square size you can use?
First, figure out the base case. The easiest case would be if one side was a multiple of the other side.

Suppose one side is 25 meters (m) and the other side is 50 m. Then the largest box you can use is 25 m × 25 m. You need two of those boxes to divide up the land.
Now you need to figure out the recursive case. This is where D&C comes in. According to D&C, with every recursive call, you have to reduce your problem. How do you reduce the problem here? Let’s start by marking out the biggest boxes you can use.

You can fit two 640 × 640 boxes in there, and there’s some land still left to be divided. Now here comes the “Aha!” moment. There’s a farm segment left to divide. Why don’t you apply the same algorithm to this segment?

So you started out with a 1680 × 640 farm that needed to be split up. But now you need to split up a smaller segment, 640 × 400. If you find the biggest box that will work for this size, that will be the biggest box that will work for the entire farm. You just reduced the problem from a 1680 × 640 farm to a 640 × 400 farm!
“If you find the biggest box that will work for this size, that will be the biggest box that will work for the entire farm.” If it’s not obvious to you why this statement is true, don’t worry. It isn’t obvious. Unfortunately, the proof for why it works is a little too long to include in this book, so you’ll just have to believe me that it works. If you want to understand the proof, look up Euclid’s algorithm. The Khan academy has a good explanation here: https://www.khanacademy.org/computing/computer-science/cryptography/modarithmetic/a/the-euclidean-algorithm.

Let’s apply the same algorithm again. Starting with a 640 × 400m farm, the biggest box you can create is 400 × 400 m.
And that leaves you with a smaller segment, 400 × 240 m.

And you can draw a box on that to get an even smaller segment, 240 × 160 m.

And then you draw a box on that to get an even smaller segment.

Hey, you’re at the base case: 80 is a factor of 160. If you split up this segment using boxes, you don’t have anything left over!

So, for the original farm, the biggest plot size you can use is 80 × 80 m.

To recap, here’s how D&C works:
D&C isn’t a simple algorithm that you can apply to a problem. Instead, it’s a way to think about a problem. Let’s do one more example.

You’re given an array of numbers.
You have to add up all the numbers and return the total. It’s pretty easy to do this with a loop:
def sum(arr):
total = 0
for x in arr:
total += x
return total
print sum([1, 2, 3, 4])
But how would you do this with a recursive function?
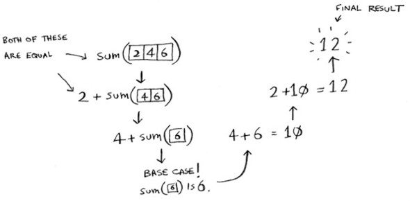
Step 1: Figure out the base case. What’s the simplest array you could get? Think about the simplest case, and then read on. If you get an array with 0 or 1 element, that’s pretty easy to sum up.

So that will be the base case.
Step 2: You need to move closer to an empty array with every recursive call. How do you reduce your problem size? Here’s one way.

It’s the same as this.

In either case, the result is 12. But in the second version, you’re passing a smaller array into the sum function. That is, you decreased the size of your problem!
Your sum function could work like this.


Remember, recursion keeps track of the state.

When you’re writing a recursive function involving an array, the base case is often an empty array or an array with one element. If you’re stuck, try that first.
“Why would I do this recursively if I can do it easily with a loop?” you may be thinking. Well, this is a sneak peek into functional programming! Functional programming languages like Haskell don’t have loops, so you have to use recursion to write functions like this. If you have a good understanding of recursion, functional languages will be easier to learn. For example, here’s how you’d write a sum function in Haskell:

Notice that it looks like you have two definitions for the function. The first definition is run when you hit the base case. The second definition runs at the recursive case. You can also write this function in Haskell using an if statement:
sum arr = if arr == []
then 0
else (head arr) + (sum (tail arr))
But the first definition is easier to read. Because Haskell makes heavy use of recursion, it includes all kinds of niceties like this to make recursion easy. If you like recursion, or you’re interested in learning a new language, check out Haskell.
Write out the code for the earlier sum function.
Write a recursive function to count the number of items in a list.
Find the maximum number in a list.
Remember binary search from chapter 1? It’s a divide-and-conquer algorithm, too. Can you come up with the base case and recursive case for binary search?
Quicksort is a sorting algorithm. It’s much faster than selection sort and is frequently used in real life. For example, the C standard library has a function called qsort, which is its implementation of quicksort. Quicksort also uses D&C.

Let’s use quicksort to sort an array. What’s the simplest array that a sorting algorithm can handle (remember my tip from the previous section)? Well, some arrays don’t need to be sorted at all.

Empty arrays and arrays with just one element will be the base case. You can just return those arrays as is—there’s nothing to sort:
def quicksort(array):
if len(array) < 2:
return array
Let’s look at bigger arrays. An array with two elements is pretty easy to sort, too.

What about an array of three elements?

Remember, you’re using D&C. So you want to break down this array until you’re at the base case. Here’s how quicksort works. First, pick an element from the array. This element is called the pivot.

We’ll talk about how to pick a good pivot later. For now, let’s say the first item in the array is the pivot.
Now find the elements smaller than the pivot and the elements larger than the pivot.

This is called partitioning. Now you have
The two sub-arrays aren’t sorted. They’re just partitioned. But if they were sorted, then sorting the whole array would be pretty easy.

If the sub-arrays are sorted, then you can combine the whole thing like this—left array + pivot + right array—and you get a sorted array. In this case, it’s [10, 15] + [33] + [] = [10, 15, 33], which is a sorted array.
How do you sort the sub-arrays? Well, the quicksort base case already knows how to sort arrays of two elements (the left sub-array) and empty arrays (the right sub-array). So if you call quicksort on the two sub-arrays and then combine the results, you get a sorted array!

This will work with any pivot. Suppose you choose 15 as the pivot instead.

Both sub-arrays have only one element, and you know how to sort those. So now you know how to sort an array of three elements. Here are the steps:
1. Pick a pivot.
2. Partition the array into two sub-arrays: elements less than the pivot and elements greater than the pivot.
3. Call quicksort recursively on the two sub-arrays.
What about an array of four elements?

Suppose you choose 33 as the pivot again.

The array on the left has three elements. You already know how to sort an array of three elements: call quicksort on it recursively.

So you can sort an array of four elements. And if you can sort an array of four elements, you can sort an array of five elements. Why is that? Suppose you have this array of five elements.

Here are all the ways you can partition this array, depending on what pivot you choose.

Notice that all of these sub-arrays have somewhere between 0 and 4 elements. And you already know how to sort an array of 0 to 4 elements using quicksort! So no matter what pivot you pick, you can call quicksort recursively on the two sub-arrays.
For example, suppose you pick 3 as the pivot. You call quicksort on the sub-arrays.

The sub-arrays get sorted, and then you combine the whole thing to get a sorted array. This works even if you choose 5 as the pivot.

This works with any element as the pivot. So you can sort an array of five elements. Using the same logic, you can sort an array of six elements, and so on.
You just got a sneak peak into inductive proofs! Inductive proofs are one way to prove that your algorithm works. Each inductive proof has two steps: the base case and the inductive case. Sound familiar? For example, suppose I want to prove that I can climb to the top of a ladder. In the inductive case, if my legs are on a rung, I can put my legs on the next rung. So if I’m on rung 2, I can climb to rung 3. That’s the inductive case. For the base case, I’ll say that my legs are on rung 1. Therefore, I can climb the entire ladder, going up one rung at a time.
You use similar reasoning for quicksort. In the base case, I showed that the algorithm works for the base case: arrays of size 0 and 1. In the inductive case, I showed that if quicksort works for an array of size 1, it will work for an array of size 2. And if it works for arrays of size 2, it will work for arrays of size 3, and so on. Then I can say that quicksort will work for all arrays of any size. I won’t go deeper into inductive proofs here, but they’re fun and go hand-in-hand with D&C.

Here’s the code for quicksort:

Quicksort is unique because its speed depends on the pivot you choose. Before I talk about quicksort, let’s look at the most common Big O run times again.

Estimates based on a slow computer that performs 10 operations per second
The example times in this chart are estimates if you perform 10 operations per second. These graphs aren’t precise—they’re just there to give you a sense of how different these run times are. In reality, your computer can do way more than 10 operations per second.
Each run time also has an example algorithm attached. Check out selection sort, which you learned in chapter 2. It’s O(n2). That’s a pretty slow algorithm.
There’s another sorting algorithm called merge sort, which is O(n log n). Much faster! Quicksort is a tricky case. In the worst case, quicksort takes O(n2) time.
It’s as slow as selection sort! But that’s the worst case. In the average case, quicksort takes O(n log n) time. So you might be wondering:
Suppose you have this simple function to print every item in a list:
def print_items(list):
for item in list:
print item
This function goes through every item in the list and prints it out. Because it loops over the whole list once, this function runs in O(n) time. Now, suppose you change this function so it sleeps for 1 second before it prints out an item:
from time import sleep
def print_items2(list):
for item in list:
sleep(1)
print item
Before it prints out an item, it will pause for 1 second. Suppose you print a list of five items using both functions.

Both functions loop through the list once, so they’re both O(n) time. Which one do you think will be faster in practice? I think print_items will be much faster because it doesn’t pause for 1 second before printing an item. So even though both functions are the same speed in Big O notation, print_items is faster in practice. When you write Big O notation like O(n), it really means this.

c is some fixed amount of time that your algorithm takes. It’s called the constant. For example, it might be 10 milliseconds * n for print_items versus 1 second * n for print_items2.
You usually ignore that constant, because if two algorithms have different Big O times, the constant doesn’t matter. Take binary search and simple search, for example. Suppose both algorithms had these constants.

You might say, “Wow! Simple search has a constant of 10 milliseconds, but binary search has a constant of 1 second. Simple search is way faster!” Now suppose you’re searching a list of 4 billion elements. Here are the times.

As you can see, binary search is still way faster. That constant didn’t make a difference at all.
But sometimes the constant can make a difference. Quicksort versus merge sort is one example. Quicksort has a smaller constant than merge sort. So if they’re both O(n log n) time, quicksort is faster. And quicksort is faster in practice because it hits the average case way more often than the worst case.
So now you’re wondering: what’s the average case versus the worst case?
The performance of quicksort heavily depends on the pivot you choose. Suppose you always choose the first element as the pivot. And you call quicksort with an array that is already sorted. Quicksort doesn’t check to see whether the input array is already sorted. So it will still try to sort it.

Notice how you’re not splitting the array into two halves. Instead, one of the sub-arrays is always empty. So the call stack is really long. Now instead, suppose you always picked the middle element as the pivot. Look at the call stack now.

It’s so short! Because you divide the array in half every time, you don’t need to make as many recursive calls. You hit the base case sooner, and the call stack is much shorter.
The first example you saw is the worst-case scenario, and the second example is the best-case scenario. In the worst case, the stack size is O(n). In the best case, the stack size is O(log n).
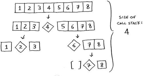
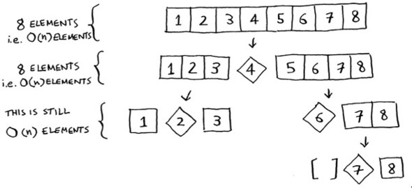
Now look at the first level in the stack. You pick one element as the pivot, and the rest of the elements are divided into sub-arrays. You touch all eight elements in the array. So this first operation takes O(n) time. You touched all eight elements on this level of the call stack. But actually, you touch O(n) elements on every level of the call stack.

Even if you partition the array differently, you’re still touching O(n) elements every time.

So each level takes O(n) time to complete.

In this example, there are O(log n) levels (the technical way to say that is, “The height of the call stack is O(log n)”). And each level takes O(n) time. The entire algorithm will take O(n) * O(log n) = O(n log n) time. This is the best-case scenario.
In the worst case, there are O(n) levels, so the algorithm will take O(n) * O(n) = O(n2) time.
Well, guess what? I’m here to tell you that the best case is also the average case. If you always choose a random element in the array as the pivot, quicksort will complete in O(n log n) time on average. Quicksort is one of the fastest sorting algorithms out there, and it’s a very good example of D&C.
How long would each of these operations take in Big O notation?
Printing the value of each element in an array.
Doubling the value of each element in an array.
Doubling the value of just the first element in an array.
Creating a multiplication table with all the elements in the array. So if your array is [2, 3, 7, 8, 10], you first multiply every element by 2, then multiply every element by 3, then by 7, and so on.


Suppose you work at a grocery store. When a customer buys produce, you have to look up the price in a book. If the book is unalphabetized, it can take you a long time to look through every single line for apple. You’d be doing simple search from chapter 1, where you have to look at every line. Do you remember how long that would take? O(n) time. If the book is alphabetized, you could run binary search to find the price of an apple. That would only take O(log n) time.


As a reminder, there’s a big difference between O(n) and O(log n) time! Suppose you could look through 10 lines of the book per second. Here’s how long simple search and binary search would take you.

You already know that binary search is darn fast. But as a cashier, looking things up in a book is a pain, even if the book is sorted. You can feel the customer steaming up as you search for items in the book. What you really need is a buddy who has all the names and prices memorized. Then you don’t need to look up anything: you ask her, and she tells you the answer instantly.

Your buddy Maggie can give you the price in O(1) time for any item, no matter how big the book is. She’s even faster than binary search.

What a wonderful person! How do you get a “Maggie”?
Let’s put on our data structure hats. You know two data structures so far: arrays and lists (I won’t talk about stacks because you can’t really “search” for something in a stack). You could implement this book as an array.

Each item in the array is really two items: one is the name of a kind of produce, and the other is the price. If you sort this array by name, you can run binary search on it to find the price of an item. So you can find items in O(log n) time. But you want to find items in O(1) time. That is, you want to make a “Maggie.” That’s where hash functions come in.
A hash function is a function where you put in a string[1] and you get back a number.
String here means any kind of data—a sequence of bytes.

In technical terminology, we’d say that a hash function “maps strings to numbers.” You might think there’s no discernable pattern to what number you get out when you put a string in. But there are some requirements for a hash function:
So a hash function maps strings to numbers. What is that good for? Well, you can use it to make your “Maggie”!
Start with an empty array:

You’ll store all of your prices in this array. Let’s add the price of an apple. Feed “apple” into the hash function.

The hash function outputs “3”. So let’s store the price of an apple at index 3 in the array.

Let’s add milk. Feed “milk” into the hash function.

The hash function says “0”. Let’s store the price of milk at index 0.

Keep going, and eventually the whole array will be full of prices.

Now you ask, “Hey, what’s the price of an avocado?” You don’t need to search for it in the array. Just feed “avocado” into the hash function.

It tells you that the price is stored at index 4. And sure enough, there it is.

The hash function tells you exactly where the price is stored, so you don’t have to search at all! This works because
You just built a “Maggie”! Put a hash function and an array together, and you get a data structure called a hash table. A hash table is the first data structure you’ll learn that has some extra logic behind it. Arrays and lists map straight to memory, but hash tables are smarter. They use a hash function to intelligently figure out where to store elements.
Hash tables are probably the most useful complex data structure you’ll learn. They’re also known as hash maps, maps, dictionaries, and associative arrays. And hash tables are fast! Remember our discussion of arrays and linked lists back in chapter 2? You can get an item from an array instantly. And hash tables use an array to store the data, so they’re equally fast.
You’ll probably never have to implement hash tables yourself. Any good language will have an implementation for hash tables. Python has hash tables; they’re called dictionaries. You can make a new hash table using the dict function:
>>> book = dict()

book is a new hash table. Let’s add some prices to book:


Pretty easy! Now let’s ask for the price of an avocado:

A hash table has keys and values. In the book hash, the names of produce are the keys, and their prices are the values. A hash table maps keys to values.
In the next section, you’ll see some examples where hash tables are really useful.
It’s important for hash functions to consistently return the same output for the same input. If they don’t, you won’t be able to find your item after you put it in the hash table!
Which of these hash functions are consistent?

Hash tables are used everywhere. This section will show you a few use cases.
Your phone has a handy phonebook built in.
Each name has a phone number associated with it.


Suppose you want to build a phone book like this. You’re mapping people’s names to phone numbers. Your phone book needs to have this functionality:
This is a perfect use case for hash tables! Hash tables are great when you want to
Building a phone book is pretty easy. First, make a new hash table:
>>> phone_book = dict()
By the way, Python has a shortcut for making a new hash table. You can use two curly braces:

Let’s add the phone numbers of some people into this phone book:
>>> phone_book["jenny"] = 8675309 >>> phone_book["emergency"] = 911
That’s all there is to it! Now, suppose you want to find Jenny’s phone number. Just pass the key in to the hash:


Imagine if you had to do this using an array instead. How would you do it? Hash tables make it easy to model a relationship from one item to another.
Hash tables are used for lookups on a much larger scale. For example, suppose you go to a website like http://adit.io. Your computer has to translate adit.io to an IP address.

For any website you go to, the address has to be translated to an IP address.

Wow, mapping a web address to an IP address? Sounds like a perfect use case for hash tables! This process is called DNS resolution. Hash tables are one way to provide this functionality.

Suppose you’re running a voting booth. Naturally, every person can vote just once. How do you make sure they haven’t voted before? When someone comes in to vote, you ask for their full name. Then you check it against the list of people who have voted.

If their name is on the list, this person has already voted—kick them out! Otherwise, you add their name to the list and let them vote. Now suppose a lot of people have come in to vote, and the list of people who have voted is really long.

Each time someone new comes in to vote, you have to scan this giant list to see if they’ve already voted. But there’s a better way: use a hash!
First, make a hash to keep track of the people who have voted:
>>> voted = {}
When someone new comes in to vote, check if they’re already in the hash:
>>> value = voted.get("tom")
The get function returns the value if “tom” is in the hash table. Otherwise, it returns None. You can use this to check if someone has already voted!

Here’s the code:
voted = {}
def check_voter(name):
if voted.get(name):
print "kick them out!"
else:
voted[name] = True
print "let them vote!"
Let’s test it a few times:
>>> check_voter("tom")
let them vote!
>>> check_voter("mike")
let them vote!
>>> check_voter("mike")
kick them out!
The first time Tom goes in, this will print, “let them vote!” Then Mike goes in, and it prints, “let them vote!” Then Mike tries to go a second time, and it prints, “kick them out!”
Remember, if you were storing these names in a list of people who have voted, this function would eventually become really slow, because it would have to run a simple search over the entire list. But you’re storing their names in a hash table instead, and a hash table instantly tells you whether this person’s name is in the hash table or not. Checking for duplicates is very fast with a hash table.

One final use case: caching. If you work on a website, you may have heard of caching before as a good thing to do. Here’s the idea. Suppose you visit facebook.com:

For example, on Facebook, the server may be collecting all of your friends’ activity to show you. It takes a couple of seconds to collect all that activity and shows it to you. That couple of seconds can feel like a long time as a user. You might think, “Why is Facebook being so slow?” On the other hand, Facebook’s servers have to serve millions of people, and that couple of seconds adds up for them. Facebook’s servers are really working hard to serve all of those websites. Is there a way to make Facebook faster and have its servers do less work at the same time?
Suppose you have a niece who keeps asking you about planets. “How far is Mars from Earth?” “How far is the Moon?” “How far is Jupiter?” Each time, you have to do a Google search and give her an answer. It takes a couple of minutes. Now, suppose she always asked, “How far is the Moon?” Pretty soon, you’d memorize that the Moon is 238,900 miles away. You wouldn’t have to look it up on Google ... you’d just remember and answer. This is how caching works: websites remember the data instead of recalculating it.
If you’re logged in to Facebook, all the content you see is tailored just for you. Each time you go to facebook.com, its servers have to think about what content you’re interested in. But if you’re not logged in to Facebook, you see the login page. Everyone sees the same login page. Facebook is asked the same thing over and over: “Give me the home page when I’m logged out.” So it stops making the server do work to figure out what the home page looks like. Instead, it memorizes what the home page looks like and sends it to you.

This is called caching. It has two advantages:
Caching is a common way to make things faster. All big websites use caching. And that data is cached in a hash!
Facebook isn’t just caching the home page. It’s also caching the About page, the Contact page, the Terms and Conditions page, and a lot more. So it needs a mapping from page URL to page data.

When you visit a page on Facebook, it first checks whether the page is stored in the hash.

Here it is in code:

Here, you make the server do work only if the URL isn’t in the cache. Before you return the data, though, you save it in the cache. The next time someone requests this URL, you can send the data from the cache instead of making the server do the work.
Like I said earlier, most languages have hash tables. You don’t need to know how to write your own. So, I won’t talk about the internals of hash tables too much. But you still care about performance! To understand the performance of hash tables, you first need to understand what collisions are. The next two sections cover collisions and performance.
First, I’ve been telling you a white lie. I told you that a hash function always maps different keys to different slots in the array.

In reality, it’s almost impossible to write a hash function that does this. Let’s take a simple example. Suppose your array contains 26 slots.

And your hash function is really simple: it assigns a spot in the array alphabetically.


Maybe you can already see the problem. You want to put the price of apples in your hash. You get assigned the first slot.
Then you want to put the price of bananas in the hash. You get assigned the second slot.

Everything is going so well! But now you want to put the price of avocados in your hash. You get assigned the first slot again.

Oh no! Apples have that slot already! What to do? This is called a collision: two keys have been assigned the same slot. This is a problem. If you store the price of avocados at that slot, you’ll overwrite the price of apples. Then the next time someone asks for the price of apples, they will get the price of avocados instead! Collisions are bad, and you need to work around them. There are many different ways to deal with collisions. The simplest one is this: if multiple keys map to the same slot, start a linked list at that slot.

In this example, both “apple” and “avocado” map to the same slot. So you start a linked list at that slot. If you need to know the price of bananas, it’s still quick. If you need to know the price of apples, it’s a little slower. You have to search through this linked list to find “apple”. If the linked list is small, no big deal—you have to search through three or four elements. But suppose you work at a grocery store where you only sell produce that starts with the letter A.

Hey, wait a minute! The entire hash table is totally empty except for one slot. And that slot has a giant linked list! Every single element in this hash table is in the linked list. That’s as bad as putting everything in a linked list to begin with. It’s going to slow down your hash table.
There are two lessons here:
Hash functions are important. A good hash function will give you very few collisions. So how do you pick a good hash function? That’s coming up in the next section!
You started this chapter at the grocery store. You wanted to build something that would give you the prices for produce instantly. Well, hash tables are really fast.

In the average case, hash tables take O(1) for everything. O(1) is called constant time. You haven’t seen constant time before. It doesn’t mean instant. It means the time taken will stay the same, regardless of how big the hash table is. For example, you know that simple search takes linear time.

Binary search is faster—it takes log time:

Looking something up in a hash table takes constant time.

See how it’s a flat line? That means it doesn’t matter whether your hash table has 1 element or 1 billion elements—getting something out of a hash table will take the same amount of time. Actually, you’ve seen constant time before. Getting an item out of an array takes constant time. It doesn’t matter how big your array is; it takes the same amount of time to get an element. In the average case, hash tables are really fast.
In the worst case, a hash table takes O(n)—linear time—for everything, which is really slow. Let’s compare hash tables to arrays and lists.

Look at the average case for hash tables. Hash tables are as fast as arrays at searching (getting a value at an index). And they’re as fast as linked lists at inserts and deletes. It’s the best of both worlds! But in the worst case, hash tables are slow at all of those. So it’s important that you don’t hit worst-case performance with hash tables. And to do that, you need to avoid collisions. To avoid collisions, you need
Before you start this next section, know that this isn’t required reading. I’m going to talk about how to implement a hash table, but you’ll never have to do that yourself. Whatever programming language you use will have an implementation of hash tables built in. You can use the built-in hash table and assume it will have good performance. The next section gives you a peek under the hood.
The load factor of a hash table is easy to calculate.

Hash tables use an array for storage, so you count the number of occupied slots in an array. For example, this hash table has a load factor of ⅖, or 0.4.

What’s the load factor of this hash table?

If you said ⅓, you’re right. Load factor measures how many empty slots remain in your hash table.
Suppose you need to store the price of 100 produce items in your hash table, and your hash table has 100 slots. In the best case, each item will get its own slot.

This hash table has a load factor of 1. What if your hash table has only 50 slots? Then it has a load factor of 2. There’s no way each item will get its own slot, because there aren’t enough slots! Having a load factor greater than 1 means you have more items than slots in your array. Once the load factor starts to grow, you need to add more slots to your hash table. This is called resizing. For example, suppose you have this hash table that is getting pretty full.

You need to resize this hash table. First you create a new array that’s bigger. The rule of thumb is to make an array that is twice the size.

Now you need to re-insert all of those items into this new hash table using the hash function:

This new table has a load factor of ⅜. Much better! With a lower load factor, you’ll have fewer collisions, and your table will perform better. A good rule of thumb is, resize when your load factor is greater than 0.7.
You might be thinking, “This resizing business takes a lot of time!” And you’re right. Resizing is expensive, and you don’t want to resize too often. But averaged out, hash tables take O(1) even with resizing.
A good hash function distributes values in the array evenly.

A bad hash function groups values together and produces a lot of collisions.

What is a good hash function? That’s something you’ll never have to worry about—old men (and women) with big beards sit in dark rooms and worry about that. If you’re really curious, look up the SHA function (there’s a short description of it in the last chapter). You could use that as your hash function.
It’s important for hash functions to have a good distribution. They should map items as broadly as possible. The worst case is a hash function that maps all items to the same slot in the hash table.
Suppose you have these four hash functions that work with strings:
For each of these examples, which hash functions would provide a good distribution? Assume a hash table size of 10 slots.
A phonebook where the keys are names and values are phone numbers. The names are as follows: Esther, Ben, Bob, and Dan.
A mapping from battery size to power. The sizes are A, AA, AAA, and AAAA.
A mapping from book titles to authors. The titles are Maus, Fun Home, and Watchmen.
You’ll almost never have to implement a hash table yourself. The programming language you use should provide an implementation for you. You can use Python’s hash tables and assume that you’ll get the average case performance: constant time.
Hash tables are a powerful data structure because they’re so fast and they let you model data in a different way. You might soon find that you’re using them all the time:


This chapter introduces graphs. First, I’ll talk about what graphs are (they don’t involve an X or Y axis). Then I’ll show you your first graph algorithm. It’s called breadth-first search (BFS).
Breadth-first search allows you to find the shortest distance between two things. But shortest distance can mean a lot of things! You can use breadth-first search to
Graph algorithms are some of the most useful algorithms I know. Make sure you read the next few chapters carefully—these are algorithms you’ll be able to apply again and again.

Suppose you’re in San Francisco, and you want to go from Twin Peaks to the Golden Gate Bridge. You want to get there by bus, with the minimum number of transfers. Here are your options.

What’s your algorithm to find the path with the fewest steps?
Well, can you get there in one step? Here are all the places you can get to in one step.

The bridge isn’t highlighted; you can’t get there in one step. Can you get there in two steps?

Again, the bridge isn’t there, so you can’t get to the bridge in two steps. What about three steps?

Aha! Now the Golden Gate Bridge shows up. So it takes three steps to get from Twin Peaks to the bridge using this route.

There are other routes that will get you to the bridge too, but they’re longer (four steps). The algorithm found that the shortest route to the bridge is three steps long. This type of problem is called a shortest-path problem. You’re always trying to find the shortest something. It could be the shortest route to your friend’s house. It could be the smallest number of moves to checkmate in a game of chess. The algorithm to solve a shortest-path problem is called breadth-first search.
To figure out how to get from Twin Peaks to the Golden Gate Bridge, there are two steps:
1. Model the problem as a graph.
2. Solve the problem using breadth-first search.
Next I’ll cover what graphs are. Then I’ll go into breadth-first search in more detail.

A graph models a set of connections. For example, suppose you and your friends are playing poker, and you want to model who owes whom money. Here’s how you could say, “Alex owes Rama money.”

The full graph could look something like this.

Graph of people who owe other people poker money
Alex owes Rama money, Tom owes Adit money, and so on. Each graph is made up of nodes and edges.

That’s all there is to it! Graphs are made up of nodes and edges. A node can be directly connected to many other nodes. Those nodes are called its neighbors. In this graph, Rama is Alex’s neighbor. Adit isn’t Alex’s neighbor, because they aren’t directly connected. But Adit is Rama’s and Tom’s neighbor.
Graphs are a way to model how different things are connected to one another. Now let’s see breadth-first search in action.
We looked at a search algorithm in chapter 1: binary search. Breadth-first search is a different kind of search algorithm: one that runs on graphs. It can help answer two types of questions:
You already saw breadth-first search once, when you calculated the shortest route from Twin Peaks to the Golden Gate Bridge. That was a question of type 2: “What is the shortest path?” Now let’s look at the algorithm in more detail. You’ll ask a question of type 1: “Is there a path?”

Suppose you’re the proud owner of a mango farm. You’re looking for a mango seller who can sell your mangoes. Are you connected to a mango seller on Facebook? Well, you can search through your friends.

This search is pretty straightforward. First, make a list of friends to search.

Now, go to each person in the list and check whether that person sells mangoes.

Suppose none of your friends are mango sellers. Now you have to search through your friends’ friends.

Each time you search for someone from the list, add all of their friends to the list.

This way, you not only search your friends, but you search their friends, too. Remember, the goal is to find one mango seller in your network. So if Alice isn’t a mango seller, you add her friends to the list, too. That means you’ll eventually search her friends—and then their friends, and so on. With this algorithm, you’ll search your entire network until you come across a mango seller. This algorithm is breadth-first search.
As a recap, these are the two questions that breadth-first search can answer for you:
You saw how to answer question 1; now let’s try to answer question 2. Can you find the closest mango seller? For example, your friends are first-degree connections, and their friends are second-degree connections.

You’d prefer a first-degree connection to a second-degree connection, and a second-degree connection to a third-degree connection, and so on. So you shouldn’t search any second-degree connections before you make sure you don’t have a first-degree connection who is a mango seller. Well, breadth-first search already does this! The way breadth-first search works, the search radiates out from the starting point. So you’ll check first-degree connections before second-degree connections. Pop quiz: who will be checked first, Claire or Anuj? Answer: Claire is a first-degree connection, and Anuj is a second-degree connection. So Claire will be checked before Anuj.

Another way to see this is, first-degree connections are added to the search list before second-degree connections.
You just go down the list and check people to see whether each one is a mango seller. The first-degree connections will be searched before the second-degree connections, so you’ll find the mango seller closest to you. Breadth-first search not only finds a path from A to B, it also finds the shortest path.
Notice that this only works if you search people in the same order in which they’re added. That is, if Claire was added to the list before Anuj, Claire needs to be searched before Anuj. What happens if you search Anuj before Claire, and they’re both mango sellers? Well, Anuj is a second-degree contact, and Claire is a first-degree contact. You end up with a mango seller who isn’t the closest to you in your network. So you need to search people in the order that they’re added. There’s a data structure for this: it’s called a queue.

A queue works exactly like it does in real life. Suppose you and your friend are queueing up at the bus stop. If you’re before him in the queue, you get on the bus first. A queue works the same way. Queues are similar to stacks. You can’t access random elements in the queue. Instead, there are two only operations, enqueue and dequeue.

If you enqueue two items to the list, the first item you added will be dequeued before the second item. You can use this for your search list! People who are added to the list first will be dequeued and searched first.
The queue is called a FIFO data structure: First In, First Out. In contrast, a stack is a LIFO data structure: Last In, First Out.

Now that you know how a queue works, let’s implement breadth-first search!
Run the breadth-first search algorithm on each of these graphs to find the solution.
Find the length of the shortest path from start to finish.
Find the length of the shortest path from “cab” to “bat”.
First, you need to implement the graph in code. A graph consists of several nodes.

And each node is connected to neighboring nodes. How do you express a relationship like “you -> bob”? Luckily, you know a data structure that lets you express relationships: a hash table!
Remember, a hash table allows you to map a key to a value. In this case, you want to map a node to all of its neighbors.

Here’s how you’d write it in Python:
graph = {}
graph["you"] = ["alice", "bob", "claire"]
Notice that “you” is mapped to an array. So graph["you"] will give you an array of all the neighbors of “you”.
A graph is just a bunch of nodes and edges, so this is all you need to have a graph in Python. What about a bigger graph, like this one?

graph = {}
graph["you"] = ["alice", "bob", "claire"]
graph["bob"] = ["anuj", "peggy"]
graph["alice"] = ["peggy"]
graph["claire"] = ["thom", "jonny"]
graph["anuj"] = []
graph["peggy"] = []
graph["thom"] = []
graph["jonny"] = []
Pop quiz: does it matter what order you add the key/value pairs in? Does it matter if you write
graph["claire"] = ["thom", "jonny"] graph["anuj"] = []
instead of
graph["anuj"] = [] graph["claire"] = ["thom", "jonny"]
Think back to the previous chapter. Answer: It doesn’t matter. Hash tables have no ordering, so it doesn’t matter what order you add key/value pairs in.
Anuj, Peggy, Thom, and Jonny don’t have any neighbors. They have arrows pointing to them, but no arrows from them to someone else. This is called a directed graph—the relationship is only one way. So Anuj is Bob’s neighbor, but Bob isn’t Anuj’s neighbor. An undirected graph doesn’t have any arrows, and both nodes are each other’s neighbors. For example, both of these graphs are equal.

To recap, here’s how the implementation will work.

When updating queues, I use the terms enqueue and dequeue. You’ll also encounter the terms push and pop. Push is almost always the same thing as enqueue, and pop is almost always the same thing as dequeue.
Make a queue to start. In Python, you use the double-ended queue (deque) function for this:

Remember, graph["you"] will give you a list of all your neighbors, like ["alice", "bob", "claire"]. Those all get added to the search queue.


One final thing: you still need a person_is_seller function to tell you when someone is a mango seller. Here’s one:
def person_is_seller(name):
return name[-1] == 'm'
This function checks whether the person’s name ends with the letter m. If it does, they’re a mango seller. Kind of a silly way to do it, but it’ll do for this example. Now let’s see the breadth-first search in action.

And so on. The algorithm will keep going until either
Alice and Bob share a friend: Peggy. So Peggy will be added to the queue twice: once when you add Alice’s friends, and again when you add Bob’s friends. You’ll end up with two Peggys in the search queue.

But you only need to check Peggy once to see whether she’s a mango seller. If you check her twice, you’re doing unnecessary, extra work. So once you search a person, you should mark that person as searched and not search them again.
If you don’t do this, you could also end up in an infinite loop. Suppose the mango seller graph looked like this.

To start, the search queue contains all of your neighbors.

Now you check Peggy. She isn’t a mango seller, so you add all of her neighbors to the search queue.

Next, you check yourself. You’re not a mango seller, so you add all of your neighbors to the search queue.

And so on. This will be an infinite loop, because the search queue will keep going from you to Peggy.

Before checking a person, it’s important to make sure they haven’t been checked already. To do that, you’ll keep a list of people you’ve already checked.

Here’s the final code for breadth-first search, taking that into account:

Try running this code yourself. Maybe try changing the person_is_seller function to something more meaningful, and see if it prints what you expect.
If you search your entire network for a mango seller, that means you’ll follow each edge (remember, an edge is the arrow or connection from one person to another). So the running time is at least O(number of edges).
You also keep a queue of every person to search. Adding one person to the queue takes constant time: O(1). Doing this for every person will take O(number of people) total. Breadth-first search takes O(number of people + number of edges), and it’s more commonly written as O(V+E) (V for number of vertices, E for number of edges).
Here’s a small graph of my morning routine.

It tells you that I can’t eat breakfast until I’ve brushed my teeth. So “eat breakfast” depends on “brush teeth”.
On the other hand, showering doesn’t depend on brushing my teeth, because I can shower before I brush my teeth. From this graph, you can make a list of the order in which I need to do my morning routine:
Note that “shower” can be moved around, so this list is also valid:
For these three lists, mark whether each one is valid or invalid.
Here’s a larger graph. Make a valid list for this graph.
You could say that this list is sorted, in a way. If task A depends on task B, task A shows up later in the list. This is called a topological sort, and it’s a way to make an ordered list out of a graph. Suppose you’re planning a wedding and have a large graph full of tasks to do—and you’re not sure where to start. You could topologically sort the graph and get a list of tasks to do, in order.
Suppose you have a family tree.

This is a graph, because you have nodes (the people) and edges. The edges point to the nodes’ parents. But all the edges go down—it wouldn’t make sense for a family tree to have an edge pointing back up! That would be meaningless—your dad can’t be your grandfather’s dad!

This is called a tree. A tree is a special type of graph, where no edges ever point back.
Which of the following graphs are also trees?


In the last chapter, you figured out a way to get from point A to point B.

It’s not necessarily the fastest path. It’s the shortest path, because it has the least number of segments (three segments). But suppose you add travel times to those segments. Now you see that there’s a faster path.

You used breadth-first search in the last chapter. Breadth-first search will find you the path with the fewest segments (the first graph shown here). What if you want the fastest path instead (the second graph)? You can do that fastest with a different algorithm called Dijkstra’s algorithm.
Let’s see how it works with this graph.

Each segment has a travel time in minutes. You’ll use Dijkstra’s algorithm to go from start to finish in the shortest possible time.
If you ran breadth-first search on this graph, you’d get this shortest path.

But that path takes 7 minutes. Let’s see if you can find a path that takes less time! There are four steps to Dijkstra’s algorithm:
1. Find the “cheapest” node. This is the node you can get to in the least amount of time.
2. Update the costs of the neighbors of this node. I’ll explain what I mean by this shortly.
3. Repeat until you’ve done this for every node in the graph.
4. Calculate the final path.
Step 1: Find the cheapest node. You’re standing at the start, wondering if you should go to node A or node B. How long does it take to get to each node?

It takes 6 minutes to get to node A and 2 minutes to get to node B. The rest of the nodes, you don’t know yet.
Because you don’t know how long it takes to get to the finish yet, you put down infinity (you’ll see why soon). Node B is the closest node ... it’s 2 minutes away.

Step 2: Calculate how long it takes to get to all of node B’s neighbors by following an edge from B.

Hey, you just found a shorter path to node A! It used to take 6 minutes to get to node A.

But if you go through node B, there’s a path that only takes 5 minutes!

When you find a shorter path for a neighbor of B, update its cost. In this case, you found
Step 3: Repeat!
Step 1 again: Find the node that takes the least amount of time to get to. You’re done with node B, so node A has the next smallest time estimate.

Step 2 again: Update the costs for node A’s neighbors.

Woo, it takes 6 minutes to get to the finish now!
You’ve run Dijkstra’s algorithm for every node (you don’t need to run it for the finish node). At this point, you know

I’ll save the last step, calculating the final path, for the next section. For now, I’ll just show you what the final path is.

Breadth-first search wouldn’t have found this as the shortest path, because it has three segments. And there’s a way to get from the start to the finish in two segments.

In the last chapter, you used breadth-first search to find the shortest path between two points. Back then, “shortest path” meant the path with the fewest segments. But in Dijkstra’s algorithm, you assign a number or weight to each segment. Then Dijkstra’s algorithm finds the path with the smallest total weight.

To recap, Dijkstra’s algorithm has four steps:
1. Find the cheapest node. This is the node you can get to in the least amount of time.
2. Check whether there’s a cheaper path to the neighbors of this node. If so, update their costs.
3. Repeat until you’ve done this for every node in the graph.
4. Calculate the final path. (Coming up in the next section!)
I want to show you some more examples of Dijkstra’s algorithm in action. But first let me clarify some terminology.
When you work with Dijkstra’s algorithm, each edge in the graph has a number associated with it. These are called weights.

A graph with weights is called a weighted graph. A graph without weights is called an unweighted graph.

To calculate the shortest path in an unweighted graph, use breadth-first search. To calculate the shortest path in a weighted graph, use Dijkstra’s algorithm. Graphs can also have cycles. A cycle looks like this.

It means you can start at a node, travel around, and end up at the same node. Suppose you’re trying to find the shortest path in this graph that has a cycle.

Would it make sense to follow the cycle? Well, you can use the path that avoids the cycle.

Or you can follow the cycle.

You end up at node A either way, but the cycle adds more weight. You could even follow the cycle twice if you wanted.

But every time you follow the cycle, you’re just adding 8 to the total weight. So following the cycle will never give you the shortest path.
Finally, remember our conversation about directed versus undirected graphs from chapter 6?

An undirected graph means that both nodes point to each other. That’s a cycle!

With an undirected graph, each edge adds another cycle. Dijkstra’s algorithm only works with directed acyclic graphs, called DAGs for short.
Enough terminology, let’s look at another example! This is Rama.
Rama is trying to trade a music book for a piano.

“I’ll give you this poster for your book,” says Alex. “It’s a poster of my favorite band, Destroyer. Or I’ll give you this rare LP of Rick Astley for your book and $5 more.” “Ooh, I’ve heard that LP has a really great song,” says Amy. “I’ll trade you my guitar or drum set for the poster or the LP.”

“I’ve been meaning to get into guitar!” exclaims Beethoven. “Hey, I’ll trade you my piano for either of Amy’s things.”
Perfect! With a little bit of money, Rama can trade his way from a piano book to a real piano. Now he just needs to figure out how to spend the least amount of money to make those trades. Let’s graph out what he’s been offered.

In this graph, the nodes are all the items Rama can trade for. The weights on the edges are the amount of money he would have to pay to make the trade. So he can trade the poster for the guitar for $30, or trade the LP for the guitar for $15. How is Rama going to figure out the path from the book to the piano where he spends the least dough? Dijkstra’s algorithm to the rescue! Remember, Dijkstra’s algorithm has four steps. In this example, you’ll do all four steps, so you’ll calculate the final path at the end, too.

Before you start, you need some setup. Make a table of the cost for each node. The cost of a node is how expensive it is to get to.
You’ll keep updating this table as the algorithm goes on. To calculate the final path, you also need a parent column on this table.

I’ll show you how this column works soon. Let’s start the algorithm.
Step 1: Find the cheapest node. In this case, the poster is the cheapest trade, at $0. Is there a cheaper way to trade for the poster? This is a really important point, so think about it. Can you see a series of trades that will get Rama the poster for less than $0? Read on when you’re ready. Answer: No. Because the poster is the cheapest node Rama can get to, there’s no way to make it any cheaper. Here’s a different way to look at it. Suppose you’re traveling from home to work.

If you take the path toward the school, that takes 2 minutes. If you take the path toward the park, that takes 6 minutes. Is there any way you can take the path toward the park, and end up at the school, in less than 2 minutes? It’s impossible, because it takes longer than 2 minutes just to get to the park. On the other hand, can you find a faster path to the park? Yup.

This is the key idea behind Dijkstra’s algorithm: Look at the cheapest node on your graph. There is no cheaper way to get to this node!
Back to the music example. The poster is the cheapest trade.
Step 2: Figure out how long it takes to get to its neighbors (the cost).

You have prices for the bass guitar and the drum set in the table. Their value was set when you went through the poster, so the poster gets set as their parent. That means, to get to the bass guitar, you follow the edge from the poster, and the same for the drums.

Step 1 again: The LP is the next cheapest node at $5.
Step 2 again: Update the values of all of its neighbors.

Hey, you updated the price of both the drums and the guitar! That means it’s cheaper to get to the drums and guitar by following the edge from the LP. So you set the LP as the new parent for both instruments.
The bass guitar is the next cheapest item. Update its neighbors.

Ok, you finally have a price for the piano, by trading the guitar for the piano. So you set the guitar as the parent. Finally, the last node, the drum set.

Rama can get the piano even cheaper by trading the drum set for the piano instead. So the cheapest set of trades will cost Rama $35.
Now, as I promised, you need to figure out the path. So far, you know that the shortest path costs $35, but how do you figure out the path? To start with, look at the parent for piano.

The piano has drums as its parent. That means Rama trades the drums for the piano. So you follow this edge.
Let’s see how you’d follow the edges. Piano has drums as its parent.

And drums has the LP as its parent.

So Rama will trade the LP for the drums. And of course, he’ll trade the book for the LP. By following the parents backward, you now have the complete path.

Here’s the series of trades Rama needs to make.

So far, I’ve been using the term shortest path pretty literally: calculating the shortest path between two locations or between two people. I hope this example showed you that the shortest path doesn’t have to be about physical distance. It can be about minimizing something. In this case, Rama wanted to minimize the amount of money he spent. Thanks, Dijkstra!
In the trading example, Alex offered to trade the book for two items.

Suppose Sarah offers to trade the LP for the poster, and she’ll give Rama an additional $7. It doesn’t cost Rama anything to make this trade; instead, he gets $7 back. How would you show this on the graph?

The edge from the LP to the poster has a negative weight! Rama gets $7 back if he makes that trade. Now Rama has two ways to get to the poster.

So it makes sense to do the second trade—Rama gets $2 back that way! Now, if you remember, Rama can trade the poster for the drums. There are two paths he could take.

The second path costs him $2 less, so he should take that path, right? Well, guess what? If you run Dijkstra’s algorithm on this graph, Rama will take the wrong path. He’ll take the longer path. You can’t use Dijkstra’s algorithm if you have negative-weight edges. Negative-weight edges break the algorithm. Let’s see what happens when you run Dijkstra’s algorithm on this. First, make the table of costs.

Next, find the lowest-cost node, and update the costs for its neighbors. In this case, the poster is the lowest-cost node. So, according to Dijkstra’s algorithm, there is no cheaper way to get to the poster than paying $0 (you know that’s wrong!). Anyway, let’s update the costs for its neighbors.

Ok, the drums have a cost of $35 now.
Let’s get the next-cheapest node that hasn’t already been processed.

Update the costs for its neighbors.

You already processed the poster node, but you’re updating the cost for it. This is a big red flag. Once you process a node, it means there’s no cheaper way to get to that node. But you just found a cheaper way to the poster! Drums doesn’t have any neighbors, so that’s the end of the algorithm. Here are the final costs.

It costs $35 to get to the drums. You know that there’s a path that costs only $33, but Dijkstra’s algorithm didn’t find it. Dijkstra’s algorithm assumed that because you were processing the poster node, there was no faster way to get to that node. That assumption only works if you have no negative-weight edges. So you can’t use negative-weight edges with Dijkstra’s algorithm. If you want to find the shortest path in a graph that has negative-weight edges, there’s an algorithm for that! It’s called the Bellman-Ford algorithm. Bellman-Ford is out of the scope of this book, but you can find some great explanations online.
Let’s see how to implement Dijkstra’s algorithm in code. Here’s the graph I’ll use for the example.

To code this example, you’ll need three hash tables.

You’ll update the costs and parents hash tables as the algorithm progresses. First, you need to implement the graph. You’ll use a hash table like you did in chapter 6:
graph = {}
In the last chapter, you stored all the neighbors of a node in the hash table, like this:
graph["you"] = ["alice", "bob", "claire"]
But this time, you need to store the neighbors and the cost for getting to that neighbor. For example, Start has two neighbors, A and B.

How do you represent the weights of those edges? Why not just use another hash table?
graph["start"] = {}
graph["start"]["a"] = 6
graph["start"]["b"] = 2

So graph["start"] is a hash table. You can get all the neighbors for Start like this:
>>> print graph["start"].keys() ["a", "b"]
There’s an edge from Start to A and an edge from Start to B. What if you want to find the weights of those edges?
>>> print graph["start"]["a"] 2 >>> print graph["start"]["b"] 6
Let’s add the rest of the nodes and their neighbors to the graph:

The full graph hash table looks like this.

Next you need a hash table to store the costs for each node.
The cost of a node is how long it takes to get to that node from the start. You know it takes 2 minutes from Start to node B. You know it takes 6 minutes to get to node A (although you may find a path that takes less time). You don’t know how long it takes to get to the finish. If you don’t know the cost yet, you put down infinity. Can you represent infinity in Python? Turns out, you can:

infinity = float("inf")
Here’s the code to make the costs table:
infinity = float("inf")
costs = {}
costs["a"] = 6
costs["b"] = 2
costs["fin"] = infinity
You also need another hash table for the parents:

Here’s the code to make the hash table for the parents:
parents = {}
parents["a"] = "start"
parents["b"] = "start"
parents["fin"] = None
Finally, you need an array to keep track of all the nodes you’ve already processed, because you don’t need to process a node more than once:
processed = []
That’s all the setup. Now let’s look at the algorithm.

I’ll show you the code first and then walk through it. Here’s the code:

That’s Dijkstra’s algorithm in Python! I’ll show you the code for the function later. First, let’s see this find_lowest_cost_node algorithm code in action.
Find the node with the lowest cost.

Get the cost and neighbors of that node.

Loop through the neighbors.

Each node has a cost. The cost is how long it takes to get to that node from the start. Here, you’re calculating how long it would take to get to node A if you went Start > node B > node A, instead of Start > node A.

Let’s compare those costs.

You found a shorter path to node A! Update the cost.

The new path goes through node B, so set B as the new parent.

Ok, you’re back at the top of the loop. The next neighbor for is the Finish node.

How long does it take to get to the finish if you go through node B?

It takes 7 minutes. The previous cost was infinity minutes, and 7 minutes is less than that.

Set the new cost and the new parent for the Finish node.

Ok, you updated the costs for all the neighbors of node B. Mark it as processed.

Find the next node to process.

Get the cost and neighbors for node A.

Node A only has one neighbor: the Finish node.

Currently it takes 7 minutes to get to the Finish node. How long would it take to get there if you went through node A?

It’s faster to get to Finish from node A! Let’s update the cost and parent.

Once you’ve processed all the nodes, the algorithm is over. I hope the walkthrough helped you understand the algorithm a little better. Finding the lowest-cost node is pretty easy with the find_lowest_cost_node function. Here it is in code:

In each of these graphs, what is the weight of the shortest path from start to finish?


Suppose you have a classroom and want to hold as many classes here as possible. You get a list of classes.

You can’t hold all of these classes in there, because some of them overlap.

You want to hold as many classes as possible in this classroom. How do you pick what set of classes to hold, so that you get the biggest set of classes possible?
Sounds like a hard problem, right? Actually, the algorithm is so easy, it might surprise you. Here’s how it works:
Keep doing this, and you’ll end up with the answer! Let’s try it out. Art ends the soonest, at 10:00 a.m., so that’s one of the classes you pick.

Now you need the next class that starts after 10:00 a.m. and ends the soonest.

English is out because it conflicts with Art, but Math works.
Finally, CS conflicts with Math, but Music works.

So these are the three classes you’ll hold in this classroom.

A lot of people tell me that this algorithm seems easy. It’s too obvious, so it must be wrong. But that’s the beauty of greedy algorithms: they’re easy! A greedy algorithm is simple: at each step, pick the optimal move. In this case, each time you pick a class, you pick the class that ends the soonest. In technical terms: at each step you pick the locally optimal solution, and in the end you’re left with the globally optimal solution. Believe it or not, this simple algorithm finds the optimal solution to this scheduling problem!
Obviously, greedy algorithms don’t always work. But they’re simple to write! Let’s look at another example.

Suppose you’re a greedy thief. You’re in a store with a knapsack, and there are all these items you can steal. But you can only take what you can fit in your knapsack. The knapsack can hold 35 pounds.

You’re trying to maximize the value of the items you put in your knapsack. What algorithm do you use?
Again, the greedy strategy is pretty simple:
Except this time, it doesn’t work! For example, suppose there are three items you can steal.

Your knapsack can hold 35 pounds of items. The stereo system is the most expensive, so you steal that. Now you don’t have space for anything else.

You got $3,000 worth of goods. But wait! If you’d picked the laptop and the guitar instead, you could have had $3,500 worth of loot!

Clearly, the greedy strategy doesn’t give you the optimal solution here. But it gets you pretty close. In the next chapter, I’ll explain how to calculate the correct solution. But if you’re a thief in a shopping center, you don’t care about perfect. “Pretty good” is good enough.
Here’s the takeaway from this second example: sometimes, perfect is the enemy of good. Sometimes all you need is an algorithm that solves the problem pretty well. And that’s where greedy algorithms shine, because they’re simple to write and usually get pretty close.
You work for a furniture company, and you have to ship furniture all over the country. You need to pack your truck with boxes. All the boxes are of different sizes, and you’re trying to maximize the space you use in each truck. How would you pick boxes to maximize space? Come up with a greedy strategy. Will that give you the optimal solution?
You’re going to Europe, and you have seven days to see everything you can. You assign a point value to each item (how much you want to see it) and estimate how long it takes. How can you maximize the point total (seeing all the things you really want to see) during your stay? Come up with a greedy strategy. Will that give you the optimal solution?
Let’s look at one last example. This is an example where greedy algorithms are absolutely necessary.

Suppose you’re starting a radio show. You want to reach listeners in all 50 states. You have to decide what stations to play on to reach all those listeners. It costs money to be on each station, so you’re trying to minimize the number of stations you play on. You have a list of stations.

Each station covers a region, and there’s overlap.

How do you figure out the smallest set of stations you can play on to cover all 50 states? Sounds easy, doesn’t it? Turns out it’s extremely hard. Here’s how to do it:

The problem is, it takes a long time to calculate every possible subset of stations. It takes O(2^n) time, because there are 2^n stations. It’s possible to do if you have a small set of 5 to 10 stations. But with all the examples here, think about what will happen if you have a lot of items. It takes much longer if you have more stations. Suppose you can calculate 10 subsets per second.
There’s no algorithm that solves it fast enough! What can you do?

Greedy algorithms to the rescue! Here’s a greedy algorithm that comes pretty close:
This is called an approximation algorithm. When calculating the exact solution will take too much time, an approximation algorithm will work. Approximation algorithms are judged by
Greedy algorithms are a good choice because not only are they simple to come up with, but that simplicity means they usually run fast, too. In this case, the greedy algorithm runs in O(n^2) time, where n is the number of radio stations.
Let’s see how this problem looks in code.
For this example, I’m going to use a subset of the states and the stations to keep things simple.
First, make a list of the states you want to cover:

I used a set for this. A set is like a list, except that each item can show up only once in a set. Sets can’t have duplicates. For example, suppose you had this list:
>>> arr = [1, 2, 2, 3, 3, 3]
And you converted it to a set:
>>> set(arr) set([1, 2, 3])
1, 2, and 3 all show up just once in a set.

You also need the list of stations that you’re choosing from. I chose to use a hash for this:
stations = {}
stations["kone"] = set(["id", "nv", "ut"])
stations["ktwo"] = set(["wa", "id", "mt"])
stations["kthree"] = set(["or", "nv", "ca"])
stations["kfour"] = set(["nv", "ut"])
stations["kfive"] = set(["ca", "az"])
The keys are station names, and the values are the states they cover. So in this example, the kone station covers Idaho, Nevada, and Utah. All the values are sets, too. Making everything a set will make your life easier, as you’ll see soon.
Finally, you need something to hold the final set of stations you’ll use:
final_stations = set()
Now you need to calculate what stations you’ll use. Take a look at the image at right, and see if you can predict what stations you should use.

There can be more than one correct solution. You need to go through every station and pick the one that covers the most uncovered states. I’ll call this best_station:
best_station = None states_covered = set() for station, states_for_station in stations.items():
states_covered is a set of all the states this station covers that haven’t been covered yet. The for loop allows you to loop over every station to see which one is the best station. Let’s look at the body of the for loop:

There’s a funny-looking line here:
covered = states_needed & states_for_station
What’s going on?
Suppose you have a set of fruits.

You also have a set of vegetables.

When you have two sets, you can do some fun things with them.
Here are some things you can do with sets.

For example:

Let’s get back to the original example.
This is a set intersection:
covered = states_needed & states_for_station
covered is a set of states that were in both states_needed and states_for_station. So covered is the set of uncovered states that this station covers! Next you check whether this station covers more states than the current best_station:
if len(covered) > len(states_covered): best_station = station states_covered = covered

If so, this station is the new best_station. Finally, after the for loop is over, you add best_station to the final list of stations:
final_stations.add(best_station)
You also need to update states_needed. Because this station covers some states, those states aren’t needed anymore:
states_needed -= states_covered
And you loop until states_needed is empty. Here’s the full code for the loop:
while states_needed:
best_station = None
states_covered = set()
for station, states in stations.items():
covered = states_needed & states
if len(covered) > len(states_covered):
best_station = station
states_covered = covered
states_needed -= states_covered
final_stations.add(best_station)
Finally, you can print final_stations, and you should see this:
>>> print final_stations set(['ktwo', 'kthree', 'kone', 'kfive'])
Is that what you expected? Instead of stations 1, 2, 3, and 5, you could have chosen stations 2, 3, 4, and 5. Let’s compare the run time of the greedy algorithm to the exact algorithm.

For each of these algorithms, say whether it’s a greedy algorithm or not.
Quicksort
Breadth-first search
Dijkstra’s algorithm
To solve the set-covering problem, you had to calculate every possible set.

Maybe you were reminded of the traveling salesperson problem from chapter 1. In this problem, a salesperson has to visit five different cities.

And he’s trying to figure out the shortest route that will take him to all five cities. To find the shortest route, you first have to calculate every possible route.

How many routes do you have to calculate for five cities?
Let’s start small. Suppose you only have two cities. There are two routes to choose from.

You may think this should be the same route. After all, isn’t SF > Marin the same distance as Marin > SF? Not necessarily. Some cities (like San Francisco) have a lot of one-way streets, so you can’t go back the way you came. You might also have to go 1 or 2 miles out of the way to find an on-ramp to a highway. So these two routes aren’t necessarily the same.
You may be wondering, “In the traveling salesperson problem, is there a specific city you need to start from?” For example, let’s say I’m the traveling salesperson. I live in San Francisco, and I need to go to four other cities. San Francisco would be my start city.
But sometimes the start city isn’t set. Suppose you’re FedEx, trying to deliver a package to the Bay Area. The package is being flown in from Chicago to one of 50 FedEx locations in the Bay Area. Then that package will go on a truck that will travel to different locations delivering packages. Which location should it get flown to? Here the start location is unknown. It’s up to you to compute the optimal path and start location for the traveling salesperson.
The running time for both versions is the same. But it’s an easier example if there’s no defined start city, so I’ll go with that version.
Two cities = two possible routes.
Now suppose you add one more city. How many possible routes are there?
If you start at Berkeley, you have two more cities to visit.

There are six total routes, two for each city you can start at.

So three cities = six possible routes.
Let’s add another city, Fremont. Now suppose you start at Fremont.

There are six possible routes starting from Fremont. And hey! They look a lot like the six routes you calculated earlier, when you had only three cities. Except now all the routes have an additional city, Fremont! There’s a pattern here. Suppose you have four cities, and you pick a start city, Fremont. There are three cities left. And you know that if there are three cities, there are six different routes for getting between those cities. If you start at Fremont, there are six possible routes. You could also start at one of the other cities.

Four possible start cities, with six possible routes for each start city = 4 * 6 = 24 possible routes.
Do you see a pattern? Every time you add a new city, you’re increasing the number of routes you have to calculate.

How many possible routes are there for six cities? If you guessed 720, you’re right. 5,040 for 7 cities, 40,320 for 8 cities.
This is called the factorial function (remember reading about this in chapter 3?). So 5! = 120. Suppose you have 10 cities. How many possible routes are there? 10! = 3,628,800. You have to calculate over 3 million possible routes for 10 cities. As you can see, the number of possible routes becomes big very fast! This is why it’s impossible to compute the “correct” solution for the traveling-salesperson problem if you have a large number of cities.
The traveling-salesperson problem and the set-covering problem both have something in common: you calculate every possible solution and pick the smallest/shortest one. Both of these problems are NP-complete.
What’s a good approximation algorithm for the traveling salesperson? Something simple that finds a short path. See if you can come up with an answer before reading on.
Here’s how I would do it: arbitrarily pick a start city. Then, each time the salesperson has to pick the next city to visit, they pick the closest unvisited city. Suppose they start in Marin.

Total distance: 71 miles. Maybe it’s not the shortest path, but it’s still pretty short.
Here’s the short explanation of NP-completeness: some problems are famously hard to solve. The traveling salesperson and the set-covering problem are two examples. A lot of smart people think that it’s not possible to write an algorithm that will solve these problems quickly.
Jonah is picking players for his fantasy football team. He has a list of abilities he wants: good quarterback, good running back, good in rain, good under pressure, and so on. He has a list of players, where each player fulfills some abilities.


Jonah needs a team that fulfills all his abilities, and the team size is limited. “Wait a second,” Jonah realizes. “This is a set-covering problem!”

Jonah can use the same approximation algorithm to create his team:
NP-complete problems show up everywhere! It’s nice to know if the problem you’re trying to solve is NP-complete. At that point, you can stop trying to solve it perfectly, and solve it using an approximation algorithm instead. But it’s hard to tell if a problem you’re working on is NP-complete. Usually there’s a very small difference between a problem that’s easy to solve and an NP-complete problem. For example, in the previous chapters, I talked a lot about shortest paths. You know how to calculate the shortest way to get from point A to point B.

But if you want to find the shortest path that connects several points, that’s the traveling-salesperson problem, which is NP-complete. The short answer: there’s no easy way to tell if the problem you’re working on is NP-complete. Here are some giveaways:
A postman needs to deliver to 20 homes. He needs to find the shortest route that goes to all 20 homes. Is this an NP-complete problem?
Finding the largest clique in a set of people (a clique is a set of people who all know each other). Is this an NP-complete problem?
You’re making a map of the USA, and you need to color adjacent states with different colors. You have to find the minimum number of colors you need so that no two adjacent states are the same color. Is this an NP-complete problem?


Let’s revisit the knapsack problem from chapter 8. You’re a thief with a knapsack that can carry 4 lb of goods.
You have three items that you can put into the knapsack.

What items should you steal so that you steal the maximum money’s worth of goods?
The simplest algorithm is this: you try every possible set of goods and find the set that gives you the most value.

This works, but it’s really slow. For 3 items, you have to calculate 8 possible sets. For 4 items, you have to calculate 16 sets. With every item you add, the number of sets you have to calculate doubles! This algorithm takes O(2^n) time, which is very, very slow.

That’s impractical for any reasonable number of goods. In chapter 8, you saw how to calculate an approximate solution. That solution will be close to the optimal solution, but it may not be the optimal solution.
So how do you calculate the optimal solution?
Answer: With dynamic programming! Let’s see how the dynamic-programming algorithm works here. Dynamic programming starts by solving subproblems and builds up to solving the big problem.
For the knapsack problem, you’ll start by solving the problem for smaller knapsacks (or “sub-knapsacks”) and then work up to solving the original problem.

Dynamic programming is a hard concept, so don’t worry if you don’t get it right away. We’re going to look at a lot of examples.
I’ll start by showing you the algorithm in action first. After you’ve seen it in action once, you’ll have a lot of questions! I’ll do my best to address every question.
Every dynamic-programming algorithm starts with a grid. Here’s a grid for the knapsack problem.

The rows of the grid are the items, and the columns are knapsack weights from 1 lb to 4 lb. You need all of those columns because they will help you calculate the values of the sub-knapsacks.
The grid starts out empty. You’re going to fill in each cell of the grid. Once the grid is filled in, you’ll have your answer to this problem! Please follow along. Make your own grid, and we’ll fill it out together.
I’ll show you the exact formula for calculating this grid later. Let’s do a walkthrough first. Start with the first row.

This is the guitar row, which means you’re trying to fit the guitar into the knapsack. At each cell, there’s a simple decision: do you steal the guitar or not? Remember, you’re trying to find the set of items to steal that will give you the most value.
The first cell has a knapsack of capacity 1 lb. The guitar is also 1 lb, which means it fits into the knapsack! So the value of this cell is $1,500, and it contains a guitar.
Let’s start filling in the grid.

Like this, each cell in the grid will contain a list of all the items that fit into the knapsack at that point.
Let’s look at the next cell. Here you have a knapsack of capacity 2 lb. Well, the guitar will definitely fit in there!

The same for the rest of the cells in this row. Remember, this is the first row, so you have only the guitar to choose from. You’re pretending that the other two items aren’t available to steal right now.

At this point, you’re probably confused. Why are you doing this for knapsacks with a capacity of 1 lb, 2 lb, and so on, when the problem talks about a 4 lb knapsack? Remember how I told you that dynamic programming starts with a small problem and builds up to the big problem? You’re solving subproblems here that will help you to solve the big problem. Read on, and things will become clearer.
At this point, your grid should look like this.

Remember, you’re trying to maximize the value of the knapsack. This row represents the current best guess for this max. So right now, according to this row, if you had a knapsack of capacity 4 lb, the max value you could put in there would be $1,500.

You know that’s not the final solution. As we go through the algorithm, you’ll refine your estimate.
Let’s do the next row. This one is for the stereo. Now that you’re on the second row, you can steal the stereo or the guitar. At every row, you can steal the item at that row or the items in the rows above it. So you can’t choose to steal the laptop right now, but you can steal the stereo and/or the guitar. Let’s start with the first cell, a knapsack of capacity 1 lb. The current max value you can fit into a knapsack of 1 lb is $1,500.

Should you steal the stereo or not?
You have a knapsack of capacity 1 lb. Will the stereo fit in there? Nope, it’s too heavy! Because you can’t fit the stereo, $1,500 remains the max guess for a 1 lb knapsack.

Same thing for the next two cells. These knapsacks have a capacity of 2 lb and 3 lb. The old max value for both was $1,500.

The stereo still doesn’t fit, so your guesses remain unchanged.
What if you have a knapsack of capacity 4 lb? Aha: the stereo finally fits! The old max value was $1,500, but if you put the stereo in there instead, the value is $3,000! Let’s take the stereo.

You just updated your estimate! If you have a 4 lb knapsack, you can fit at least $3,000 worth of goods in it. You can see from the grid that you’re incrementally updating your estimate.

Let’s do the same thing with the laptop! The laptop weighs 3 lb, so it won’t fit into a 1 lb or a 2 lb knapsack. The estimate for the first two cells stays at $1,500.

At 3 lb, the old estimate was $1,500. But you can choose the laptop instead, and that’s worth $2,000. So the new max estimate is $2,000!

At 4 lb, things get really interesting. This is an important part. The current estimate is $3,000. You can put the laptop in the knapsack, but it’s only worth $2,000.

Hmm, that’s not as good as the old estimate. But wait! The laptop weighs only 3 lb, so you have 1 lb free! You could put something in this 1 lb.

What’s the maximum value you can fit into 1 lb of space? Well, you’ve been calculating it all along.

According to the last best estimate, you can fit the guitar into that 1 lb space, and that’s worth $1,500. So the real comparison is as follows.

You might have been wondering why you were calculating max values for smaller knapsacks. I hope now it makes sense! When you have space left over, you can use the answers to those subproblems to figure out what will fit in that space. It’s better to take the laptop + the guitar for $3,500.
The final grid looks like this.

There’s the answer: the maximum value that will fit in the knapsack is $3,500, made up of a guitar and a laptop!
Maybe you think that I used a different formula to calculate the value of that last cell. That’s because I skipped some unnecessary complexity when filling in the values of the earlier cells. Each cell’s value gets calculated with the same formula. Here it is.

You can use this formula with every cell in this grid, and you should end up with the same grid I did. Remember how I talked about solving subproblems? You combined the solutions to two subproblems to solve the bigger problem.

Maybe this still feels like magic. This section answers some common questions.

Suppose you realize there’s a fourth item you can steal that you didn’t notice before! You can also steal an iPhone.
Do you have to recalculate everything to account for this new item? Nope. Remember, dynamic programming keeps progressively building on your estimate. So far, these are the max values.

That means for a 4 lb knapsack, you can steal $3,500 worth of goods. You thought that was the final max value. But let’s add a row for the iPhone.

Turns out you have a new max value! Try to fill in this new row before reading on.
Let’s start with the first cell. The iPhone fits into the 1 lb knapsack. The old max was $1,500, but the iPhone is worth $2,000. Let’s take the iPhone instead.

In the next cell, you can fit the iPhone and the guitar.

For cell 3, you can’t do better than take the iPhone and the guitar again, so leave it as is.
For the last cell, things get interesting. The current max is $3,500. You can steal the iPhone instead, and you have 3 lb of space left over.

Those 3 lb are worth $2,000! $2,000 from the iPhone + $2,000 from the old subproblem: that’s $4,000. A new max!
Here’s the new final grid.

Question: Would the value of a column ever go down? Is this possible?

Think of an answer before reading on.
Answer: No. At every iteration, you’re storing the current max estimate. The estimate can never get worse than it was before!
Suppose you can steal another item: an MP3 player. It weighs 1 lb and is worth $1,000. Should you steal it?
Does the answer change? Suppose you fill the rows in this order: stereo, laptop, guitar. What does the grid look like? Fill out the grid for yourself before moving on.
Here’s what the grid looks like.

The answer doesn’t change. The order of the rows doesn’t matter.
Try it for yourself! For this problem, it doesn’t make a difference. It could make a difference for other problems.
Suppose you can steal a necklace. It weighs 0.5 lb, and it’s worth $1,000. So far, your grid assumes that all weights are integers. Now you decide to steal the necklace. You have 3.5 lb left over. What’s the max value you can fit in 3.5 lb? You don’t know! You only calculated values for 1 lb, 2 lb, 3 lb, and 4 lb knapsacks. You need to know the value of a 3.5 lb knapsack.
Because of the necklace, you have to account for finer granularity, so the grid has to change.

Suppose you’re a thief in a grocery store. You can steal bags of lentils and rice. If a whole bag doesn’t fit, you can open it and take as much as you can carry. So now it’s not all or nothing—you can take a fraction of an item. How do you handle this using dynamic programming?
Answer: You can’t. With the dynamic-programming solution, you either take the item or not. There’s no way for it to figure out that you should take half an item.
But this case is also easily solved using a greedy algorithm! First, take as much as you can of the most valuable item. When that runs out, take as much as you can of the next most valuable item, and so on.
For example, suppose you have these items to choose from.

Quinoa is more expensive per pound than anything else. So, take all the quinoa you can carry! If that fills your knapsack, that’s the best you can do.
If the quinoa runs out and you still have space in your knapsack, take the next most valuable item, and so on.

Suppose you’re going to London for a nice vacation. You have two days there and a lot of things you want to do. You can’t do everything, so you make a list.

For each thing you want to see, you write down how long it will take and rate how much you want to see it. Can you figure out what you should see, based on this list?
It’s the knapsack problem again! Instead of a knapsack, you have a limited amount of time. And instead of stereos and laptops, you have a list of places you want to go. Draw the dynamic-programming grid for this list before moving on.
Here’s what the grid looks like.

Did you get it right? Fill in the grid. What places should you end up seeing? Here’s the answer.

Suppose you want to go to Paris, so you add a couple of items on the list.

These places take a lot of time, because first you have to travel from London to Paris. That takes half a day. If you want to do all three items, it will take four and a half days.
Wait, that’s not right. You don’t have to travel to Paris for each item. Once you’re in Paris, each item should only take a day. So it should be one day per item + half a day of travel = 3.5 days, not 4.5 days.
If you put the Eiffel Tower in your knapsack, then the Louvre becomes “cheaper”—it will only cost you a day instead of 1.5 days. How do you model this in dynamic programming?
You can’t. Dynamic programming is powerful because it can solve subproblems and use those answers to solve the big problem. Dynamic programming only works when each subproblem is discrete—when it doesn’t depend on other subproblems. That means there’s no way to account for Paris using the dynamic-programming algorithm.
It’s possible that the best solution involves stealing more than two items. The way the algorithm is set up, you’re combining two knapsacks at most—you’ll never have more than two sub-knapsacks. But it’s possible for those sub-knapsacks to have their own sub-knapsacks.

Yes. Suppose you could also steal a diamond.

This is a big diamond: it weighs 3.5 pounds. It’s worth a million dollars, way more than anything else. You should definitely steal it! But there’s half a pound of space left, and nothing will fit in that space.
Suppose you’re going camping. You have a knapsack that will hold 6 lb, and you can take the following items. Each has a value, and the higher the value, the more important the item is:
- Water, 3 lb, 10
- Book, 1 lb, 3
- Food, 2 lb, 9
- Jacket, 2 lb, 5
- Camera, 1 lb, 6
What’s the optimal set of items to take on your camping trip?

You’ve seen one dynamic programming problem so far. What are the takeaways?
It can be hard to come up with a dynamic-programming solution. That’s what we’ll focus on in this section. Some general tips follow:
Let’s look at another example. Suppose you run dictionary.com. Someone types in a word, and you give them the definition.

But if someone misspells a word, you want to be able to guess what word they meant. Alex is searching for fish, but he accidentally put in hish. That’s not a word in your dictionary, but you have a list of words that are similar.

(This is a toy example, so you’ll limit your list to two words. In reality, this list would probably be thousands of words.)
Alex typed hish. Which word did Alex mean to type: fish or vista?
What does the grid for this problem look like? You need to answer these questions:
In dynamic programming, you’re trying to maximize something. In this case, you’re trying to find the longest substring that two words have in common. What substring do hish and fish have in common? How about hish and vista? That’s what you want to calculate.
Remember, the values for the cells are usually what you’re trying to optimize. In this case, the values will probably be a number: the length of the longest substring that the two strings have in common.
How do you divide this problem into subproblems? You could compare substrings. Instead of comparing hish and fish, you could compare his and fis first. Each cell will contain the length of the longest substring that two substrings have in common. This also gives you a clue that the axes will probably be the two words. So the grid probably looks like this.

If this seems like black magic to you, don’t worry. This is hard stuff—that’s why I’m teaching it so late in the book! Later, I’ll give you an exercise so you can practice dynamic programming yourself.
Now you have a good idea of what the grid should look like. What’s the formula for filling in each cell of the grid? You can cheat a little, because you already know what the solution should be—hish and fish have a substring of length 3 in common: ish.
But that still doesn’t tell you the formula to use. Computer scientists sometimes joke about using the Feynman algorithm. The Feynman algorithm is named after the famous physicist Richard Feynman, and it works like this:

Computer scientists are a fun bunch!
The truth is, there’s no easy way to calculate the formula here. You have to experiment and try to find something that works. Sometimes algorithms aren’t an exact recipe. They’re a framework that you build your idea on top of.
Try to come up with a solution to this problem yourself. I’ll give you a hint—part of the grid looks like this.

What are the other values? Remember that each cell is the value of a subproblem. Why does cell (3, 3) have a value of 2? Why does cell (3, 4) have a value of 0?
Read on after you’ve tried to come up with a formula yourself. Even if you don’t get it right, my explanation will make a lot more sense.

Here’s my formula for filling in each cell.

Here’s how the formula looks in pseudocode:

Here’s the grid for hish vs. vista.

One thing to note: for this problem, the final solution may not be in the last cell! For the knapsack problem, this last cell always had the final solution. But for the longest common substring, the solution is the largest number in the grid—and it may not be the last cell.
Let’s go back to the original question: which string has more in common with hish? hish and fish have a substring of three letters in common. hish and vista have a substring of two letters in common.
Alex probably meant to type fish.
Suppose Alex accidentally searched for fosh. Which word did he mean: fish or fort?
Let’s compare them using the longest-common-substring formula.

They’re both the same: two letters! But fosh is closer to fish.

You’re comparing the longest common substring, but you really need to compare the longest common subsequence: the number of letters in a sequence that the two words have in common. How do you calculate the longest common subsequence?
Here’s the partial grid for fish and fosh.

Can you figure out the formula for this grid? The longest common subsequence is very similar to the longest common substring, and the formulas are pretty similar, too. Try to solve it yourself—I give the answer next.
Here’s the final grid.

Here’s my formula for filling in each cell.

And here it is in pseudocode:

Whew—you did it! This is definitely one of the toughest chapters in the book. So is dynamic programming ever really used? Yes:
Draw and fill in the grid to calculate the longest common substring between blue and clues.

Look at this fruit. Is it an orange or a grapefruit? Well, I know that grapefruits are generally bigger and redder.

My thought process is something like this: I have a graph in my mind.

Generally speaking, the bigger, redder fruit are grapefruits. This fruit is big and red, so it’s probably a grapefruit. But what if you get a fruit like this?

How would you classify this fruit? One way is to look at the neighbors of this spot. Take a look at the three closest neighbors of this spot.

More neighbors are oranges than grapefruit. So this fruit is probably an orange. Congratulations: You just used the k-nearest neighbors (KNN) algorithm for classification! The whole algorithm is pretty simple.

The KNN algorithm is simple but useful! If you’re trying to classify something, you might want to try KNN first. Let’s look at a more real-world example.
Suppose you’re Netflix, and you want to build a movie recommendations system for your users. On a high level, this is similar to the grapefruit problem!
You can plot every user on a graph.

These users are plotted by similarity, so users with similar taste are plotted closer together. Suppose you want to recommend movies for Priyanka. Find the five users closest to her.

Justin, JC, Joey, Lance, and Chris all have similar taste in movies. So whatever movies they like, Priyanka will probably like too!
Once you have this graph, building a recommendations system is easy. If Justin likes a movie, recommend it to Priyanka.

But there’s still a big piece missing. You graphed the users by similarity. How do you figure out how similar two users are?
In the grapefruit example, you compared fruit based on how big they are and how red they are. Size and color are the features you’re comparing. Now suppose you have three fruit. You can extract the features.

Then you can graph the three fruit.

From the graph, you can tell visually that fruits A and B are similar. Let’s measure how close they are. To find the distance between two points, you use the Pythagorean formula.

Here’s the distance between A and B, for example.

The distance between A and B is 1. You can find the rest of the distances, too.

The distance formula confirms what you saw visually: fruits A and B are similar.
Suppose you’re comparing Netflix users, instead. You need some way to graph the users. So, you need to convert each user to a set of coordinates, just as you did for fruit.

Once you can graph users, you can measure the distance between them.
Here’s how you can convert users into a set of numbers. When users sign up for Netflix, have them rate some categories of movies based on how much they like those categories. For each user, you now have a set of ratings!

Priyanka and Justin like Romance and hate Horror. Morpheus likes Action but hates Romance (he hates when a good action movie gets ruined by a cheesy romantic scene). Remember how in oranges versus grapefruit, each fruit was represented by a set of two numbers? Here, each user is represented by a set of five numbers.

A mathematician would say, instead of calculating the distance in two dimensions, you’re now calculating the distance in five dimensions. But the distance formula remains the same.

It just involves a set of five numbers instead of a set of two numbers.
The distance formula is flexible: you could have a set of a million numbers and still use the same old distance formula to find the distance. Maybe you’re wondering, “What does distance mean when you have five numbers?” The distance tells you how similar those sets of numbers are.

Here’s the distance between Priyanka and Justin.
Priyanka and Justin are pretty similar. What’s the difference between Priyanka and Morpheus? Calculate the distance before moving on.
Did you get it right? Priyanka and Morpheus are 24 apart. The distance tells you that Priyanka’s tastes are more like Justin’s than Morpheus’s.
Great! Now recommending movies to Priyanka is easy: if Justin likes a movie, recommend it to Priyanka, and vice versa. You just built a movie recommendations system!
If you’re a Netflix user, Netflix will keep telling you, “Please rate more movies. The more movies you rate, the better your recommendations will be.” Now you know why. The more movies you rate, the more accurately Netflix can see what other users you’re similar to.
In the Netflix example, you calculated the distance between two different users using the distance formula. But not all users rate movies the same way. Suppose you have two users, Yogi and Pinky, who have the same taste in movies. But Yogi rates any movie he likes as a 5, whereas Pinky is choosier and reserves the 5s for only the best. They’re well matched, but according to the distance algorithm, they aren’t neighbors. How would you take their different rating strategies into account?
Suppose Netflix nominates a group of “influencers.” For example, Quentin Tarantino and Wes Anderson are influencers on Netflix, so their ratings count for more than a normal user’s. How would you change the recommendations system so it’s biased toward the ratings of influencers?
Suppose you want to do more than just recommend a movie: you want to guess how Priyanka will rate this movie. Take the five people closest to her.
By the way, I keep talking about the closest five people. There’s nothing

special about the number 5: you could do the closest 2, or 10, or 10,000. That’s why the algorithm is called k-nearest neighbors and not five-nearest neighbors!
Suppose you’re trying to guess a rating for Pitch Perfect. Well, how did Justin, JC, Joey, Lance, and Chris rate it?

You could take the average of their ratings and get 4.2 stars. That’s called regression. These are the two basic things you’ll do with KNN—classification and regression:
Regression is very useful. Suppose you run a small bakery in Berkeley, and you make fresh bread every day. You’re trying to predict how many loaves to make for today. You have a set of features:

And you know how many loaves of bread you’ve sold in the past for different sets of features.

Today is a weekend day with good weather. Based on the data you just saw, how many loaves will you sell? Let’s use KNN, where K = 4. First, figure out the four nearest neighbors for this point.

Here are the distances. A, B, D, and E are the closest.

Take an average of the loaves sold on those days, and you get 218.75. That’s how many loaves you should make for today!
So far, you’ve been using the distance formula to compare the distance between two users. Is this the best formula to use? A common one used in practice is cosine similarity. Suppose two users are similar, but one of them is more conservative in their ratings. They both loved Manmohan Desai’s Amar Akbar Anthony. Paul rated it 5 stars, but Rowan rated it 4 stars. If you keep using the distance formula, these two users might not be each other’s neighbors, even though they have similar taste.
Cosine similarity doesn’t measure the distance between two vectors. Instead, it compares the angles of the two vectors. It’s better at dealing with cases like this. Cosine similarity is out of the scope of this book, but look it up if you use KNN!

To figure out recommendations, you had users rate categories of movies. What if you had them rate pictures of cats instead? Then you’d find users who rated those pictures similarly. This would probably be a worse recommendations engine, because the “features” don’t have a lot to do with taste in movies!
Or suppose you ask users to rate movies so you can give them recommendations—but you only ask them to rate Toy Story, Toy Story 2, and Toy Story 3. This won’t tell you a lot about the users’ movie tastes!
When you’re working with KNN, it’s really important to pick the right features to compare against. Picking the right features means
Do you think ratings are a good way to recommend movies? Maybe I rated The Wire more highly than House Hunters, but I actually spend more time watching House Hunters. How would you improve this Netflix recommendations system?
Going back to the bakery: can you think of two good and two bad features you could have picked for the bakery? Maybe you need to make more loaves after you advertise in the paper. Or maybe you need to make more loaves on Mondays.
There’s no one right answer when it comes to picking good features. You have to think about all the different things you need to consider.
Netflix has millions of users. The earlier example looked at the five closest neighbors for building the recommendations system. Is this too low? Too high?

KNN is a really useful algorithm, and it’s your introduction to the magical world of machine learning! Machine learning is all about making your computer more intelligent. You already saw one example of machine learning: building a recommendations system. Let’s look at some other examples.
OCR stands for optical character recognition. It means you can take a photo of a page of text, and your computer will automatically read the text for you. Google uses OCR to digitize books. How does OCR work? For example, consider this number.

How would you automatically figure out what number this is? You can use KNN for this:
It’s the same problem as oranges versus grapefruit. Generally speaking, OCR algorithms measure lines, points, and curves.

Then, when you get a new character, you can extract the same features from it.
Feature extraction is a lot more complicated in OCR than the fruit example. But it’s important to understand that even complex technologies build on simple ideas, like KNN. You could use the same ideas for speech recognition or face recognition. When you upload a photo to Facebook, sometimes it’s smart enough to tag people in the photo automatically. That’s machine learning in action!
The first step of OCR, where you go through images of numbers and extract features, is called training. Most machine-learning algorithms have a training step: before your computer can do the task, it must be trained. The next example involves spam filters, and it has a training step.
Spam filters use another simple algorithm called the Naive Bayes classifier. First, you train your Naive Bayes classifier on some data.

Suppose you get an email with the subject “collect your million dollars now!” Is it spam? You can break this sentence into words. Then, for each word, see what the probability is for that word to show up in a spam email. For example, in this very simple model, the word million only appears in spam emails. Naive Bayes figures out the probability that something is likely to be spam. It has applications similar to KNN.
For example, you could use Naive Bayes to categorize fruit: you have a fruit that’s big and red. What’s the probability that it’s a grapefruit? It’s another simple algorithm that’s fairly effective. We love those algorithms!

Here’s something that’s hard to do with machine learning: really predicting whether the stock market will go up or down. How do you pick good features in a stock market? Suppose you say that if the stock went up yesterday, it will go up today. Is that a good feature? Or suppose you say that the stock will always go down in May. Will that work? There’s no guaranteed way to use past numbers to predict future performance. Predicting the future is hard, and it’s almost impossible when there are so many variables involved.
I hope this gives you an idea of all the different things you can do with KNN and with machine learning! Machine learning is an interesting field that you can go pretty deep into if you decide to:

Let’s go back to the binary search example. When a user logs in to Facebook, Facebook has to look through a big array to see if the username exists. We said the fastest way to search through this array is to run binary search. But there’s a problem: every time a new user signs up, you insert their username into the array. Then you have to re-sort the array, because binary search only works with sorted arrays. Wouldn’t it be nice if you could insert the username into the right slot in the array right away, so you don’t have to sort the array afterward? That’s the idea behind the binary search tree data structure.

A binary search tree looks like this.

For every node, the nodes to its left are smaller in value, and the nodes to the right are larger in value.

Suppose you’re searching for Maggie. You start at the root node.

Maggie comes after David, so go toward the right.

Maggie comes before Manning, so go to the left.

You found Maggie! It’s almost like running a binary search! Searching for an element in a binary search tree takes O(log n) time on average and O(n) time in the worst case. Searching a sorted array takes O(log n) time in the worst case, so you might think a sorted array is better. But a binary search tree is a lot faster for insertions and deletions on average.

Binary search trees have some downsides too: for one thing, you don’t get random access. You can’t say, “Give me the fifth element of this tree.” Those performance times are also on average and rely on the tree being balanced. Suppose you have an imbalanced tree like the one shown next.

See how it’s leaning to the right? This tree doesn’t have very good performance, because it isn’t balanced. There are special binary search trees that balance themselves. One example is the red-black tree.
So when are binary search trees used? B-trees, a special type of binary tree, are commonly used to store data in databases.
If you’re interested in databases or more-advanced data structures, check these out:
Here’s a very simplified version of how a search engine works. Suppose you have three web pages with this simple content.

Let’s build a hash table from this content.

The keys of the hash table are the words, and the values tell you what pages each word appears on. Now suppose a user searches for hi. Let’s see what pages hi shows up on.

Aha: It appears on pages A and B. Let’s show the user those pages as the result. Or suppose the user searches for there. Well, you know that it shows up on pages A and C. Pretty easy, huh? This is a useful data structure: a hash that maps words to places where they appear. This data structure is called an inverted index, and it’s commonly used to build search engines. If you’re interested in search, this is a good place to start.
The Fourier transform is one of those rare algorithms: brilliant, elegant, and with a million use cases. The best analogy for the Fourier transform comes from Better Explained (a great website that explains math simply): given a smoothie, the Fourier transform will tell you the ingredients in the smoothie.[1] Or, to put it another way, given a song, the transform can separate it into individual frequencies.
Kalid, “An Interactive Guide to the Fourier Transform,” Better Explained, http://mng.bx/874X.
It turns out that this simple idea has a lot of use cases. For example, if you can separate a song into frequencies, you can boost the ones you care about. You could boost the bass and hide the treble. The Fourier transform is great for processing signals. You can also use it to compress music. First you break an audio file down into its ingredient notes. The Fourier transform tells you exactly how much each note contributes to the overall song. So you can just get rid of the notes that aren’t important. That’s how the MP3 format works!
Music isn’t the only type of digital signal. The JPG format is another compressed format, and it works the same way. People use the Fourier transform to try to predict upcoming earthquakes and analyze DNA. You can use it to build an app like Shazam, which guesses what song is playing. The Fourier transform has a lot of uses. Chances are high that you’ll run into it!
The next three topics are about scalability and working with a lot of data. Back in the day, computers kept getting faster and faster. If you wanted to make your algorithm faster, you could wait a few months, and the computers themselves would become faster. But we’re near the end of that period. Instead, laptops and computers ship with multiple cores. To make your algorithms faster, you need to change them to run in parallel across all the cores at once!
Here’s a simple example. The best you can do with a sorting algorithm is roughly O(n log n). It’s well known that you can’t sort an array in O(n) time—unless you use a parallel algorithm! There’s a parallel version of quicksort that will sort an array in O(n) time.
Parallel algorithms are hard to design. And it’s also hard to make sure they work correctly and to figure out what type of speed boost you’ll see. One thing is for sure—the time gains aren’t linear. So if you have two cores in your laptop instead of one, that almost never means your algorithm will magically run twice as fast. There are a couple of reasons for this:
If you’re interested in the theoretical side of performance and scalability, parallel algorithms might be for you!
There’s a special type of parallel algorithm that is becoming increasingly popular: the distributed algorithm. It’s fine to run a parallel algorithm on your laptop if you need two to four cores, but what if you need hundreds of cores? Then you can write your algorithm to run across multiple machines. The MapReduce algorithm is a popular distributed algorithm. You can use it through the popular open source tool Apache Hadoop.
Suppose you have a table with billions or trillions of rows, and you want to run a complicated SQL query on it. You can’t run it on MySQL, because it struggles after a few billion rows. Use MapReduce through Hadoop!
Or suppose you have to process a long list of jobs. Each job takes 10 seconds to process, and you need to process 1 million jobs like this. If you do this on one machine, it will take you months! If you could run it across 100 machines, you might be done in a few days.
Distributed algorithms are great when you have a lot of work to do and want to speed up the time required to do it. MapReduce in particular is built up from two simple ideas: the map function and the reduce function.
The map function is simple: it takes an array and applies the same function to each item in the array. For example, here we’re doubling every item in the array:
>>> arr1 = [1, 2, 3, 4, 5] >>> arr2 = map(lambda x: 2 * x, arr1) [2, 4, 6, 8, 10]

arr2 now contains[2, 4, 6, 8, 10]—every element in arr1 was doubled! Doubling an element is pretty fast. But suppose you apply a function that takes more time to process. Look at this pseudocode:
>>> arr1 = # A list of URLs >>> arr2 = map(download_page, arr1)
Here you have a list of URLs, and you want to download each page and store the contents in arr2. This could take a couple of seconds for each URL. If you had 1,000 URLs, this might take a couple of hours!
Wouldn’t it be great if you had 100 machines, and map could automatically spread out the work across all of them? Then you would be downloading 100 pages at a time, and the work would go a lot faster! This is the idea behind the “map” in MapReduce.
The reduce function confuses people sometimes. The idea is that you “reduce” a whole list of items down to one item. With map, you go from one array to another.

With reduce, you transform an array to a single item.

Here’s an example:
>>> arr1 = [1, 2, 3, 4, 5] >>> reduce(lambda x,y: x+y, arr1) 15
In this case, you sum up all the elements in the array: 1 + 2 + 3 + 4 + 5 = 15! I won’t explain reduce in more detail here, because there are plenty of tutorials online.
MapReduce uses these two simple concepts to run queries about data across multiple machines. When you have a large dataset (billions of rows), MapReduce can give you an answer in minutes where a traditional database might take hours.
Suppose you’re running Reddit. When someone posts a link, you want to see if it’s been posted before. Stories that haven’t been posted before are considered more valuable. So you need to figure out whether this link has been posted before.
Or suppose you’re Google, and you’re crawling web pages. You only want to crawl a web page if you haven’t crawled it already. So you need to figure out whether this page has been crawled before.
Or suppose you’re running bit.ly, which is a URL shortener. You don’t want to redirect users to malicious websites. You have a set of URLs that are considered malicious. Now you need to figure out whether you’re redirecting the user to a URL in that set.
All of these examples have the same problem. You have a very large set.

Now you have a new item, and you want to see whether it belongs in that set. You could do this quickly with a hash. For example, suppose Google has a big hash in which the keys are all the pages it has crawled.

You want to see whether you’ve already crawled adit.io. Look it up in the hash.

adit.io is a key in the hash, so you’ve already crawled it. The average lookup time for hash tables is O(1). adit.io is in the hash, so you’ve already crawled it. You found that out in constant time. Pretty good!
Except that this hash needs to be huge. Google indexes trillions of web pages. If this hash has all the URLs that Google has indexed, it will take up a lot of space. Reddit and bit.ly have the same space problem. When you have so much data, you need to get creative!
Bloom filters offer a solution. Bloom filters are probabilistic data structures. They give you an answer that could be wrong but is probably correct. Instead of a hash, you can ask your bloom filter if you’ve crawled this URL before. A hash table would give you an accurate answer. A bloom filter will give you an answer that’s probably correct:
Bloom filters are great because they take up very little space. A hash table would have to store every URL crawled by Google, but a bloom filter doesn’t have to do that. They’re great when you don’t need an exact answer, as in all of these examples. It’s okay for bit.ly to say, “We think this site might be malicious, so be extra careful.”
Along the same lines is another algorithm called HyperLogLog. Suppose Google wants to count the number of unique searches performed by its users. Or suppose Amazon wants to count the number of unique items that users looked at today. Answering these questions takes a lot of space! With Google, you’d have to keep a log of all the unique searches. When a user searches for something, you have to see whether it’s already in the log. If not, you have to add it to the log. Even for a single day, this log would be massive!
HyperLogLog approximates the number of unique elements in a set. Just like bloom filters, it won’t give you an exact answer, but it comes very close and uses only a fraction of the memory a task like this would otherwise take.
If you have a lot of data and are satisfied with approximate answers, check out probabilistic algorithms!
Do you remember hashing from chapter 5? Just to recap, suppose you have a key, and you want to put the associated value in an array.

You use a hash function to tell you what slot to put the value in.

And you put the value in that slot.

This allows you to do constant-time lookups. When you want to know the value for a key, you can use the hash function again, and it will tell you in O(1) time what slot to check.
In this case, you want the hash function to give you a good distribution. So a hash function takes a string and gives you back the slot number for that string.
Another hash function is a secure hash algorithm (SHA) function. Given a string, SHA gives you a hash for that string.

The terminology can be a little confusing here. SHA is a hash function. It generates a hash, which is just a short string. The hash function for hash tables went from string to array index, whereas SHA goes from string to string.
SHA generates a different hash for every string.

SHA hashes are long. They’ve been truncated here.
You can use SHA to tell whether two files are the same. This is useful when you have very large files. Suppose you have a 4 GB file. You want to check whether your friend has the same large file. You don’t have to try to email them your large file. Instead, you can both calculate the SHA hash and compare it.

SHA is also useful when you want to compare strings without revealing what the original string was. For example, suppose Gmail gets hacked, and the attacker steals all the passwords! Is your password out in the open? No, it isn’t. Google doesn’t store the original password, only the SHA hash of the password! When you type in your password, Google hashes it and checks it against the hash in its database.

So it’s only comparing hashes—it doesn’t have to store your password! SHA is used very commonly to hash passwords like this. It’s a one-way hash. You can get the hash of a string.

But you can’t get the original string from the hash.

That means if an attacker gets the SHA hashes from Gmail, they can’t convert those hashes back to the original passwords! You can convert a password to a hash, but not vice versa.
SHA is actually a family of algorithms: SHA-0, SHA-1, SHA-2, and SHA-3. As of this writing, SHA-0 and SHA-1 have some weaknesses. If you’re using an SHA algorithm for password hashing, use SHA-2 or SHA-3. The gold standard for password-hashing functions is currently bcrypt (though nothing is foolproof).
SHA has another important feature: it’s locality insensitive. Suppose you have a string, and you generate a hash for it.

If you change just one character of the string and regenerate the hash, it’s totally different!

This is good because an attacker can’t compare hashes to see whether they’re close to cracking a password.
Sometimes, you want the opposite: you want a locality-sensitive hash function. That’s where Simhash comes in. If you make a small change to a string, Simhash generates a hash that’s only a little different. This allows you to compare hashes and see how similar two strings are, which is pretty useful!
Simhash is useful when you want to check for similar items.
The Diffie-Hellman algorithm deserves a mention here, because it solves an age-old problem in an elegant way. How do you encrypt a message so it can only be read by the person you sent the message to?
The easiest way is to come up with a cipher, like a = 1, b = 2, and so on. Then if I send you the message “4,15,7”, you can translate it to “d,o,g”. But for this to work, we both have to agree on the cipher. We can’t agree over email, because someone might hack into your email, figure out the cipher, and decode our messages. Heck, even if we meet in person, someone might guess the cipher—it’s not complicated. So we should change it every day. But then we have to meet in person to change it every day!
Even if we did manage to change it every day, a simple cipher like this is easy to crack with a brute-force attack. Suppose I see the message “9,6,13,13,16 24,16,19,13,5”. I’ll guess that this uses a = 1, b = 2, and so on.

That’s gibberish. Let’s try a = 2, b = 3, and so on.

That worked! A simple cipher like this is easy to break. The Germans used a much more complicated cipher in WWII, but it was still cracked. Diffie-Hellman solves both problems:
Diffie-Hellman has two keys: a public key and a private key. The public key is exactly that: public. You can post it on your website, email it to friends, or do anything you want with it. You don’t have to hide it. When someone wants to send you a message, they encrypt it using the public key. An encrypted message can only be decrypted using the private key. As long as you’re the only person with the private key, only you will be able to decrypt this message!
The Diffie-Hellman algorithm is still used in practice, along with its successor, RSA. If you’re interested in cryptography, Diffie-Hellman is a good place to start: it’s elegant and not too hard to follow.
I saved the best for last. Linear programming is one of the coolest things I know.
Linear programming is used to maximize something given some constraints. For example, suppose your company makes two products, shirts and totes. Shirts need 1 meter of fabric and 5 buttons. Totes need 2 meters of fabric and 2 buttons. You have 11 meters of fabric and 20 buttons. You make $2 per shirt and $3 per tote. How many shirts and totes should you make to maximize your profit?
Here you’re trying to maximize profit, and you’re constrained by the amount of materials you have.
Another example: you’re a politician, and you want to maximize the number of votes you get. Your research has shown that it takes an average of an hour of work (marketing, research, and so on) for each vote from a San Franciscan or 1.5 hours/vote from a Chicagoan. You need at least 500 San Franciscans and at least 300 Chicagoans. You have 50 days. It also costs you $2/San Franciscan versus $1/Chicagoan. Your total budget is $1,500. What’s the maximum number of total votes you can get (San Francisco + Chicago)?
Here you’re trying to maximize votes, and you’re constrained by time and money.
You might be thinking, “You’ve talked about a lot of optimization topics in this book. How are they related to linear programming?” All the graph algorithms can be done through linear programming instead. Linear programming is a much more general framework, and graph problems are a subset of that. I hope your mind is blown!
Linear programming uses the Simplex algorithm. It’s a complex algorithm, which is why I didn’t include it in this book. If you’re interested in optimization, look up linear programming!
I hope this quick tour of 10 algorithms showed you how much more is left to discover. I think the best way to learn is to find something you’re interested in and dive in. This book gave you a solid foundation to do just that.

Suppose you have a sorted list of 128 names, and you’re searching through it using binary search. What’s the maximum number of steps it would take?
7.
Suppose you double the size of the list. What’s the maximum number of steps now?
8.
You have a name, and you want to find the person’s phone number in the phone book.
O(log n).
You have a phone number, and you want to find the person’s name in the phone book. (Hint: You’ll have to search through the whole book!)
O(n).
You want to read the numbers of every person in the phone book.
O(n).
You want to read the numbers of just the As.
O(n). You may think, “I’m only doing this for 1 out of 26 characters, so the run time should be O(n/26).” A simple rule to remember is, ignore numbers that are added, subtracted, multiplied, or divided. None of these are correct Big O run times: O(n + 26), O(n - 26), O(n * 26), O(n / 26). They’re all the same as O(n)! Why? If you’re curious, flip to “Big O notation revisited,” in chapter 4, and read up on constants in Big O notation (a constant is just a number; 26 was the constant in this question).
Suppose you’re building an app to keep track of your finances.
Every day, you write down everything you spent money on. At the end of the month, you review your expenses and sum up how much you spent. So, you have lots of inserts and a few reads. Should you use an array or a list?
In this case, you’re adding expenses to the list every day and reading all the expenses once a month. Arrays have fast reads and slow inserts. Linked lists have slow reads and fast inserts. Because you’ll be inserting more often than reading, it makes sense to use a linked list. Also, linked lists have slow reads only if you’re accessing random elements in the list. Because you’re reading every element in the list, linked lists will do well on reads too. So a linked list is a good solution to this problem.
Suppose you’re building an app for restaurants to take customer orders. Your app needs to store a list of orders. Servers keep adding orders to this list, and chefs take orders off the list and make them. It’s an order queue: servers add orders to the back of the queue, and the chef takes the first order off the queue and cooks it.
Would you use an array or a linked list to implement this queue? (Hint: Linked lists are good for inserts/deletes, and arrays are good for random access. Which one are you going to be doing here?)
A linked list. Lots of inserts are happening (servers adding orders), which linked lists excel at. You don’t need search or random access (what arrays excel at), because the chefs always take the first order off the queue.
Let’s run a thought experiment. Suppose Facebook keeps a list of usernames. When someone tries to log in to Facebook, a search is done for their username. If their name is in the list of usernames, they can log in. People log in to Facebook pretty often, so there are a lot of searches through this list of usernames. Suppose Facebook uses binary search to search the list. Binary search needs random access—you need to be able to get to the middle of the list of usernames instantly. Knowing this, would you implement the list as an array or a linked list?
A sorted array. Arrays give you random access—you can get an element from the middle of the array instantly. You can’t do that with linked lists. To get to the middle element in a linked list, you’d have to start at the first element and follow all the links down to the middle element.
People sign up for Facebook pretty often, too. Suppose you decided to use an array to store the list of users. What are the downsides of an array for inserts? In particular, suppose you’re using binary search to search for logins. What happens when you add new users to an array?
Inserting into arrays is slow. Also, if you’re using binary search to search for usernames, the array needs to be sorted. Suppose someone named Adit B signs up for Facebook. Their name will be inserted at the end of the array. So you need to sort the array every time a name is inserted!
In reality, Facebook uses neither an array nor a linked list to store user information. Let’s consider a hybrid data structure: an array of linked lists. You have an array with 26 slots. Each slot points to a linked list. For example, the first slot in the array points to a linked list containing all the usernames starting with a. The second slot points to a linked list containing all the usernames starting with b, and so on.
Suppose Adit B signs up for Facebook, and you want to add them to the list. You go to slot 1 in the array, go to the linked list for slot 1, and add Adit B at the end. Now, suppose you want to search for Zakhir H. You go to slot 26, which points to a linked list of all the Z names. Then you search through that list to find Zakhir H.
Compare this hybrid data structure to arrays and linked lists. Is it slower or faster than each for searching and inserting? You don’t have to give Big O run times, just whether the new data structure would be faster or slower.
Searching—slower than arrays, faster than linked lists. Inserting—faster than arrays, same amount of time as linked lists. So it’s slower for searching than an array, but faster or the same as linked lists for everything. We’ll talk about another hybrid data structure called a hash table later in the book. This should give you an idea of how you can build up more complex data structures from simple ones.
So what does Facebook really use? It probably uses a dozen different databases, with different data structures behind them: hash tables, B-trees, and others. Arrays and linked lists are the building blocks for these more complex data structures.
Suppose I show you a call stack like this.
What information can you give me, just based on this call stack?
Here are some things you could tell me:
- The greet function is called first, with name = maggie.
- Then the greet function calls the greet2 function, with name = maggie.
- At this point, the greet function is in an incomplete, suspended state.
- The current function call is the greet2 function.
- After this function call completes, the greet function will resume.
Suppose you accidentally write a recursive function that runs forever. As you saw, your computer allocates memory on the stack for each function call. What happens to the stack when your recursive function runs forever?
The stack grows forever. Each program has a limited amount of space on the call stack. When your program runs out of space (which it eventually will), it will exit with a stack-overflow error.
Write out the code for the earlier sum function.
def sum(list): if list == []: return 0 return list[0] + sum(list[1:])
Write a recursive function to count the number of items in a list.
def count(list): if list == []: return 0 return 1 + count(list[1:])
Find the maximum number in a list.
def max(list): if len(list) == 2: return list[0] if list[0] > list[1] else list[1] sub_max = max(list[1:]) return list[0] if list[0] > sub_max else sub_max
Remember binary search from chapter 1? It’s a divide-and-conquer algorithm, too. Can you come up with the base case and recursive case for binary search?
The base case for binary search is an array with one item. If the item you’re looking for matches the item in the array, you found it! Otherwise, it isn’t in the array.
In the recursive case for binary search, you split the array in half, throw away one half, and call binary search on the other half.
How long would each of these operations take in Big O notation?
Printing the value of each element in an array.
O(n)
Doubling the value of each element in an array.
O(n)
Doubling the value of just the first element in an array.
O(1)
Creating a multiplication table with all the elements in the array. So if your array is [2, 3, 7, 8, 10], you first multiply every element by 2, then multiply every element by 3, then by 7, and so on.
O(n2)
Which of these hash functions are consistent?
![]()
Consistent
![]()
Not consistent
![]()
Not consistent
![]()
Consistent
Suppose you have these four hash functions that work with strings:
- Return “1” for all input.
- Use the length of the string as the index.
- Use the first character of the string as the index. So, all strings starting with a are hashed together, and so on.
- Map every letter to a prime number: a = 2, b = 3, c = 5, d = 7, e = 11, and so on. For a string, the hash function is the sum of all the characters modulo the size of the hash. For example, if your hash size is 10, and the string is “bag”, the index is 3 + 2 + 17 % 10 = 22 % 10 = 2.
For each of the following examples, which hash functions would provide a good distribution? Assume a hash table size of 10 slots.
A phonebook where the keys are names and values are phone numbers. The names are as follows: Esther, Ben, Bob, and Dan.
Hash functions C and D would give a good distribution.
A mapping from battery size to power. The sizes are A, AA, AAA, and AAAA.
Hash functions B and D would give a good distribution.
A mapping from book titles to authors. The titles are Maus, Fun Home, and Watchmen.
Hash functions B, C, and D would give a good distribution.
Run the breadth-first search algorithm on each of these graphs to find the solution.
Find the length of the shortest path from start to finish.
The shortest path has a length of 2.
Find the length of the shortest path from “cab” to “bat”.
The shortest path has a length of 2.
Here’s a small graph of my morning routine.
For these three lists, mark whether each one is valid or invalid.
A—Invalid; B—Valid; C—Invalid.
Here’s a larger graph. Make a valid list for this graph.
1—Wake up; 2—Exercise; 3—Shower; 4—Brush teeth; 5—Get dressed; 6—Pack lunch; 7—Eat breakfast.
Which of the following graphs are also trees?
A—Tree; B—Not a tree; C—Tree. The last example is just a sideways tree. Trees are a subset of graphs. So a tree is always a graph, but a graph may or may not be a tree.
In each of these graphs, what is the weight of the shortest path from start to finish?
A: A—8; B—60; C—Trick question. No shortest path is possible (negative-weight cycle).
You work for a furniture company, and you have to ship furniture all over the country. You need to pack your truck with boxes. All the boxes are of different sizes, and you’re trying to maximize the space you use in each truck. How would you pick boxes to maximize space? Come up with a greedy strategy. Will that give you the optimal solution?
A greedy strategy would be to pick the largest box that will fit in the remaining space, and repeat until you can’t pack any more boxes. No, this won’t give you the optimal solution.
You’re going to Europe, and you have seven days to see everything you can. You assign a point value to each item (how much you want to see it) and estimate how long it takes. How can you maximize the point total (seeing all the things you really want to see) during your stay? Come up with a greedy strategy. Will that give you the optimal solution?
Keep picking the activity with the highest point value that you can still do in the time you have left. Stop when you can’t do anything else. No, this won’t give you the optimal solution.
For each of these algorithms, say whether it’s a greedy algorithm or not.
Quicksort
No.
Breadth-first search
Yes.
Dijkstra’s algorithm
Yes.
A postman needs to deliver to 20 homes. He needs to find the shortest route that goes to all 20 homes. Is this an NP-complete problem?
Yes.
Finding the largest clique in a set of people (a clique is a set of people who all know each other). Is this an NP-complete problem?
Yes.
You’re making a map of the USA, and you need to color adjacent states with different colors. You have to find the minimum number of colors you need so that no two adjacent states are the same color. Is this an NP-complete problem?
Yes.
Suppose you can steal another item: an MP3 player. It weighs 1 lb and is worth $1,000. Should you steal it?
Yes. Then you could steal the MP3 player, the iPhone, and the guitar, worth a total of $4,500.
Suppose you’re going camping. You have a knapsack that holds 6 lb, and you can take the following items. They each have a value, and the higher the value, the more important the item is:
- Water, 3 lb, 10
- Book, 1 lb, 3
- Food, 2 lb, 9
- Jacket, 2 lb, 5
- Camera, 1 lb, 6
What’s the optimal set of items to take on your camping trip?
You should take water, food, and a camera.
Draw and fill in the grid to calculate the longest common substring between blue and clues.
![]()
In the Netflix example, you calculated distance between two different users using the distance formula. But not all users rate movies the same way. Suppose you have two users, Yogi and Pinky, who have the same taste in movies. But Yogi rates any movie he likes as a 5, whereas Pinky is choosier and reserves the 5s for only the best. They’re well matched, but according to the distance algorithm, they aren’t neighbors. How would you take their different rating strategies into account?
You could use something called normalization. You look at the average rating for each person and use it to scale their ratings. For example, you might notice that Pinky’s average rating is 3, whereas Yogi’s average rating is 3.5. So you bump up Pinky’s ratings a little, until her average rating is 3.5 as well. Then you can compare their ratings on the same scale.
Suppose Netflix nominates a group of “influencers.” For example, Quentin Tarantino and Wes Anderson are influencers on Netflix, so their ratings count for more than a normal user’s. How would you change the recommendations system so it’s biased toward the ratings of influencers?
You could give more weight to the ratings of the influencers when using KNN. Suppose you have three neighbors: Joe, Dave, and Wes Anderson (an influencer). They rated Caddyshack a 3, a 4, and a 5, respectively. Instead of just taking the average of their ratings (3 + 4 + 5 / 3 = 4 stars), you could give Wes Anderson’s rating more weight: 3 + 4 + 5 + 5 + 5 / 5 = 4.4 stars.
Netflix has millions of users. The earlier example looked at the five closest neighbors for building the recommendations system. Is this too low? Too high?
It’s too low. If you look at fewer neighbors, there’s a bigger chance that the results will be skewed. A good rule of thumb is, if you have N users, you should look at sqrt(N) neighbors.
[A][B][C][D][E][F][G][H][I][J][K][L][M][N][O][P][Q][R][S][T][U][W]
adit.io
algorithms
approximation algorithms
calculating answer
code for setup
sets
Bellman-Ford
Big O notation and
common run times
drawing squares example
exercises
growth of run times at different rates
overview
traveling salesperson problem
worst-case run time
binary search
binary search
better way to search
exercises
overview
running time
breadth-first search
breadth-first search
exercise
running time
Dijkstra’s algorithm
Dijkstra’s algorithm
exercise
implementation
negative-weight edges
overview
terminology related to
trading for piano example
distributed, usefulness of
Euclid’s
Feynman
greedy algorithms
greedy algorithms
classroom scheduling problem
exercises
knapsack problem
NP-complete problems
overview
set-covering problem
approximation algorithms
back to code
exercise
overview
HyperLogLog algorithm
k-nearest neighbors algorithm
building recommendations system
classifying oranges vs. grapefruit
exercises
machine learning
MapReduce algorithm
map function
reduce function
parallel
SHA algorithms
SHA algorithms
checking passwords
comparing files
overview
approximation algorithms
calculating answer
code for setup
sets
arrays
deletions and
exercises
insertions and
overview
terminology used with
uses of
base case, 2nd, 3rd
Bellman-Ford algorithm
best_station
Better Explained website
Big O notation
common run times
drawing squares example
exercises
growth of run times at different rates
overview
quicksort and
average case vs. worst case
exercises
merge sort vs. quicksort
overview
traveling salesperson problem
worst-case run time
binary search
binary search
better way to search
exercises
overview
running time
binary search trees
bloom filters
breadth-first search
breadth-first search
graphs and
exercises
finding shortest path
overview
queues
implementing
implementing algorithm
exercise
overview
running time
overview
built-in hash table
bye function
cache, using hash tables as
Caldwell, Leigh
call stack
overview
with recursion
cheapest node, 2nd
classification
classroom scheduling problem
common substring
constants
constant time
covered set
Ctrl-C shortcut
cycles, graph
DAGs (directed acyclic graphs)
D&C (divide and conquer)
def countdown(i) function
deletions
deque function
dict function
Diffie-Hellman key exchange
Dijkstra’s algorithm
Dijkstra’s algorithm
exercise
implementation
negative-weight edges
overview
terminology related to
trading for piano example
directed graph
distance formula
distributed algorithms
DNS resolution
double-ended queue
duplicate entries, preventing
dynamic programming
exercises, 2nd
knapsack problem
changing order of rows
FAQ
filling in grid column-wise
guitar row
if solution doesn’t fill knapsack completely
if solution requires more than two sub-knapsacks
laptop row
optimizing travel itinerary
overview
simple solution
stealing fractions of an item
stereo row
longest common substring
filling in grid
longest common subsequence
making grid
overview
solution
edges, 2nd
empty array, 2nd
encrypted messages
enqueue operation
Euclid’s algorithm
Facebook, user login and signups example
fact function, 2nd
factorial function
factorial time
false negatives
false positives
Feynman algorithm
FIFO (First In, First Out) data structure
find_lowest_cost_node function, 2nd
first-degree connection
for loop
for node
Fourier transform
git diff
graphs
breadth-first search and
exercises
finding shortest path
overview
queues
overview
graph[“start”] hash table
greedy algorithms
greedy algorithms
classroom scheduling problem
exercises
knapsack problem
NP-complete problems
set-covering problem
approximation algorithms
back to code
exercise
overview
greet2 function
greet function
hash tables
collisions
hash functions
performance
exercises
good hash function
load factor
use cases
preventing duplicate entries
using hash tables as cache
using hash tables for lookups
Haskell
HyperLogLog algorithm
inductive proofs
infinity, representing in Python
insertions
inverted indexes
IP address, mapping web address to
Khan Academy, 2nd
knapsack problem
changing order of rows
FAQ
filling in grid column-wise
guitar row
if solution doesn’t fill knapsack completely
if solution requires more than two sub-knapsacks
laptop row
optimizing travel itinerary
overview, 2nd
simple solution
stealing fractions of an item
stereo row
k-nearest neighbors algorithm
building recommendations system
classifying oranges vs. grapefruit
exercises
machine learning
Levenshtein distance
LIFO (Last In, Last Out) data structure
linear programming
linear time, 2nd, 3rd
linked lists
deletions and
exercises, 2nd
insertions and
overview
terminology used with
load balancing
locality-sensitive hashing
logarithmic time.
See log time.
logarithms
log time, 2nd, 3rd
lookups, using hash tables for
machine learning
MapReduce algorithm
map function
reduce function
memory
merge sort vs. quicksort
MP3 format
Naive Bayes classifier
name variable
neighbors
n! (n factorial) operations
nodes, 2nd
n operations
NP-complete problems
OCR (optical character recognition)
parallel algorithms
partitioning
person_is_seller function, 2nd
pivot element
pop (remove and read) action
Print function
print_items function
private key, Diffie-Hellman
probabilistic data structure
pseudocode, 2nd, 3rd
public key, Diffie-Hellman
push (insert) action
Pythagorean formula
queues
quicksort, Big O notation and
average case vs. worst case
exercises
merge sort vs. quicksort
random access
recommendations system, building
recursion
base case and recursive case
call stack with
overview
regression
resizing
run time
common run times
growth of at different rates
overview
searches
binary search
as better way to search
exercises
overview
running time
breadth-first search
graphs and
implementing
implementing algorithm
selection sort
sequential access
set-covering problem
approximation algorithms
calculating answer
code for setup
sets
exercise
overview
set difference
set intersection
sets
set union
SHA algorithms
SHA algorithms
checking passwords
comparing files
overview
SHA (Secure Hash Algorithm) function, 2nd
shortest path, 2nd
signals, processing
Simhash, 2nd
simple search, 2nd, 3rd
SQL query
stacks
call stack
call stack with recursion
exercise, 2nd
overview
states_covered set
states_for_station
states_needed
stock market, predicting
strings, mapping to numbers
sum function, 2nd
third-degree connection
topological sort
training
trees
undirected graph
unique searches
unweighted graph

For online information and ordering of this and other Manning books, please visit www.manning.com. The publisher offers discounts on this book when ordered in quantity. For more information, please contact
Special Sales Department Manning Publications Co. 20 Baldwin Road, PO Box 761 Shelter Island, NY 11964 Email: orders@manning.com
©2016 by Manning Publications Co. All rights reserved.
No part of this publication may be reproduced, stored in a retrieval system, or transmitted, in any form or by means electronic, mechanical, photocopying, or otherwise, without prior written permission of the publisher.
Many of the designations used by manufacturers and sellers to distinguish their products are claimed as trademarks. Where those designations appear in the book, and Manning Publications was aware of a trademark claim, the designations have been printed in initial caps or all caps.
Recognizing the importance of preserving what has been written, it is Manning’s policy to have the books we publish printed
on acid-free paper, and we exert our best efforts to that end. Recognizing also our responsibility to conserve the resources
of our planet, Manning books are printed on paper that is at least 15 percent recycled and processed without the use of elemental
chlorine.
![]() |
Manning Publications Co. 20 Baldwin Road Shelter Island, NY 11964 |
Development editor: Jennifer Stout Technical development editor: Damien White Project manager: Tiffany Taylor Copyeditor: Tiffany Taylor Technical proofreader: Jean-François Morin Typesetter: Leslie Haimes Cover and interior design: Leslie Haimes Illustrations by the author
ISBN: 9781617292231
Printed in the United States of America
1 2 3 4 5 6 7 8 9 10 – EBM – 21 20 19 18 17 16
For my parents, Sangeeta and Yogesh
Chapter 1. Introduction to Algorithms
Chapter 6. Breadth-first Search
Chapter 7. Dijkstra’s algorithm
Chapter 9. Dynamic programming
Chapter 1. Introduction to Algorithms
Algorithm running times grow at different rates
Visualizing different Big O run times
Chapter 6. Breadth-first Search
Chapter 7. Dijkstra’s algorithm
The classroom scheduling problem
Chapter 9. Dynamic programming
What happens if you change the order of the rows?
Can you fill in the grid column-wise instead of row-wise?
What happens if you add a smaller item?
Can you steal fractions of an item?
Optimizing your travel itinerary
Handling items that depend on each other
Is it possible that the solution will require more than two sub-knapsacks?
Is it possible that the best solution doesn’t fill the knapsack completely?
Chapter 10. K-nearest neighbors
Classifying oranges vs. grapefruit
Building a recommendations system
Introduction to machine learning

I first got into programming as a hobby. Visual Basic 6 for Dummies taught me the basics, and I kept reading books to learn more. But the subject of algorithms was impenetrable for me. I remember savoring the table of contents of my first algorithms book, thinking “I’m finally going to understand these topics!” But it was dense stuff, and I gave up after a few weeks. It wasn’t until I had my first good algorithms professor that I realized how simple and elegant these ideas were.
A few years ago, I wrote my first illustrated blog post. I’m a visual learner, and I really liked the illustrated style. Since then, I’ve written a few illustrated posts on functional programming, Git, machine learning, and concurrency. By the way: I was a mediocre writer when I started out. Explaining technical concepts is hard. Coming up with good examples takes time, and explaining a difficult concept takes time. So it’s easiest to gloss over the hard stuff. I thought I was doing a pretty good job, until after one of my posts got popular, a coworker came up to me and said, “I read your post and I still don’t understand this.” I still had a lot to learn about writing.
Somewhere in the middle of writing these blog posts, Manning reached out to me and asked if I wanted to write an illustrated book. Well, it turns out that Manning editors know a lot about explaining technical concepts, and they taught me how to teach. I wrote this book to scratch a particular itch: I wanted to write a book that explained hard technical topics well, and I wanted an easy-to-read algorithms book. My writing has come a long way since that first blog post, and I hope you find this book an easy and informative read.
Kudos to Manning for giving me the chance to write this book and letting me have a lot of creative freedom with it. Thanks to publisher Marjan Bace, Mike Stephens for getting me on board, Bert Bates for teaching me how to write, and Jennifer Stout for being an incredibly responsive and helpful editor. Thanks also to the people on Manning’s production team: Kevin Sullivan, Mary Piergies, Tiffany Taylor, Leslie Haimes, and all the others behind the scenes. In addition, I want to thank the many people who read the manuscript and offered suggestions: Karen Bensdon, Rob Green, Michael Hamrah, Ozren Harlovic, Colin Hastie, Christopher Haupt, Chuck Henderson, Pawel Kozlowski, Amit Lamba, Jean-François Morin, Robert Morrison, Sankar Ramanathan, Sander Rossel, Doug Sparling, and Damien White.
Thanks to the people who helped me reach this point: the folks on the Flaskhit game board, for teaching me how to code; the many friends who helped by reviewing chapters, giving advice, and letting me try out different explanations, including Ben Vinegar, Karl Puzon, Alex Manning, Esther Chan, Anish Bhatt, Michael Glass, Nikrad Mahdi, Charles Lee, Jared Friedman, Hema Manickavasagam, Hari Raja, Murali Gudipati, Srinivas Varadan, and others; and Gerry Brady, for teaching me algorithms. Another big thank you to algorithms academics like CLRS, Knuth, and Strang. I’m truly standing on the shoulders of giants.
Dad, Mom, Priyanka, and the rest of the family: thank you for your constant support. And a big thank you to my wife Maggie. There are many adventures ahead of us, and some of them don’t involve staying inside on a Friday night rewriting paragraphs.
Finally, a big thank you to all the readers who took a chance on this book, and the readers who gave me feedback in the book’s forum. You really helped make this book better.
This book is designed to be easy to follow. I avoid big leaps of thought. Any time a new concept is introduced, I explain it right away or tell you when I’ll explain it. Core concepts are reinforced with exercises and multiple explanations so that you can check your assumptions and make sure you’re following along.
I lead with examples. Instead of writing symbol soup, my goal is to make it easy for you to visualize these concepts. I also think we learn best by being able to recall something we already know, and examples make recall easier. So when you’re trying to remember the difference between arrays and linked lists (explained in chapter 2), you can just think about getting seated for a movie. Also, at the risk of stating the obvious, I’m a visual learner. This book is chock-full of images.
The contents of the book are carefully curated. There’s no need to write a book that covers every sorting algorithm—that’s why we have Wikipedia and Khan Academy. All the algorithms I’ve included are practical. I’ve found them useful in my job as a software engineer, and they provide a good foundation for more complex topics. Happy reading!
The first three chapters of this book lay the foundations:
In my experience, Big O notation and recursion are challenging topics for beginners. So I’ve slowed down and spent extra time on these sections.
The rest of the book presents algorithms with broad applications:
The order and contents of this book have been carefully designed. If you’re interested in a topic, feel free to jump ahead. Otherwise, read the chapters in order—they build on each other.
I strongly recommend executing the code for the examples yourself. I can’t stress this part enough. Just type out my code samples verbatim (or download them from www.manning.com/books/grokking-algorithms or https://github.com/egonschiele/grokking_algorithms), and execute them. You’ll retain a lot more if you do.
I also recommend doing the exercises in this book. The exercises are short—usually just a minute or two, sometimes 5 to 10 minutes. They will help you check your thinking, so you’ll know when you’re off track before you’ve gone too far.
This book is aimed at anyone who knows the basics of coding and wants to understand algorithms. Maybe you already have a coding problem and are trying to find an algorithmic solution. Or maybe you want to understand what algorithms are useful for. Here’s a short, incomplete list of people who will probably find this book useful:
All the code examples in this book use Python 2.7. All code in the book is presented in a fixed-width font like this to separate it from ordinary text. Code annotations accompany some of the listings, highlighting important concepts.
You can download the code for the examples in the book from the publisher’s website at www.manning.com/books/grokking-algorithms or from https://github.com/egonschiele/grokking_algorithms.
I believe you learn best when you really enjoy learning—so have fun, and run the code samples!
Aditya Bhargava is a software engineer at Etsy, an online marketplace for handmade goods. He has a master’s degree in computer science from the University of Chicago. He also runs a popular illustrated tech blog at adit.io.
Purchase of Grokking Algorithms includes free access to a private web forum run by Manning Publications where you can make comments about the book, ask technical questions, and receive help from the author and from other users. To access the forum and subscribe to it, point your web browser to www.manning.com/books/grokking-algorithms. This page provides information on how to get on the forum once you are registered, what kind of help is available, and the rules of conduct on the forum.
Manning’s commitment to our readers is to provide a venue where a meaningful dialog between individual readers and between readers and the author can take place. It isn’t a commitment to any specific amount of participation on the part of the author, whose contribution to Author Online remains voluntary (and unpaid). We suggest you try asking the author some challenging questions lest his interest stray! The Author Online forum and the archives of previous discussions will be accessible from the publisher’s website as long as the book is in print.

In this chapter
An algorithm is a set of instructions for accomplishing a task. Every piece of code could be called an algorithm, but this book covers the more interesting bits. I chose the algorithms in this book for inclusion because they’re fast, or they solve interesting problems, or both. Here are some highlights:
In each case, I’ll describe the algorithm and give you an example. Then I’ll talk about the running time of the algorithm in Big O notation. Finally, I’ll explore what other types of problems could be solved by the same algorithm.
The good news is, an implementation of every algorithm in this book is probably available in your favorite language, so you don’t have to write each algorithm yourself! But those implementations are useless if you don’t understand the trade-offs. In this book, you’ll learn to compare trade-offs between different algorithms: Should you use merge sort or quicksort? Should you use an array or a list? Just using a different data structure can make a big difference.
You’ll learn techniques for solving problems that might have been out of your grasp until now. For example:
More generally, by the end of this book, you’ll know some of the most widely applicable algorithms. You can then use your new knowledge to learn about more specific algorithms for AI, databases, and so on. Or you can take on bigger challenges at work.
You’ll need to know basic algebra before starting this book. In particular, take this function: f(x) = x × 2. What is f(5)? If you answered 10, you’re set.
Additionally, this chapter (and this book) will be easier to follow if you’re familiar with one programming language. All the examples in this book are in Python. If you don’t know any programming languages and want to learn one, choose Python—it’s great for beginners. If you know another language, like Ruby, you’ll be fine.
Suppose you’re searching for a person in the phone book (what an old-fashioned sentence!). Their name starts with K. You could start at the beginning and keep flipping pages until you get to the Ks. But you’re more likely to start at a page in the middle, because you know the Ks are going to be near the middle of the phone book.

Or suppose you’re searching for a word in a dictionary, and it starts with O. Again, you’ll start near the middle.
Now suppose you log on to Facebook. When you do, Facebook has to verify that you have an account on the site. So, it needs to search for your username in its database. Suppose your username is karlmageddon. Facebook could start from the As and search for your name—but it makes more sense for it to begin somewhere in the middle.
This is a search problem. And all these cases use the same algorithm to solve the problem: binary search.

Binary search is an algorithm; its input is a sorted list of elements (I’ll explain later why it needs to be sorted). If an element you’re looking for is in that list, binary search returns the position where it’s located. Otherwise, binary search returns null.
For example:

Looking for companies in a phone book with binary search
Here’s an example of how binary search works. I’m thinking of a number between 1 and 100.

You have to try to guess my number in the fewest tries possible. With every guess, I’ll tell you if your guess is too low, too high, or correct.
Suppose you start guessing like this: 1, 2, 3, 4 .... Here’s how it would go.


A bad approach to number guessing
This is simple search (maybe stupid search would be a better term). With each guess, you’re eliminating only one number. If my number was 99, it could take you 99 guesses to get there!
Here’s a better technique. Start with 50.

Too low, but you just eliminated half the numbers! Now you know that 1–50 are all too low. Next guess: 75.

Too high, but again you cut down half the remaining numbers! With binary search, you guess the middle number and eliminate half the remaining numbers every time. Next is 63 (halfway between 50 and 75).

This is binary search. You just learned your first algorithm! Here’s how many numbers you can eliminate every time.

Eliminate half the numbers every time with binary search.
Whatever number I’m thinking of, you can guess in a maximum of seven guesses—because you eliminate so many numbers with every guess!
Suppose you’re looking for a word in the dictionary. The dictionary has 240,000 words. In the worst case, how many steps do you think each search will take?

Simple search could take 240,000 steps if the word you’re looking for is the very last one in the book. With each step of binary search, you cut the number of words in half until you’re left with only one word.

So binary search will take 18 steps—a big difference! In general, for any list of n, binary search will take log2 n steps to run in the worst case, whereas simple search will take n steps.
You may not remember what logarithms are, but you probably know what exponentials are. log10 100 is like asking, “How many 10s do we multiply together to get 100?” The answer is 2: 10 × 10. So log10 100 = 2. Logs are the flip of exponentials.

Logs are the flip of exponentials.
In this book, when I talk about running time in Big O notation (explained a little later), log always means log2. When you search for an element using simple search, in the worst case you might have to look at every single element. So for a list of 8 numbers, you’d have to check 8 numbers at most. For binary search, you have to check log n elements in the worst case. For a list of 8 elements, log 8 == 3, because 23 == 8. So for a list of 8 numbers, you would have to check 3 numbers at most. For a list of 1,024 elements, log 1,024 = 10, because 210 == 1,024. So for a list of 1,024 numbers, you’d have to check 10 numbers at most.
I’ll talk about log time a lot in this book, so you should understand the concept of logarithms. If you don’t, Khan Academy (khanacademy.org) has a nice video that makes it clear.
Binary search only works when your list is in sorted order. For example, the names in a phone book are sorted in alphabetical order, so you can use binary search to look for a name. What would happen if the names weren’t sorted?
Let’s see how to write binary search in Python. The code sample here uses arrays. If you don’t know how arrays work, don’t worry; they’re covered in the next chapter. You just need to know that you can store a sequence of elements in a row of consecutive buckets called an array. The buckets are numbered starting with 0: the first bucket is at position #0, the second is #1, the third is #2, and so on.
The binary_search function takes a sorted array and an item. If the item is in the array, the function returns its position. You’ll keep track of what part of the array you have to search through. At the beginning, this is the entire array:
low = 0 high = len(list) - 1

Each time, you check the middle element:

If the guess is too low, you update low accordingly:
if guess < item: low = mid + 1

And if the guess is too high, you update high. Here’s the full code:

Suppose you have a sorted list of 128 names, and you’re searching through it using binary search. What’s the maximum number of steps it would take?
Suppose you double the size of the list. What’s the maximum number of steps now?
Any time I talk about an algorithm, I’ll discuss its running time. Generally you want to choose the most efficient algorithm—whether you’re trying to optimize for time or space.

Back to binary search. How much time do you save by using it? Well, the first approach was to check each number, one by one. If this is a list of 100 numbers, it takes up to 100 guesses. If it’s a list of 4 billion numbers, it takes up to 4 billion guesses. So the maximum number of guesses is the same as the size of the list. This is called linear time.
Binary search is different. If the list is 100 items long, it takes at most 7 guesses. If the list is 4 billion items, it takes at most 32 guesses. Powerful, eh? Binary search runs in logarithmic time (or log time, as the natives call it). Here’s a table summarizing our findings today.

Run times for search algorithms
Big O notation is special notation that tells you how fast an algorithm is. Who cares? Well, it turns out that you’ll use other people’s algorithms often—and when you do, it’s nice to understand how fast or slow they are. In this section, I’ll explain what Big O notation is and give you a list of the most common running times for algorithms using it.
Bob is writing a search algorithm for NASA. His algorithm will kick in when a rocket is about to land on the Moon, and it will help calculate where to land.

This is an example of how the run time of two algorithms can grow at different rates. Bob is trying to decide between simple search and binary search. The algorithm needs to be both fast and correct. On one hand, binary search is faster. And Bob has only 10 seconds to figure out where to land—otherwise, the rocket will be off course. On the other hand, simple search is easier to write, and there is less chance of bugs being introduced. And Bob really doesn’t want bugs in the code to land a rocket! To be extra careful, Bob decides to time both algorithms with a list of 100 elements.
Let’s assume it takes 1 millisecond to check one element. With simple search, Bob has to check 100 elements, so the search takes 100 ms to run. On the other hand, he only has to check 7 elements with binary search (log2 100 is roughly 7), so that search takes 7 ms to run. But realistically, the list will have more like a billion elements. If it does, how long will simple search take? How long will binary search take? Make sure you have an answer for each question before reading on.

Running time for simple search vs. binary search, with a list of 100 elements
Bob runs binary search with 1 billion elements, and it takes 30 ms (log2 1,000,000,000 is roughly 30). “32 ms!” he thinks. “Binary search is about 15 times faster than simple search, because simple search took 100 ms with 100 elements, and binary search took 7 ms. So simple search will take 30 × 15 = 450 ms, right? Way under my threshold of 10 seconds.” Bob decides to go with simple search. Is that the right choice?
No. Turns out, Bob is wrong. Dead wrong. The run time for simple search with 1 billion items will be 1 billion ms, which is 11 days! The problem is, the run times for binary search and simple search don’t grow at the same rate.

Run times grow at very different speeds!
That is, as the number of items increases, binary search takes a little more time to run. But simple search takes a lot more time to run. So as the list of numbers gets bigger, binary search suddenly becomes a lot faster than simple search. Bob thought binary search was 15 times faster than simple search, but that’s not correct. If the list has 1 billion items, it’s more like 33 million times faster. That’s why it’s not enough to know how long an algorithm takes to run—you need to know how the running time increases as the list size increases. That’s where Big O notation comes in.
Big O notation tells you how fast an algorithm is. For example, suppose you have a list of size n. Simple search needs to check each element, so it will take n operations. The run time in Big O notation is O(n). Where are the seconds? There are none—Big O doesn’t tell you the speed in seconds. Big O notation lets you compare the number of operations. It tells you how fast the algorithm grows.

Here’s another example. Binary search needs log n operations to check a list of size n. What’s the running time in Big O notation? It’s O(log n). In general, Big O notation is written as follows.

What Big O notation looks like
This tells you the number of operations an algorithm will make. It’s called Big O notation because you put a “big O” in front of the number of operations (it sounds like a joke, but it’s true!).
Now let’s look at some examples. See if you can figure out the run time for these algorithms.
Here’s a practical example you can follow at home with a few pieces of paper and a pencil. Suppose you have to draw a grid of 16 boxes.

What’s a good algorithm to draw this grid?
One way to do it is to draw 16 boxes, one at a time. Remember, Big O notation counts the number of operations. In this example, drawing one box is one operation. You have to draw 16 boxes. How many operations will it take, drawing one box at a time?

Drawing a grid one box at a time
It takes 16 steps to draw 16 boxes. What’s the running time for this algorithm?
Try this algorithm instead. Fold the paper.

In this example, folding the paper once is an operation. You just made two boxes with that operation!
Fold the paper again, and again, and again.

Unfold it after four folds, and you’ll have a beautiful grid! Every fold doubles the number of boxes. You made 16 boxes with 4 operations!

Drawing a grid in four folds
You can “draw” twice as many boxes with every fold, so you can draw 16 boxes in 4 steps. What’s the running time for this algorithm? Come up with running times for both algorithms before moving on.
Answers: Algorithm 1 takes O(n) time, and algorithm 2 takes O(log n) time.
Suppose you’re using simple search to look for a person in the phone book. You know that simple search takes O(n) time to run, which means in the worst case, you’ll have to look through every single entry in your phone book. In this case, you’re looking for Adit. This guy is the first entry in your phone book. So you didn’t have to look at every entry—you found it on the first try. Did this algorithm take O(n) time? Or did it take O(1) time because you found the person on the first try?
Simple search still takes O(n) time. In this case, you found what you were looking for instantly. That’s the best-case scenario. But Big O notation is about the worst-case scenario. So you can say that, in the worst case, you’ll have to look at every entry in the phone book once. That’s O(n) time. It’s a reassurance—you know that simple search will never be slower than O(n) time.
Along with the worst-case run time, it’s also important to look at the average-case run time. Worst case versus average case is discussed in chapter 4.
Here are five Big O run times that you’ll encounter a lot, sorted from fastest to slowest:
Suppose you’re drawing a grid of 16 boxes again, and you can choose from 5 different algorithms to do so. If you use the first algorithm, it will take you O(log n) time to draw the grid. You can do 10 operations per second. With O(log n) time, it will take you 4 operations to draw a grid of 16 boxes (log 16 is 4). So it will take you 0.4 seconds to draw the grid. What if you have to draw 1,024 boxes? It will take you log 1,024 = 10 operations, or 1 second to draw a grid of 1,024 boxes. These numbers are using the first algorithm.
The second algorithm is slower: it takes O(n) time. It will take 16 operations to draw 16 boxes, and it will take 1,024 operations to draw 1,024 boxes. How much time is that in seconds?
Here’s how long it would take to draw a grid for the rest of the algorithms, from fastest to slowest:

There are other run times, too, but these are the five most common.
This is a simplification. In reality you can’t convert from a Big O run time to a number of operations this neatly, but this is good enough for now. We’ll come back to Big O notation in chapter 4, after you’ve learned a few more algorithms. For now, the main takeaways are as follows:
Give the run time for each of these scenarios in terms of Big O.
You have a name, and you want to find the person’s phone number in the phone book.
You have a phone number, and you want to find the person’s name in the phone book. (Hint: You’ll have to search through the whole book!)
You want to read the numbers of every person in the phone book.
You want to read the numbers of just the As. (This is a tricky one! It involves concepts that are covered more in chapter 4. Read the answer—you may be surprised!)
You might have read that last section and thought, “There’s no way I’ll ever run into an algorithm that takes O(n!) time.” Well, let me try to prove you wrong! Here’s an example of an algorithm with a really bad running time. This is a famous problem in computer science, because its growth is appalling and some very smart people think it can’t be improved. It’s called the traveling salesperson problem.

You have a salesperson.
The salesperson has to go to five cities.

This salesperson, whom I’ll call Opus, wants to hit all five cities while traveling the minimum distance. Here’s one way to do that: look at every possible order in which he could travel to the cities.

He adds up the total distance and then picks the path with the lowest distance. There are 120 permutations with 5 cities, so it will take 120 operations to solve the problem for 5 cities. For 6 cities, it will take 720 operations (there are 720 permutations). For 7 cities, it will take 5,040 operations!

The number of operations increases drastically.
In general, for n items, it will take n! (n factorial) operations to compute the result. So this is O(n!) time, or factorial time. It takes a lot of operations for everything except the smallest numbers. Once you’re dealing with 100+ cities, it’s impossible to calculate the answer in time—the Sun will collapse first.
This is a terrible algorithm! Opus should use a different one, right? But he can’t. This is one of the unsolved problems in computer science. There’s no fast known algorithm for it, and smart people think it’s impossible to have a smart algorithm for this problem. The best we can do is come up with an approximate solution; see chapter 10 for more.
One final note: if you’re an advanced reader, check out binary search trees! There’s a brief description of them in the last chapter.

In this chapter
To understand the performance analysis bits in this chapter, you need to know Big O notation and logarithms. If you don’t know those, I suggest you go back and read chapter 1. Big O notation will be used throughout the rest of the book.
Imagine you go to a show and need to check your things. A chest of drawers is available.

Each drawer can hold one element. You want to store two things, so you ask for two drawers.

You store your two things here.

And you’re ready for the show! This is basically how your computer’s memory works. Your computer looks like a giant set of drawers, and each drawer has an address.

fe Øffeeb is the address of a slot in memory.
Each time you want to store an item in memory, you ask the computer for some space, and it gives you an address where you can store your item. If you want to store multiple items, there are two basic ways to do so: arrays and lists. I’ll talk about arrays and lists next, as well as the pros and cons of each. There isn’t one right way to store items for every use case, so it’s important to know the differences.
Sometimes you need to store a list of elements in memory. Suppose you’re writing an app to manage your todos. You’ll want to store the todos as a list in memory.

Should you use an array, or a linked list? Let’s store the todos in an array first, because it’s easier to grasp. Using an array means all your tasks are stored contiguously (right next to each other) in memory.

Now suppose you want to add a fourth task. But the next drawer is taken up by someone else’s stuff!

It’s like going to a movie with your friends and finding a place to sit—but another friend joins you, and there’s no place for them. You have to move to a new spot where you all fit. In this case, you need to ask your computer for a different chunk of memory that can fit four tasks. Then you need to move all your tasks there.
If another friend comes by, you’re out of room again—and you all have to move a second time! What a pain. Similarly, adding new items to an array can be a big pain. If you’re out of space and need to move to a new spot in memory every time, adding a new item will be really slow. One easy fix is to “hold seats”: even if you have only 3 items in your task list, you can ask the computer for 10 slots, just in case. Then you can add 10 items to your task list without having to move. This is a good workaround, but you should be aware of a couple of downsides:
So it’s a good workaround, but it’s not a perfect solution. Linked lists solve this problem of adding items.
With linked lists, your items can be anywhere in memory.

Each item stores the address of the next item in the list. A bunch of random memory addresses are linked together.

It’s like a treasure hunt. You go to the first address, and it says, “The next item can be found at address 123.” So you go to address 123, and it says, “The next item can be found at address 847,” and so on. Adding an item to a linked list is easy: you stick it anywhere in memory and store the address with the previous item.
With linked lists, you never have to move your items. You also avoid another problem. Let’s say you go to a popular movie with five of your friends. The six of you are trying to find a place to sit, but the theater is packed. There aren’t six seats together. Well, sometimes this happens with arrays. Let’s say you’re trying to find 10,000 slots for an array. Your memory has 10,000 slots, but it doesn’t have 10,000 slots together. You can’t get space for your array! A linked list is like saying, “Let’s split up and watch the movie.” If there’s space in memory, you have space for your linked list.
If linked lists are so much better at inserts, what are arrays good for?
Websites with top-10 lists use a scummy tactic to get more page views. Instead of showing you the list on one page, they put one item on each page and make you click Next to get to the next item in the list. For example, Top 10 Best TV Villains won’t show you the entire list on one page. Instead, you start at #10 (Newman), and you have to click Next on each page to reach #1 (Gustavo Fring). This technique gives the websites 10 whole pages on which to show you ads, but it’s boring to click Next 9 times to get to #1. It would be much better if the whole list was on one page and you could click each person’s name for more info.

Linked lists have a similar problem. Suppose you want to read the last item in a linked list. You can’t just read it, because you don’t know what address it’s at. Instead, you have to go to item #1 to get the address for item #2. Then you have to go to item #2 to get the address for item #3. And so on, until you get to the last item. Linked lists are great if you’re going to read all the items one at a time: you can read one item, follow the address to the next item, and so on. But if you’re going to keep jumping around, linked lists are terrible.
Arrays are different. You know the address for every item in your array. For example, suppose your array contains five items, and you know it starts at address 00. What is the address of item #5?

Simple math tells you: it’s 04. Arrays are great if you want to read random elements, because you can look up any element in your array instantly. With a linked list, the elements aren’t next to each other, so you can’t instantly calculate the position of the fifth element in memory—you have to go to the first element to get the address to the second element, then go to the second element to get the address of the third element, and so on until you get to the fifth element.
The elements in an array are numbered. This numbering starts from 0, not 1. For example, in this array, 20 is at position 1.

And 10 is at position 0. This usually throws new programmers for a spin. Starting at 0 makes all kinds of array-based code easier to write, so programmers have stuck with it. Almost every programming language you use will number array elements starting at 0. You’ll soon get used to it.
The position of an element is called its index. So instead of saying, “20 is at position 1,” the correct terminology is, “20 is at index 1.” I’ll use index to mean position throughout this book.
Here are the run times for common operations on arrays and lists.

Question: Why does it take O(n) time to insert an element into an array? Suppose you wanted to insert an element at the beginning of an array. How would you do it? How long would it take? Find the answers to these questions in the next section!
Suppose you’re building an app to keep track of your finances.
Every day, you write down everything you spent money on. At the end of the month, you review your expenses and sum up how much you spent. So, you have lots of inserts and a few reads. Should you use an array or a list?
Suppose you want your todo list to work more like a calendar. Earlier, you were adding things to the end of the list.
Now you want to add them in the order in which they should be done.

What’s better if you want to insert elements in the middle: arrays or lists? With lists, it’s as easy as changing what the previous element points to.

But for arrays, you have to shift all the rest of the elements down.

And if there’s no space, you might have to copy everything to a new location! Lists are better if you want to insert elements into the middle.
What if you want to delete an element? Again, lists are better, because you just need to change what the previous element points to. With arrays, everything needs to be moved up when you delete an element.
Unlike insertions, deletions will always work. Insertions can fail sometimes when there’s no space left in memory. But you can always delete an element.
Here are the run times for common operations on arrays and linked lists.

It’s worth mentioning that insertions and deletions are O(1) time only if you can instantly access the element to be deleted. It’s a common practice to keep track of the first and last items in a linked list, so it would take only O(1) time to delete those.
Which are used more: arrays or lists? Obviously, it depends on the use case. But arrays see a lot of use because they allow random access. There are two different types of access: random access and sequential access. Sequential access means reading the elements one by one, starting at the first element. Linked lists can only do sequential access. If you want to read the 10th element of a linked list, you have to read the first 9 elements and follow the links to the 10th element. Random access means you can jump directly to the 10th element. You’ll frequently hear me say that arrays are faster at reads. This is because they provide random access. A lot of use cases require random access, so arrays are used a lot. Arrays and lists are used to implement other data structures, too (coming up later in the book).
Suppose you’re building an app for restaurants to take customer orders. Your app needs to store a list of orders. Servers keep adding orders to this list, and chefs take orders off the list and make them. It’s an order queue: servers add orders to the back of the queue, and the chef takes the first order off the queue and cooks it.
Would you use an array or a linked list to implement this queue? (Hint: Linked lists are good for inserts/deletes, and arrays are good for random access. Which one are you going to be doing here?)
Let’s run a thought experiment. Suppose Facebook keeps a list of usernames. When someone tries to log in to Facebook, a search is done for their username. If their name is in the list of usernames, they can log in. People log in to Facebook pretty often, so there are a lot of searches through this list of usernames. Suppose Facebook uses binary search to search the list. Binary search needs random access—you need to be able to get to the middle of the list of usernames instantly. Knowing this, would you implement the list as an array or a linked list?
People sign up for Facebook pretty often, too. Suppose you decided to use an array to store the list of users. What are the downsides of an array for inserts? In particular, suppose you’re using binary search to search for logins. What happens when you add new users to an array?
In reality, Facebook uses neither an array nor a linked list to store user information. Let’s consider a hybrid data structure: an array of linked lists. You have an array with 26 slots. Each slot points to a linked list. For example, the first slot in the array points to a linked list containing all the usernames starting with a. The second slot points to a linked list containing all the usernames starting with b, and so on.
Suppose Adit B signs up for Facebook, and you want to add them to the list. You go to slot 1 in the array, go to the linked list for slot 1, and add Adit B at the end. Now, suppose you want to search for Zakhir H. You go to slot 26, which points to a linked list of all the Z names. Then you search through that list to find Zakhir H.
Compare this hybrid data structure to arrays and linked lists. Is it slower or faster than each for searching and inserting? You don’t have to give Big O run times, just whether the new data structure would be faster or slower.
Let’s put it all together to learn your second algorithm: selection sort. To follow this section, you need to understand arrays and lists, as well as Big O notation.

Suppose you have a bunch of music on your computer. For each artist, you have a play count.

You want to sort this list from most to least played, so that you can rank your favorite artists. How can you do it?
One way is to go through the list and find the most-played artist. Add that artist to a new list.

Do it again to find the next-most-played artist.

Keep doing this, and you’ll end up with a sorted list.

Let’s put on our computer science hats and see how long this will take to run. Remember that O(n) time means you touch every element in a list once. For example, running simple search over the list of artists means looking at each artist once.

To find the artist with the highest play count, you have to check each item in the list. This takes O(n) time, as you just saw. So you have an operation that takes O(n) time, and you have to do that n times:

This takes O(n × n) time or O(n2) time.
Sorting algorithms are very useful. Now you can sort
Maybe you’re wondering: as you go through the operations, the number of elements you have to check keeps decreasing. Eventually, you’re down to having to check just one element. So how can the run time still be O(n2)? That’s a good question, and the answer has to do with constants in Big O notation. I’ll get into this more in chapter 4, but here’s the gist.
You’re right that you don’t have to check a list of n elements each time. You check n elements, then n – 1, n - 2 ... 2, 1. On average, you check a list that has ½ n elements. The runtime is O(n × ½ n). But constants like ½ are ignored in Big O notation (again, see chapter 4 for the full discussion), so you just write O(n × n) or O(n2).
Selection sort is a neat algorithm, but it’s not very fast. Quicksort is a faster sorting algorithm that only takes O(n log n) time. It’s coming up in the next chapter!
We didn’t show you the code to sort the music list, but following is some code that will do something very similar: sort an array from smallest to largest. Let’s write a function to find the smallest element in an array:

Now you can use this function to write selection sort:



I’m excited about this chapter because it covers recursion, an elegant way to solve problems. Recursion is one of my favorite topics, but it’s divisive. People either love it or hate it, or hate it until they learn to love it a few years later. I personally was in that third camp. To make things easier for you, I have some advice:
This chapter also includes a lot of pseudocode. Pseudocode is a high-level description of the problem you’re trying to solve, in code. It’s written like code, but it’s meant to be closer to human speech.
Suppose you’re digging through your grandma’s attic and come across a mysterious locked suitcase.

Grandma tells you that the key for the suitcase is probably in this other box.

This box contains more boxes, with more boxes inside those boxes. The key is in a box somewhere. What’s your algorithm to search for the key? Think of an algorithm before you read on.
Here’s one approach.

Here’s an alternate approach.

Which approach seems easier to you? The first approach uses a while loop. While the pile isn’t empty, grab a box and look through it:
def look_for_key(main_box):
pile = main_box.make_a_pile_to_look_through()
while pile is not empty:
box = pile.grab_a_box()
for item in box:
if item.is_a_box():
pile.append(item)
elif item.is_a_key():
print "found the key!"
The second way uses recursion. Recursion is where a function calls itself. Here’s the second way in pseudocode:

Both approaches accomplish the same thing, but the second approach is clearer to me. Recursion is used when it makes the solution clearer. There’s no performance benefit to using recursion; in fact, loops are sometimes better for performance. I like this quote by Leigh Caldwell on Stack Overflow: “Loops may achieve a performance gain for your program. Recursion may achieve a performance gain for your programmer. Choose which is more important in your situation!”[1]
Many important algorithms use recursion, so it’s important to understand the concept.

Because a recursive function calls itself, it’s easy to write a function incorrectly that ends up in an infinite loop. For example, suppose you want to write a function that prints a countdown, like this:
> 3...2...1
You can write it recursively, like so:
def countdown(i): print i countdown(i-1)
Write out this code and run it. You’ll notice a problem: this function will run forever!

Infinite loop
> 3...2...1...0...-1...-2...
(Press Ctrl-C to kill your script.)
When you write a recursive function, you have to tell it when to stop recursing. That’s why every recursive function has two parts: the base case, and the recursive case. The recursive case is when the function calls itself. The base case is when the function doesn’t call itself again ... so it doesn’t go into an infinite loop.
Let’s add a base case to the countdown function:

Now the function works as expected. It goes something like this.

This section covers the call stack. It’s an important concept in programming. The call stack is an important concept in general programming, and it’s also important to understand when using recursion.

Suppose you’re throwing a barbecue. You keep a todo list for the barbecue, in the form of a stack of sticky notes.

Remember back when we talked about arrays and lists, and you had a todo list? You could add todo items anywhere to the list or delete random items. The stack of sticky notes is much simpler. When you insert an item, it gets added to the top of the list. When you read an item, you only read the topmost item, and it’s taken off the list. So your todo list has only two actions: push (insert) and pop (remove and read).

Let’s see the todo list in action.

This data structure is called a stack. The stack is a simple data structure. You’ve been using a stack this whole time without realizing it!
Your computer uses a stack internally called the call stack. Let’s see it in action. Here’s a simple function:
def greet(name):
print "hello, " + name + "!"
greet2(name)
print "getting ready to say bye..."
bye()
This function greets you and then calls two other functions. Here are those two functions:
def greet2(name):
print "how are you, " + name + "?"
def bye():
print "ok bye!"
Let’s walk through what happens when you call a function.
print is a function in Python, but to make things easier for this example, we’re pretending it isn’t. Just play along.
Suppose you call greet("maggie"). First, your computer allocates a box of memory for that function call.

Now let’s use the memory. The variable name is set to “maggie”. That needs to be saved in memory.

Every time you make a function call, your computer saves the values for all the variables for that call in memory like this. Next, you print hello, maggie! Then you call greet2("maggie"). Again, your computer allocates a box of memory for this function call.

Your computer is using a stack for these boxes. The second box is added on top of the first one. You print how are you, maggie? Then you return from the function call. When this happens, the box on top of the stack gets popped off.

Now the topmost box on the stack is for the greet function, which means you returned back to the greet function. When you called the greet2 function, the greet function was partially completed. This is the big idea behind this section: when you call a function from another function, the calling function is paused in a partially completed state. All the values of the variables for that function are still stored in memory. Now that you’re done with the greet2 function, you’re back to the greet function, and you pick up where you left off. First you print getting ready to say bye.... You call the bye function.

A box for that function is added to the top of the stack. Then you print ok bye! and return from the function call.

And you’re back to the greet function. There’s nothing else to be done, so you return from the greet function too. This stack, used to save the variables for multiple functions, is called the call stack.
Suppose I show you a call stack like this.
What information can you give me, just based on this call stack?
Now let’s see the call stack in action with a recursive function.
Recursive functions use the call stack too! Let’s look at this in action with the factorial function. factorial(5) is written as 5!, and it’s defined like this: 5! = 5 * 4 * 3 * 2 * 1. Similarly, factorial(3) is 3 * 2 * 1. Here’s a recursive function to calculate the factorial of a number:
def fact(x):
if x == 1:
return 1
else:
return x * fact(x-1)
Now you call fact(3). Let’s step through this call line by line and see how the stack changes. Remember, the topmost box in the stack tells you what call to fact you’re currently on.


Notice that each call to fact has its own copy of x. You can’t access a different function’s copy of x.
The stack plays a big part in recursion. In the opening example, there were two approaches to find the key. Here’s the first way again.

This way, you make a pile of boxes to search through, so you always know what boxes you still need to search.

But in the recursive approach, there’s no pile.

If there’s no pile, how does your algorithm know what boxes you still have to look through? Here’s an example.

At this point, the call stack looks like this.

The “pile of boxes” is saved on the stack! This is a stack of half-completed function calls, each with its own half-complete list of boxes to look through. Using the stack is convenient because you don’t have to keep track of a pile of boxes yourself—the stack does it for you.
Using the stack is convenient, but there’s a cost: saving all that info can take up a lot of memory. Each of those function calls takes up some memory, and when your stack is too tall, that means your computer is saving information for many function calls. At that point, you have two options:
Suppose you accidentally write a recursive function that runs forever. As you saw, your computer allocates memory on the stack for each function call. What happens to the stack when your recursive function runs forever?


In this chapter
You learned all about recursion in the last chapter. This chapter focuses on using your new skill to solve problems. We’ll explore divide and conquer (D&C), a well-known recursive technique for solving problems.
This chapter really gets into the meat of algorithms. After all, an algorithm isn’t very useful if it can only solve one type of problem. Instead, D&C gives you a new way to think about solving problems. D&C is another tool in your toolbox. When you get a new problem, you don’t have to be stumped. Instead, you can ask, “Can I solve this if I use divide and conquer?”
At the end of the chapter, you’ll learn your first major D&C algorithm: quicksort. Quicksort is a sorting algorithm, and a much faster one than selection sort (which you learned in chapter 2). It’s a good example of elegant code.
D&C can take some time to grasp. So, we’ll do three examples. First I’ll show you a visual example. Then I’ll do a code example that is less pretty but maybe easier. Finally, we’ll go through quicksort, a sorting algorithm that uses D&C.

Suppose you’re a farmer with a plot of land.

You want to divide this farm evenly into square plots. You want the plots to be as big as possible. So none of these will work.

How do you figure out the largest square size you can use for a plot of land? Use the D&C strategy! D&C algorithms are recursive algorithms. To solve a problem using D&C, there are two steps:
1. Figure out the base case. This should be the simplest possible case.
2. Divide or decrease your problem until it becomes the base case.
Let’s use D&C to find the solution to this problem. What is the largest square size you can use?
First, figure out the base case. The easiest case would be if one side was a multiple of the other side.

Suppose one side is 25 meters (m) and the other side is 50 m. Then the largest box you can use is 25 m × 25 m. You need two of those boxes to divide up the land.
Now you need to figure out the recursive case. This is where D&C comes in. According to D&C, with every recursive call, you have to reduce your problem. How do you reduce the problem here? Let’s start by marking out the biggest boxes you can use.

You can fit two 640 × 640 boxes in there, and there’s some land still left to be divided. Now here comes the “Aha!” moment. There’s a farm segment left to divide. Why don’t you apply the same algorithm to this segment?

So you started out with a 1680 × 640 farm that needed to be split up. But now you need to split up a smaller segment, 640 × 400. If you find the biggest box that will work for this size, that will be the biggest box that will work for the entire farm. You just reduced the problem from a 1680 × 640 farm to a 640 × 400 farm!
“If you find the biggest box that will work for this size, that will be the biggest box that will work for the entire farm.” If it’s not obvious to you why this statement is true, don’t worry. It isn’t obvious. Unfortunately, the proof for why it works is a little too long to include in this book, so you’ll just have to believe me that it works. If you want to understand the proof, look up Euclid’s algorithm. The Khan academy has a good explanation here: https://www.khanacademy.org/computing/computer-science/cryptography/modarithmetic/a/the-euclidean-algorithm.

Let’s apply the same algorithm again. Starting with a 640 × 400m farm, the biggest box you can create is 400 × 400 m.
And that leaves you with a smaller segment, 400 × 240 m.

And you can draw a box on that to get an even smaller segment, 240 × 160 m.

And then you draw a box on that to get an even smaller segment.

Hey, you’re at the base case: 80 is a factor of 160. If you split up this segment using boxes, you don’t have anything left over!

So, for the original farm, the biggest plot size you can use is 80 × 80 m.

To recap, here’s how D&C works:
D&C isn’t a simple algorithm that you can apply to a problem. Instead, it’s a way to think about a problem. Let’s do one more example.

You’re given an array of numbers.
You have to add up all the numbers and return the total. It’s pretty easy to do this with a loop:
def sum(arr):
total = 0
for x in arr:
total += x
return total
print sum([1, 2, 3, 4])
But how would you do this with a recursive function?
Step 1: Figure out the base case. What’s the simplest array you could get? Think about the simplest case, and then read on. If you get an array with 0 or 1 element, that’s pretty easy to sum up.

So that will be the base case.
Step 2: You need to move closer to an empty array with every recursive call. How do you reduce your problem size? Here’s one way.

It’s the same as this.

In either case, the result is 12. But in the second version, you’re passing a smaller array into the sum function. That is, you decreased the size of your problem!
Your sum function could work like this.


Remember, recursion keeps track of the state.

When you’re writing a recursive function involving an array, the base case is often an empty array or an array with one element. If you’re stuck, try that first.
“Why would I do this recursively if I can do it easily with a loop?” you may be thinking. Well, this is a sneak peek into functional programming! Functional programming languages like Haskell don’t have loops, so you have to use recursion to write functions like this. If you have a good understanding of recursion, functional languages will be easier to learn. For example, here’s how you’d write a sum function in Haskell:

Notice that it looks like you have two definitions for the function. The first definition is run when you hit the base case. The second definition runs at the recursive case. You can also write this function in Haskell using an if statement:
sum arr = if arr == []
then 0
else (head arr) + (sum (tail arr))
But the first definition is easier to read. Because Haskell makes heavy use of recursion, it includes all kinds of niceties like this to make recursion easy. If you like recursion, or you’re interested in learning a new language, check out Haskell.
Write out the code for the earlier sum function.
Write a recursive function to count the number of items in a list.
Find the maximum number in a list.
Remember binary search from chapter 1? It’s a divide-and-conquer algorithm, too. Can you come up with the base case and recursive case for binary search?
Quicksort is a sorting algorithm. It’s much faster than selection sort and is frequently used in real life. For example, the C standard library has a function called qsort, which is its implementation of quicksort. Quicksort also uses D&C.

Let’s use quicksort to sort an array. What’s the simplest array that a sorting algorithm can handle (remember my tip from the previous section)? Well, some arrays don’t need to be sorted at all.

Empty arrays and arrays with just one element will be the base case. You can just return those arrays as is—there’s nothing to sort:
def quicksort(array):
if len(array) < 2:
return array
Let’s look at bigger arrays. An array with two elements is pretty easy to sort, too.

What about an array of three elements?

Remember, you’re using D&C. So you want to break down this array until you’re at the base case. Here’s how quicksort works. First, pick an element from the array. This element is called the pivot.

We’ll talk about how to pick a good pivot later. For now, let’s say the first item in the array is the pivot.
Now find the elements smaller than the pivot and the elements larger than the pivot.

This is called partitioning. Now you have
The two sub-arrays aren’t sorted. They’re just partitioned. But if they were sorted, then sorting the whole array would be pretty easy.

If the sub-arrays are sorted, then you can combine the whole thing like this—left array + pivot + right array—and you get a sorted array. In this case, it’s [10, 15] + [33] + [] = [10, 15, 33], which is a sorted array.
How do you sort the sub-arrays? Well, the quicksort base case already knows how to sort arrays of two elements (the left sub-array) and empty arrays (the right sub-array). So if you call quicksort on the two sub-arrays and then combine the results, you get a sorted array!

This will work with any pivot. Suppose you choose 15 as the pivot instead.

Both sub-arrays have only one element, and you know how to sort those. So now you know how to sort an array of three elements. Here are the steps:
1. Pick a pivot.
2. Partition the array into two sub-arrays: elements less than the pivot and elements greater than the pivot.
3. Call quicksort recursively on the two sub-arrays.
What about an array of four elements?

Suppose you choose 33 as the pivot again.

The array on the left has three elements. You already know how to sort an array of three elements: call quicksort on it recursively.

So you can sort an array of four elements. And if you can sort an array of four elements, you can sort an array of five elements. Why is that? Suppose you have this array of five elements.

Here are all the ways you can partition this array, depending on what pivot you choose.

Notice that all of these sub-arrays have somewhere between 0 and 4 elements. And you already know how to sort an array of 0 to 4 elements using quicksort! So no matter what pivot you pick, you can call quicksort recursively on the two sub-arrays.
For example, suppose you pick 3 as the pivot. You call quicksort on the sub-arrays.

The sub-arrays get sorted, and then you combine the whole thing to get a sorted array. This works even if you choose 5 as the pivot.

This works with any element as the pivot. So you can sort an array of five elements. Using the same logic, you can sort an array of six elements, and so on.
You just got a sneak peak into inductive proofs! Inductive proofs are one way to prove that your algorithm works. Each inductive proof has two steps: the base case and the inductive case. Sound familiar? For example, suppose I want to prove that I can climb to the top of a ladder. In the inductive case, if my legs are on a rung, I can put my legs on the next rung. So if I’m on rung 2, I can climb to rung 3. That’s the inductive case. For the base case, I’ll say that my legs are on rung 1. Therefore, I can climb the entire ladder, going up one rung at a time.
You use similar reasoning for quicksort. In the base case, I showed that the algorithm works for the base case: arrays of size 0 and 1. In the inductive case, I showed that if quicksort works for an array of size 1, it will work for an array of size 2. And if it works for arrays of size 2, it will work for arrays of size 3, and so on. Then I can say that quicksort will work for all arrays of any size. I won’t go deeper into inductive proofs here, but they’re fun and go hand-in-hand with D&C.

Here’s the code for quicksort:

Quicksort is unique because its speed depends on the pivot you choose. Before I talk about quicksort, let’s look at the most common Big O run times again.

Estimates based on a slow computer that performs 10 operations per second
The example times in this chart are estimates if you perform 10 operations per second. These graphs aren’t precise—they’re just there to give you a sense of how different these run times are. In reality, your computer can do way more than 10 operations per second.
Each run time also has an example algorithm attached. Check out selection sort, which you learned in chapter 2. It’s O(n2). That’s a pretty slow algorithm.
There’s another sorting algorithm called merge sort, which is O(n log n). Much faster! Quicksort is a tricky case. In the worst case, quicksort takes O(n2) time.
It’s as slow as selection sort! But that’s the worst case. In the average case, quicksort takes O(n log n) time. So you might be wondering:
Suppose you have this simple function to print every item in a list:
def print_items(list):
for item in list:
print item
This function goes through every item in the list and prints it out. Because it loops over the whole list once, this function runs in O(n) time. Now, suppose you change this function so it sleeps for 1 second before it prints out an item:
from time import sleep
def print_items2(list):
for item in list:
sleep(1)
print item
Before it prints out an item, it will pause for 1 second. Suppose you print a list of five items using both functions.

Both functions loop through the list once, so they’re both O(n) time. Which one do you think will be faster in practice? I think print_items will be much faster because it doesn’t pause for 1 second before printing an item. So even though both functions are the same speed in Big O notation, print_items is faster in practice. When you write Big O notation like O(n), it really means this.

c is some fixed amount of time that your algorithm takes. It’s called the constant. For example, it might be 10 milliseconds * n for print_items versus 1 second * n for print_items2.
You usually ignore that constant, because if two algorithms have different Big O times, the constant doesn’t matter. Take binary search and simple search, for example. Suppose both algorithms had these constants.

You might say, “Wow! Simple search has a constant of 10 milliseconds, but binary search has a constant of 1 second. Simple search is way faster!” Now suppose you’re searching a list of 4 billion elements. Here are the times.

As you can see, binary search is still way faster. That constant didn’t make a difference at all.
But sometimes the constant can make a difference. Quicksort versus merge sort is one example. Quicksort has a smaller constant than merge sort. So if they’re both O(n log n) time, quicksort is faster. And quicksort is faster in practice because it hits the average case way more often than the worst case.
So now you’re wondering: what’s the average case versus the worst case?
The performance of quicksort heavily depends on the pivot you choose. Suppose you always choose the first element as the pivot. And you call quicksort with an array that is already sorted. Quicksort doesn’t check to see whether the input array is already sorted. So it will still try to sort it.

Notice how you’re not splitting the array into two halves. Instead, one of the sub-arrays is always empty. So the call stack is really long. Now instead, suppose you always picked the middle element as the pivot. Look at the call stack now.

It’s so short! Because you divide the array in half every time, you don’t need to make as many recursive calls. You hit the base case sooner, and the call stack is much shorter.
The first example you saw is the worst-case scenario, and the second example is the best-case scenario. In the worst case, the stack size is O(n). In the best case, the stack size is O(log n).
Now look at the first level in the stack. You pick one element as the pivot, and the rest of the elements are divided into sub-arrays. You touch all eight elements in the array. So this first operation takes O(n) time. You touched all eight elements on this level of the call stack. But actually, you touch O(n) elements on every level of the call stack.

Even if you partition the array differently, you’re still touching O(n) elements every time.

So each level takes O(n) time to complete.

In this example, there are O(log n) levels (the technical way to say that is, “The height of the call stack is O(log n)”). And each level takes O(n) time. The entire algorithm will take O(n) * O(log n) = O(n log n) time. This is the best-case scenario.
In the worst case, there are O(n) levels, so the algorithm will take O(n) * O(n) = O(n2) time.
Well, guess what? I’m here to tell you that the best case is also the average case. If you always choose a random element in the array as the pivot, quicksort will complete in O(n log n) time on average. Quicksort is one of the fastest sorting algorithms out there, and it’s a very good example of D&C.
How long would each of these operations take in Big O notation?
Printing the value of each element in an array.
Doubling the value of each element in an array.
Doubling the value of just the first element in an array.
Creating a multiplication table with all the elements in the array. So if your array is [2, 3, 7, 8, 10], you first multiply every element by 2, then multiply every element by 3, then by 7, and so on.


Suppose you work at a grocery store. When a customer buys produce, you have to look up the price in a book. If the book is unalphabetized, it can take you a long time to look through every single line for apple. You’d be doing simple search from chapter 1, where you have to look at every line. Do you remember how long that would take? O(n) time. If the book is alphabetized, you could run binary search to find the price of an apple. That would only take O(log n) time.


As a reminder, there’s a big difference between O(n) and O(log n) time! Suppose you could look through 10 lines of the book per second. Here’s how long simple search and binary search would take you.

You already know that binary search is darn fast. But as a cashier, looking things up in a book is a pain, even if the book is sorted. You can feel the customer steaming up as you search for items in the book. What you really need is a buddy who has all the names and prices memorized. Then you don’t need to look up anything: you ask her, and she tells you the answer instantly.

Your buddy Maggie can give you the price in O(1) time for any item, no matter how big the book is. She’s even faster than binary search.

What a wonderful person! How do you get a “Maggie”?
Let’s put on our data structure hats. You know two data structures so far: arrays and lists (I won’t talk about stacks because you can’t really “search” for something in a stack). You could implement this book as an array.

Each item in the array is really two items: one is the name of a kind of produce, and the other is the price. If you sort this array by name, you can run binary search on it to find the price of an item. So you can find items in O(log n) time. But you want to find items in O(1) time. That is, you want to make a “Maggie.” That’s where hash functions come in.
A hash function is a function where you put in a string[1] and you get back a number.
String here means any kind of data—a sequence of bytes.

In technical terminology, we’d say that a hash function “maps strings to numbers.” You might think there’s no discernable pattern to what number you get out when you put a string in. But there are some requirements for a hash function:
So a hash function maps strings to numbers. What is that good for? Well, you can use it to make your “Maggie”!
Start with an empty array:

You’ll store all of your prices in this array. Let’s add the price of an apple. Feed “apple” into the hash function.

The hash function outputs “3”. So let’s store the price of an apple at index 3 in the array.

Let’s add milk. Feed “milk” into the hash function.

The hash function says “0”. Let’s store the price of milk at index 0.

Keep going, and eventually the whole array will be full of prices.

Now you ask, “Hey, what’s the price of an avocado?” You don’t need to search for it in the array. Just feed “avocado” into the hash function.

It tells you that the price is stored at index 4. And sure enough, there it is.

The hash function tells you exactly where the price is stored, so you don’t have to search at all! This works because
You just built a “Maggie”! Put a hash function and an array together, and you get a data structure called a hash table. A hash table is the first data structure you’ll learn that has some extra logic behind it. Arrays and lists map straight to memory, but hash tables are smarter. They use a hash function to intelligently figure out where to store elements.
Hash tables are probably the most useful complex data structure you’ll learn. They’re also known as hash maps, maps, dictionaries, and associative arrays. And hash tables are fast! Remember our discussion of arrays and linked lists back in chapter 2? You can get an item from an array instantly. And hash tables use an array to store the data, so they’re equally fast.
You’ll probably never have to implement hash tables yourself. Any good language will have an implementation for hash tables. Python has hash tables; they’re called dictionaries. You can make a new hash table using the dict function:
>>> book = dict()

book is a new hash table. Let’s add some prices to book:


Pretty easy! Now let’s ask for the price of an avocado:

A hash table has keys and values. In the book hash, the names of produce are the keys, and their prices are the values. A hash table maps keys to values.
In the next section, you’ll see some examples where hash tables are really useful.
It’s important for hash functions to consistently return the same output for the same input. If they don’t, you won’t be able to find your item after you put it in the hash table!
Which of these hash functions are consistent?

Hash tables are used everywhere. This section will show you a few use cases.
Your phone has a handy phonebook built in.
Each name has a phone number associated with it.


Suppose you want to build a phone book like this. You’re mapping people’s names to phone numbers. Your phone book needs to have this functionality:
This is a perfect use case for hash tables! Hash tables are great when you want to
Building a phone book is pretty easy. First, make a new hash table:
>>> phone_book = dict()
By the way, Python has a shortcut for making a new hash table. You can use two curly braces:

Let’s add the phone numbers of some people into this phone book:
>>> phone_book["jenny"] = 8675309 >>> phone_book["emergency"] = 911
That’s all there is to it! Now, suppose you want to find Jenny’s phone number. Just pass the key in to the hash:


Imagine if you had to do this using an array instead. How would you do it? Hash tables make it easy to model a relationship from one item to another.
Hash tables are used for lookups on a much larger scale. For example, suppose you go to a website like http://adit.io. Your computer has to translate adit.io to an IP address.

For any website you go to, the address has to be translated to an IP address.

Wow, mapping a web address to an IP address? Sounds like a perfect use case for hash tables! This process is called DNS resolution. Hash tables are one way to provide this functionality.

Suppose you’re running a voting booth. Naturally, every person can vote just once. How do you make sure they haven’t voted before? When someone comes in to vote, you ask for their full name. Then you check it against the list of people who have voted.

If their name is on the list, this person has already voted—kick them out! Otherwise, you add their name to the list and let them vote. Now suppose a lot of people have come in to vote, and the list of people who have voted is really long.

Each time someone new comes in to vote, you have to scan this giant list to see if they’ve already voted. But there’s a better way: use a hash!
First, make a hash to keep track of the people who have voted:
>>> voted = {}
When someone new comes in to vote, check if they’re already in the hash:
>>> value = voted.get("tom")
The get function returns the value if “tom” is in the hash table. Otherwise, it returns None. You can use this to check if someone has already voted!

Here’s the code:
voted = {}
def check_voter(name):
if voted.get(name):
print "kick them out!"
else:
voted[name] = True
print "let them vote!"
Let’s test it a few times:
>>> check_voter("tom")
let them vote!
>>> check_voter("mike")
let them vote!
>>> check_voter("mike")
kick them out!
The first time Tom goes in, this will print, “let them vote!” Then Mike goes in, and it prints, “let them vote!” Then Mike tries to go a second time, and it prints, “kick them out!”
Remember, if you were storing these names in a list of people who have voted, this function would eventually become really slow, because it would have to run a simple search over the entire list. But you’re storing their names in a hash table instead, and a hash table instantly tells you whether this person’s name is in the hash table or not. Checking for duplicates is very fast with a hash table.

One final use case: caching. If you work on a website, you may have heard of caching before as a good thing to do. Here’s the idea. Suppose you visit facebook.com:

For example, on Facebook, the server may be collecting all of your friends’ activity to show you. It takes a couple of seconds to collect all that activity and shows it to you. That couple of seconds can feel like a long time as a user. You might think, “Why is Facebook being so slow?” On the other hand, Facebook’s servers have to serve millions of people, and that couple of seconds adds up for them. Facebook’s servers are really working hard to serve all of those websites. Is there a way to make Facebook faster and have its servers do less work at the same time?
Suppose you have a niece who keeps asking you about planets. “How far is Mars from Earth?” “How far is the Moon?” “How far is Jupiter?” Each time, you have to do a Google search and give her an answer. It takes a couple of minutes. Now, suppose she always asked, “How far is the Moon?” Pretty soon, you’d memorize that the Moon is 238,900 miles away. You wouldn’t have to look it up on Google ... you’d just remember and answer. This is how caching works: websites remember the data instead of recalculating it.
If you’re logged in to Facebook, all the content you see is tailored just for you. Each time you go to facebook.com, its servers have to think about what content you’re interested in. But if you’re not logged in to Facebook, you see the login page. Everyone sees the same login page. Facebook is asked the same thing over and over: “Give me the home page when I’m logged out.” So it stops making the server do work to figure out what the home page looks like. Instead, it memorizes what the home page looks like and sends it to you.

This is called caching. It has two advantages:
Caching is a common way to make things faster. All big websites use caching. And that data is cached in a hash!
Facebook isn’t just caching the home page. It’s also caching the About page, the Contact page, the Terms and Conditions page, and a lot more. So it needs a mapping from page URL to page data.

When you visit a page on Facebook, it first checks whether the page is stored in the hash.

Here it is in code:

Here, you make the server do work only if the URL isn’t in the cache. Before you return the data, though, you save it in the cache. The next time someone requests this URL, you can send the data from the cache instead of making the server do the work.
Like I said earlier, most languages have hash tables. You don’t need to know how to write your own. So, I won’t talk about the internals of hash tables too much. But you still care about performance! To understand the performance of hash tables, you first need to understand what collisions are. The next two sections cover collisions and performance.
First, I’ve been telling you a white lie. I told you that a hash function always maps different keys to different slots in the array.

In reality, it’s almost impossible to write a hash function that does this. Let’s take a simple example. Suppose your array contains 26 slots.

And your hash function is really simple: it assigns a spot in the array alphabetically.


Maybe you can already see the problem. You want to put the price of apples in your hash. You get assigned the first slot.
Then you want to put the price of bananas in the hash. You get assigned the second slot.

Everything is going so well! But now you want to put the price of avocados in your hash. You get assigned the first slot again.

Oh no! Apples have that slot already! What to do? This is called a collision: two keys have been assigned the same slot. This is a problem. If you store the price of avocados at that slot, you’ll overwrite the price of apples. Then the next time someone asks for the price of apples, they will get the price of avocados instead! Collisions are bad, and you need to work around them. There are many different ways to deal with collisions. The simplest one is this: if multiple keys map to the same slot, start a linked list at that slot.

In this example, both “apple” and “avocado” map to the same slot. So you start a linked list at that slot. If you need to know the price of bananas, it’s still quick. If you need to know the price of apples, it’s a little slower. You have to search through this linked list to find “apple”. If the linked list is small, no big deal—you have to search through three or four elements. But suppose you work at a grocery store where you only sell produce that starts with the letter A.

Hey, wait a minute! The entire hash table is totally empty except for one slot. And that slot has a giant linked list! Every single element in this hash table is in the linked list. That’s as bad as putting everything in a linked list to begin with. It’s going to slow down your hash table.
There are two lessons here:
Hash functions are important. A good hash function will give you very few collisions. So how do you pick a good hash function? That’s coming up in the next section!
You started this chapter at the grocery store. You wanted to build something that would give you the prices for produce instantly. Well, hash tables are really fast.

In the average case, hash tables take O(1) for everything. O(1) is called constant time. You haven’t seen constant time before. It doesn’t mean instant. It means the time taken will stay the same, regardless of how big the hash table is. For example, you know that simple search takes linear time.

Binary search is faster—it takes log time:

Looking something up in a hash table takes constant time.

See how it’s a flat line? That means it doesn’t matter whether your hash table has 1 element or 1 billion elements—getting something out of a hash table will take the same amount of time. Actually, you’ve seen constant time before. Getting an item out of an array takes constant time. It doesn’t matter how big your array is; it takes the same amount of time to get an element. In the average case, hash tables are really fast.
In the worst case, a hash table takes O(n)—linear time—for everything, which is really slow. Let’s compare hash tables to arrays and lists.

Look at the average case for hash tables. Hash tables are as fast as arrays at searching (getting a value at an index). And they’re as fast as linked lists at inserts and deletes. It’s the best of both worlds! But in the worst case, hash tables are slow at all of those. So it’s important that you don’t hit worst-case performance with hash tables. And to do that, you need to avoid collisions. To avoid collisions, you need
Before you start this next section, know that this isn’t required reading. I’m going to talk about how to implement a hash table, but you’ll never have to do that yourself. Whatever programming language you use will have an implementation of hash tables built in. You can use the built-in hash table and assume it will have good performance. The next section gives you a peek under the hood.
The load factor of a hash table is easy to calculate.

Hash tables use an array for storage, so you count the number of occupied slots in an array. For example, this hash table has a load factor of ⅖, or 0.4.

What’s the load factor of this hash table?

If you said ⅓, you’re right. Load factor measures how many empty slots remain in your hash table.
Suppose you need to store the price of 100 produce items in your hash table, and your hash table has 100 slots. In the best case, each item will get its own slot.

This hash table has a load factor of 1. What if your hash table has only 50 slots? Then it has a load factor of 2. There’s no way each item will get its own slot, because there aren’t enough slots! Having a load factor greater than 1 means you have more items than slots in your array. Once the load factor starts to grow, you need to add more slots to your hash table. This is called resizing. For example, suppose you have this hash table that is getting pretty full.

You need to resize this hash table. First you create a new array that’s bigger. The rule of thumb is to make an array that is twice the size.

Now you need to re-insert all of those items into this new hash table using the hash function:

This new table has a load factor of ⅜. Much better! With a lower load factor, you’ll have fewer collisions, and your table will perform better. A good rule of thumb is, resize when your load factor is greater than 0.7.
You might be thinking, “This resizing business takes a lot of time!” And you’re right. Resizing is expensive, and you don’t want to resize too often. But averaged out, hash tables take O(1) even with resizing.
A good hash function distributes values in the array evenly.

A bad hash function groups values together and produces a lot of collisions.

What is a good hash function? That’s something you’ll never have to worry about—old men (and women) with big beards sit in dark rooms and worry about that. If you’re really curious, look up the SHA function (there’s a short description of it in the last chapter). You could use that as your hash function.
It’s important for hash functions to have a good distribution. They should map items as broadly as possible. The worst case is a hash function that maps all items to the same slot in the hash table.
Suppose you have these four hash functions that work with strings:
For each of these examples, which hash functions would provide a good distribution? Assume a hash table size of 10 slots.
A phonebook where the keys are names and values are phone numbers. The names are as follows: Esther, Ben, Bob, and Dan.
A mapping from battery size to power. The sizes are A, AA, AAA, and AAAA.
A mapping from book titles to authors. The titles are Maus, Fun Home, and Watchmen.
You’ll almost never have to implement a hash table yourself. The programming language you use should provide an implementation for you. You can use Python’s hash tables and assume that you’ll get the average case performance: constant time.
Hash tables are a powerful data structure because they’re so fast and they let you model data in a different way. You might soon find that you’re using them all the time:


This chapter introduces graphs. First, I’ll talk about what graphs are (they don’t involve an X or Y axis). Then I’ll show you your first graph algorithm. It’s called breadth-first search (BFS).
Breadth-first search allows you to find the shortest distance between two things. But shortest distance can mean a lot of things! You can use breadth-first search to
Graph algorithms are some of the most useful algorithms I know. Make sure you read the next few chapters carefully—these are algorithms you’ll be able to apply again and again.

Suppose you’re in San Francisco, and you want to go from Twin Peaks to the Golden Gate Bridge. You want to get there by bus, with the minimum number of transfers. Here are your options.

What’s your algorithm to find the path with the fewest steps?
Well, can you get there in one step? Here are all the places you can get to in one step.

The bridge isn’t highlighted; you can’t get there in one step. Can you get there in two steps?

Again, the bridge isn’t there, so you can’t get to the bridge in two steps. What about three steps?

Aha! Now the Golden Gate Bridge shows up. So it takes three steps to get from Twin Peaks to the bridge using this route.

There are other routes that will get you to the bridge too, but they’re longer (four steps). The algorithm found that the shortest route to the bridge is three steps long. This type of problem is called a shortest-path problem. You’re always trying to find the shortest something. It could be the shortest route to your friend’s house. It could be the smallest number of moves to checkmate in a game of chess. The algorithm to solve a shortest-path problem is called breadth-first search.
To figure out how to get from Twin Peaks to the Golden Gate Bridge, there are two steps:
1. Model the problem as a graph.
2. Solve the problem using breadth-first search.
Next I’ll cover what graphs are. Then I’ll go into breadth-first search in more detail.

A graph models a set of connections. For example, suppose you and your friends are playing poker, and you want to model who owes whom money. Here’s how you could say, “Alex owes Rama money.”

The full graph could look something like this.

Graph of people who owe other people poker money
Alex owes Rama money, Tom owes Adit money, and so on. Each graph is made up of nodes and edges.

That’s all there is to it! Graphs are made up of nodes and edges. A node can be directly connected to many other nodes. Those nodes are called its neighbors. In this graph, Rama is Alex’s neighbor. Adit isn’t Alex’s neighbor, because they aren’t directly connected. But Adit is Rama’s and Tom’s neighbor.
Graphs are a way to model how different things are connected to one another. Now let’s see breadth-first search in action.
We looked at a search algorithm in chapter 1: binary search. Breadth-first search is a different kind of search algorithm: one that runs on graphs. It can help answer two types of questions:
You already saw breadth-first search once, when you calculated the shortest route from Twin Peaks to the Golden Gate Bridge. That was a question of type 2: “What is the shortest path?” Now let’s look at the algorithm in more detail. You’ll ask a question of type 1: “Is there a path?”

Suppose you’re the proud owner of a mango farm. You’re looking for a mango seller who can sell your mangoes. Are you connected to a mango seller on Facebook? Well, you can search through your friends.

This search is pretty straightforward. First, make a list of friends to search.

Now, go to each person in the list and check whether that person sells mangoes.

Suppose none of your friends are mango sellers. Now you have to search through your friends’ friends.

Each time you search for someone from the list, add all of their friends to the list.

This way, you not only search your friends, but you search their friends, too. Remember, the goal is to find one mango seller in your network. So if Alice isn’t a mango seller, you add her friends to the list, too. That means you’ll eventually search her friends—and then their friends, and so on. With this algorithm, you’ll search your entire network until you come across a mango seller. This algorithm is breadth-first search.
As a recap, these are the two questions that breadth-first search can answer for you:
You saw how to answer question 1; now let’s try to answer question 2. Can you find the closest mango seller? For example, your friends are first-degree connections, and their friends are second-degree connections.

You’d prefer a first-degree connection to a second-degree connection, and a second-degree connection to a third-degree connection, and so on. So you shouldn’t search any second-degree connections before you make sure you don’t have a first-degree connection who is a mango seller. Well, breadth-first search already does this! The way breadth-first search works, the search radiates out from the starting point. So you’ll check first-degree connections before second-degree connections. Pop quiz: who will be checked first, Claire or Anuj? Answer: Claire is a first-degree connection, and Anuj is a second-degree connection. So Claire will be checked before Anuj.

Another way to see this is, first-degree connections are added to the search list before second-degree connections.
You just go down the list and check people to see whether each one is a mango seller. The first-degree connections will be searched before the second-degree connections, so you’ll find the mango seller closest to you. Breadth-first search not only finds a path from A to B, it also finds the shortest path.
Notice that this only works if you search people in the same order in which they’re added. That is, if Claire was added to the list before Anuj, Claire needs to be searched before Anuj. What happens if you search Anuj before Claire, and they’re both mango sellers? Well, Anuj is a second-degree contact, and Claire is a first-degree contact. You end up with a mango seller who isn’t the closest to you in your network. So you need to search people in the order that they’re added. There’s a data structure for this: it’s called a queue.

A queue works exactly like it does in real life. Suppose you and your friend are queueing up at the bus stop. If you’re before him in the queue, you get on the bus first. A queue works the same way. Queues are similar to stacks. You can’t access random elements in the queue. Instead, there are two only operations, enqueue and dequeue.

If you enqueue two items to the list, the first item you added will be dequeued before the second item. You can use this for your search list! People who are added to the list first will be dequeued and searched first.
The queue is called a FIFO data structure: First In, First Out. In contrast, a stack is a LIFO data structure: Last In, First Out.

Now that you know how a queue works, let’s implement breadth-first search!
Run the breadth-first search algorithm on each of these graphs to find the solution.
Find the length of the shortest path from start to finish.
Find the length of the shortest path from “cab” to “bat”.
First, you need to implement the graph in code. A graph consists of several nodes.

And each node is connected to neighboring nodes. How do you express a relationship like “you -> bob”? Luckily, you know a data structure that lets you express relationships: a hash table!
Remember, a hash table allows you to map a key to a value. In this case, you want to map a node to all of its neighbors.

Here’s how you’d write it in Python:
graph = {}
graph["you"] = ["alice", "bob", "claire"]
Notice that “you” is mapped to an array. So graph["you"] will give you an array of all the neighbors of “you”.
A graph is just a bunch of nodes and edges, so this is all you need to have a graph in Python. What about a bigger graph, like this one?

graph = {}
graph["you"] = ["alice", "bob", "claire"]
graph["bob"] = ["anuj", "peggy"]
graph["alice"] = ["peggy"]
graph["claire"] = ["thom", "jonny"]
graph["anuj"] = []
graph["peggy"] = []
graph["thom"] = []
graph["jonny"] = []
Pop quiz: does it matter what order you add the key/value pairs in? Does it matter if you write
graph["claire"] = ["thom", "jonny"] graph["anuj"] = []
instead of
graph["anuj"] = [] graph["claire"] = ["thom", "jonny"]
Think back to the previous chapter. Answer: It doesn’t matter. Hash tables have no ordering, so it doesn’t matter what order you add key/value pairs in.
Anuj, Peggy, Thom, and Jonny don’t have any neighbors. They have arrows pointing to them, but no arrows from them to someone else. This is called a directed graph—the relationship is only one way. So Anuj is Bob’s neighbor, but Bob isn’t Anuj’s neighbor. An undirected graph doesn’t have any arrows, and both nodes are each other’s neighbors. For example, both of these graphs are equal.

To recap, here’s how the implementation will work.

When updating queues, I use the terms enqueue and dequeue. You’ll also encounter the terms push and pop. Push is almost always the same thing as enqueue, and pop is almost always the same thing as dequeue.
Make a queue to start. In Python, you use the double-ended queue (deque) function for this:

Remember, graph["you"] will give you a list of all your neighbors, like ["alice", "bob", "claire"]. Those all get added to the search queue.


One final thing: you still need a person_is_seller function to tell you when someone is a mango seller. Here’s one:
def person_is_seller(name):
return name[-1] == 'm'
This function checks whether the person’s name ends with the letter m. If it does, they’re a mango seller. Kind of a silly way to do it, but it’ll do for this example. Now let’s see the breadth-first search in action.

And so on. The algorithm will keep going until either
Alice and Bob share a friend: Peggy. So Peggy will be added to the queue twice: once when you add Alice’s friends, and again when you add Bob’s friends. You’ll end up with two Peggys in the search queue.

But you only need to check Peggy once to see whether she’s a mango seller. If you check her twice, you’re doing unnecessary, extra work. So once you search a person, you should mark that person as searched and not search them again.
If you don’t do this, you could also end up in an infinite loop. Suppose the mango seller graph looked like this.

To start, the search queue contains all of your neighbors.

Now you check Peggy. She isn’t a mango seller, so you add all of her neighbors to the search queue.

Next, you check yourself. You’re not a mango seller, so you add all of your neighbors to the search queue.

And so on. This will be an infinite loop, because the search queue will keep going from you to Peggy.

Before checking a person, it’s important to make sure they haven’t been checked already. To do that, you’ll keep a list of people you’ve already checked.

Here’s the final code for breadth-first search, taking that into account:

Try running this code yourself. Maybe try changing the person_is_seller function to something more meaningful, and see if it prints what you expect.
If you search your entire network for a mango seller, that means you’ll follow each edge (remember, an edge is the arrow or connection from one person to another). So the running time is at least O(number of edges).
You also keep a queue of every person to search. Adding one person to the queue takes constant time: O(1). Doing this for every person will take O(number of people) total. Breadth-first search takes O(number of people + number of edges), and it’s more commonly written as O(V+E) (V for number of vertices, E for number of edges).
Here’s a small graph of my morning routine.

It tells you that I can’t eat breakfast until I’ve brushed my teeth. So “eat breakfast” depends on “brush teeth”.
On the other hand, showering doesn’t depend on brushing my teeth, because I can shower before I brush my teeth. From this graph, you can make a list of the order in which I need to do my morning routine:
Note that “shower” can be moved around, so this list is also valid:
For these three lists, mark whether each one is valid or invalid.
Here’s a larger graph. Make a valid list for this graph.
You could say that this list is sorted, in a way. If task A depends on task B, task A shows up later in the list. This is called a topological sort, and it’s a way to make an ordered list out of a graph. Suppose you’re planning a wedding and have a large graph full of tasks to do—and you’re not sure where to start. You could topologically sort the graph and get a list of tasks to do, in order.
Suppose you have a family tree.

This is a graph, because you have nodes (the people) and edges. The edges point to the nodes’ parents. But all the edges go down—it wouldn’t make sense for a family tree to have an edge pointing back up! That would be meaningless—your dad can’t be your grandfather’s dad!

This is called a tree. A tree is a special type of graph, where no edges ever point back.
Which of the following graphs are also trees?


In the last chapter, you figured out a way to get from point A to point B.

It’s not necessarily the fastest path. It’s the shortest path, because it has the least number of segments (three segments). But suppose you add travel times to those segments. Now you see that there’s a faster path.

You used breadth-first search in the last chapter. Breadth-first search will find you the path with the fewest segments (the first graph shown here). What if you want the fastest path instead (the second graph)? You can do that fastest with a different algorithm called Dijkstra’s algorithm.
Let’s see how it works with this graph.

Each segment has a travel time in minutes. You’ll use Dijkstra’s algorithm to go from start to finish in the shortest possible time.
If you ran breadth-first search on this graph, you’d get this shortest path.

But that path takes 7 minutes. Let’s see if you can find a path that takes less time! There are four steps to Dijkstra’s algorithm:
1. Find the “cheapest” node. This is the node you can get to in the least amount of time.
2. Update the costs of the neighbors of this node. I’ll explain what I mean by this shortly.
3. Repeat until you’ve done this for every node in the graph.
4. Calculate the final path.
Step 1: Find the cheapest node. You’re standing at the start, wondering if you should go to node A or node B. How long does it take to get to each node?

It takes 6 minutes to get to node A and 2 minutes to get to node B. The rest of the nodes, you don’t know yet.
Because you don’t know how long it takes to get to the finish yet, you put down infinity (you’ll see why soon). Node B is the closest node ... it’s 2 minutes away.

Step 2: Calculate how long it takes to get to all of node B’s neighbors by following an edge from B.

Hey, you just found a shorter path to node A! It used to take 6 minutes to get to node A.

But if you go through node B, there’s a path that only takes 5 minutes!

When you find a shorter path for a neighbor of B, update its cost. In this case, you found
Step 3: Repeat!
Step 1 again: Find the node that takes the least amount of time to get to. You’re done with node B, so node A has the next smallest time estimate.

Step 2 again: Update the costs for node A’s neighbors.

Woo, it takes 6 minutes to get to the finish now!
You’ve run Dijkstra’s algorithm for every node (you don’t need to run it for the finish node). At this point, you know

I’ll save the last step, calculating the final path, for the next section. For now, I’ll just show you what the final path is.

Breadth-first search wouldn’t have found this as the shortest path, because it has three segments. And there’s a way to get from the start to the finish in two segments.

In the last chapter, you used breadth-first search to find the shortest path between two points. Back then, “shortest path” meant the path with the fewest segments. But in Dijkstra’s algorithm, you assign a number or weight to each segment. Then Dijkstra’s algorithm finds the path with the smallest total weight.

To recap, Dijkstra’s algorithm has four steps:
1. Find the cheapest node. This is the node you can get to in the least amount of time.
2. Check whether there’s a cheaper path to the neighbors of this node. If so, update their costs.
3. Repeat until you’ve done this for every node in the graph.
4. Calculate the final path. (Coming up in the next section!)
I want to show you some more examples of Dijkstra’s algorithm in action. But first let me clarify some terminology.
When you work with Dijkstra’s algorithm, each edge in the graph has a number associated with it. These are called weights.

A graph with weights is called a weighted graph. A graph without weights is called an unweighted graph.

To calculate the shortest path in an unweighted graph, use breadth-first search. To calculate the shortest path in a weighted graph, use Dijkstra’s algorithm. Graphs can also have cycles. A cycle looks like this.

It means you can start at a node, travel around, and end up at the same node. Suppose you’re trying to find the shortest path in this graph that has a cycle.

Would it make sense to follow the cycle? Well, you can use the path that avoids the cycle.

Or you can follow the cycle.

You end up at node A either way, but the cycle adds more weight. You could even follow the cycle twice if you wanted.

But every time you follow the cycle, you’re just adding 8 to the total weight. So following the cycle will never give you the shortest path.
Finally, remember our conversation about directed versus undirected graphs from chapter 6?

An undirected graph means that both nodes point to each other. That’s a cycle!

With an undirected graph, each edge adds another cycle. Dijkstra’s algorithm only works with directed acyclic graphs, called DAGs for short.
Enough terminology, let’s look at another example! This is Rama.
Rama is trying to trade a music book for a piano.

“I’ll give you this poster for your book,” says Alex. “It’s a poster of my favorite band, Destroyer. Or I’ll give you this rare LP of Rick Astley for your book and $5 more.” “Ooh, I’ve heard that LP has a really great song,” says Amy. “I’ll trade you my guitar or drum set for the poster or the LP.”

“I’ve been meaning to get into guitar!” exclaims Beethoven. “Hey, I’ll trade you my piano for either of Amy’s things.”
Perfect! With a little bit of money, Rama can trade his way from a piano book to a real piano. Now he just needs to figure out how to spend the least amount of money to make those trades. Let’s graph out what he’s been offered.

In this graph, the nodes are all the items Rama can trade for. The weights on the edges are the amount of money he would have to pay to make the trade. So he can trade the poster for the guitar for $30, or trade the LP for the guitar for $15. How is Rama going to figure out the path from the book to the piano where he spends the least dough? Dijkstra’s algorithm to the rescue! Remember, Dijkstra’s algorithm has four steps. In this example, you’ll do all four steps, so you’ll calculate the final path at the end, too.

Before you start, you need some setup. Make a table of the cost for each node. The cost of a node is how expensive it is to get to.
You’ll keep updating this table as the algorithm goes on. To calculate the final path, you also need a parent column on this table.

I’ll show you how this column works soon. Let’s start the algorithm.
Step 1: Find the cheapest node. In this case, the poster is the cheapest trade, at $0. Is there a cheaper way to trade for the poster? This is a really important point, so think about it. Can you see a series of trades that will get Rama the poster for less than $0? Read on when you’re ready. Answer: No. Because the poster is the cheapest node Rama can get to, there’s no way to make it any cheaper. Here’s a different way to look at it. Suppose you’re traveling from home to work.

If you take the path toward the school, that takes 2 minutes. If you take the path toward the park, that takes 6 minutes. Is there any way you can take the path toward the park, and end up at the school, in less than 2 minutes? It’s impossible, because it takes longer than 2 minutes just to get to the park. On the other hand, can you find a faster path to the park? Yup.

This is the key idea behind Dijkstra’s algorithm: Look at the cheapest node on your graph. There is no cheaper way to get to this node!
Back to the music example. The poster is the cheapest trade.
Step 2: Figure out how long it takes to get to its neighbors (the cost).

You have prices for the bass guitar and the drum set in the table. Their value was set when you went through the poster, so the poster gets set as their parent. That means, to get to the bass guitar, you follow the edge from the poster, and the same for the drums.

Step 1 again: The LP is the next cheapest node at $5.
Step 2 again: Update the values of all of its neighbors.

Hey, you updated the price of both the drums and the guitar! That means it’s cheaper to get to the drums and guitar by following the edge from the LP. So you set the LP as the new parent for both instruments.
The bass guitar is the next cheapest item. Update its neighbors.

Ok, you finally have a price for the piano, by trading the guitar for the piano. So you set the guitar as the parent. Finally, the last node, the drum set.

Rama can get the piano even cheaper by trading the drum set for the piano instead. So the cheapest set of trades will cost Rama $35.
Now, as I promised, you need to figure out the path. So far, you know that the shortest path costs $35, but how do you figure out the path? To start with, look at the parent for piano.

The piano has drums as its parent. That means Rama trades the drums for the piano. So you follow this edge.
Let’s see how you’d follow the edges. Piano has drums as its parent.

And drums has the LP as its parent.

So Rama will trade the LP for the drums. And of course, he’ll trade the book for the LP. By following the parents backward, you now have the complete path.

Here’s the series of trades Rama needs to make.

So far, I’ve been using the term shortest path pretty literally: calculating the shortest path between two locations or between two people. I hope this example showed you that the shortest path doesn’t have to be about physical distance. It can be about minimizing something. In this case, Rama wanted to minimize the amount of money he spent. Thanks, Dijkstra!
In the trading example, Alex offered to trade the book for two items.

Suppose Sarah offers to trade the LP for the poster, and she’ll give Rama an additional $7. It doesn’t cost Rama anything to make this trade; instead, he gets $7 back. How would you show this on the graph?

The edge from the LP to the poster has a negative weight! Rama gets $7 back if he makes that trade. Now Rama has two ways to get to the poster.

So it makes sense to do the second trade—Rama gets $2 back that way! Now, if you remember, Rama can trade the poster for the drums. There are two paths he could take.

The second path costs him $2 less, so he should take that path, right? Well, guess what? If you run Dijkstra’s algorithm on this graph, Rama will take the wrong path. He’ll take the longer path. You can’t use Dijkstra’s algorithm if you have negative-weight edges. Negative-weight edges break the algorithm. Let’s see what happens when you run Dijkstra’s algorithm on this. First, make the table of costs.

Next, find the lowest-cost node, and update the costs for its neighbors. In this case, the poster is the lowest-cost node. So, according to Dijkstra’s algorithm, there is no cheaper way to get to the poster than paying $0 (you know that’s wrong!). Anyway, let’s update the costs for its neighbors.

Ok, the drums have a cost of $35 now.
Let’s get the next-cheapest node that hasn’t already been processed.

Update the costs for its neighbors.

You already processed the poster node, but you’re updating the cost for it. This is a big red flag. Once you process a node, it means there’s no cheaper way to get to that node. But you just found a cheaper way to the poster! Drums doesn’t have any neighbors, so that’s the end of the algorithm. Here are the final costs.

It costs $35 to get to the drums. You know that there’s a path that costs only $33, but Dijkstra’s algorithm didn’t find it. Dijkstra’s algorithm assumed that because you were processing the poster node, there was no faster way to get to that node. That assumption only works if you have no negative-weight edges. So you can’t use negative-weight edges with Dijkstra’s algorithm. If you want to find the shortest path in a graph that has negative-weight edges, there’s an algorithm for that! It’s called the Bellman-Ford algorithm. Bellman-Ford is out of the scope of this book, but you can find some great explanations online.
Let’s see how to implement Dijkstra’s algorithm in code. Here’s the graph I’ll use for the example.

To code this example, you’ll need three hash tables.

You’ll update the costs and parents hash tables as the algorithm progresses. First, you need to implement the graph. You’ll use a hash table like you did in chapter 6:
graph = {}
In the last chapter, you stored all the neighbors of a node in the hash table, like this:
graph["you"] = ["alice", "bob", "claire"]
But this time, you need to store the neighbors and the cost for getting to that neighbor. For example, Start has two neighbors, A and B.

How do you represent the weights of those edges? Why not just use another hash table?
graph["start"] = {}
graph["start"]["a"] = 6
graph["start"]["b"] = 2

So graph["start"] is a hash table. You can get all the neighbors for Start like this:
>>> print graph["start"].keys() ["a", "b"]
There’s an edge from Start to A and an edge from Start to B. What if you want to find the weights of those edges?
>>> print graph["start"]["a"] 2 >>> print graph["start"]["b"] 6
Let’s add the rest of the nodes and their neighbors to the graph:

The full graph hash table looks like this.

Next you need a hash table to store the costs for each node.
The cost of a node is how long it takes to get to that node from the start. You know it takes 2 minutes from Start to node B. You know it takes 6 minutes to get to node A (although you may find a path that takes less time). You don’t know how long it takes to get to the finish. If you don’t know the cost yet, you put down infinity. Can you represent infinity in Python? Turns out, you can:

infinity = float("inf")
Here’s the code to make the costs table:
infinity = float("inf")
costs = {}
costs["a"] = 6
costs["b"] = 2
costs["fin"] = infinity
You also need another hash table for the parents:

Here’s the code to make the hash table for the parents:
parents = {}
parents["a"] = "start"
parents["b"] = "start"
parents["fin"] = None
Finally, you need an array to keep track of all the nodes you’ve already processed, because you don’t need to process a node more than once:
processed = []
That’s all the setup. Now let’s look at the algorithm.

I’ll show you the code first and then walk through it. Here’s the code:

That’s Dijkstra’s algorithm in Python! I’ll show you the code for the function later. First, let’s see this find_lowest_cost_node algorithm code in action.
Find the node with the lowest cost.

Get the cost and neighbors of that node.

Loop through the neighbors.

Each node has a cost. The cost is how long it takes to get to that node from the start. Here, you’re calculating how long it would take to get to node A if you went Start > node B > node A, instead of Start > node A.

Let’s compare those costs.

You found a shorter path to node A! Update the cost.

The new path goes through node B, so set B as the new parent.

Ok, you’re back at the top of the loop. The next neighbor for is the Finish node.

How long does it take to get to the finish if you go through node B?

It takes 7 minutes. The previous cost was infinity minutes, and 7 minutes is less than that.

Set the new cost and the new parent for the Finish node.

Ok, you updated the costs for all the neighbors of node B. Mark it as processed.

Find the next node to process.

Get the cost and neighbors for node A.

Node A only has one neighbor: the Finish node.

Currently it takes 7 minutes to get to the Finish node. How long would it take to get there if you went through node A?

It’s faster to get to Finish from node A! Let’s update the cost and parent.

Once you’ve processed all the nodes, the algorithm is over. I hope the walkthrough helped you understand the algorithm a little better. Finding the lowest-cost node is pretty easy with the find_lowest_cost_node function. Here it is in code:

In each of these graphs, what is the weight of the shortest path from start to finish?


Suppose you have a classroom and want to hold as many classes here as possible. You get a list of classes.

You can’t hold all of these classes in there, because some of them overlap.

You want to hold as many classes as possible in this classroom. How do you pick what set of classes to hold, so that you get the biggest set of classes possible?
Sounds like a hard problem, right? Actually, the algorithm is so easy, it might surprise you. Here’s how it works:
Keep doing this, and you’ll end up with the answer! Let’s try it out. Art ends the soonest, at 10:00 a.m., so that’s one of the classes you pick.

Now you need the next class that starts after 10:00 a.m. and ends the soonest.

English is out because it conflicts with Art, but Math works.
Finally, CS conflicts with Math, but Music works.

So these are the three classes you’ll hold in this classroom.

A lot of people tell me that this algorithm seems easy. It’s too obvious, so it must be wrong. But that’s the beauty of greedy algorithms: they’re easy! A greedy algorithm is simple: at each step, pick the optimal move. In this case, each time you pick a class, you pick the class that ends the soonest. In technical terms: at each step you pick the locally optimal solution, and in the end you’re left with the globally optimal solution. Believe it or not, this simple algorithm finds the optimal solution to this scheduling problem!
Obviously, greedy algorithms don’t always work. But they’re simple to write! Let’s look at another example.

Suppose you’re a greedy thief. You’re in a store with a knapsack, and there are all these items you can steal. But you can only take what you can fit in your knapsack. The knapsack can hold 35 pounds.

You’re trying to maximize the value of the items you put in your knapsack. What algorithm do you use?
Again, the greedy strategy is pretty simple:
Except this time, it doesn’t work! For example, suppose there are three items you can steal.

Your knapsack can hold 35 pounds of items. The stereo system is the most expensive, so you steal that. Now you don’t have space for anything else.

You got $3,000 worth of goods. But wait! If you’d picked the laptop and the guitar instead, you could have had $3,500 worth of loot!

Clearly, the greedy strategy doesn’t give you the optimal solution here. But it gets you pretty close. In the next chapter, I’ll explain how to calculate the correct solution. But if you’re a thief in a shopping center, you don’t care about perfect. “Pretty good” is good enough.
Here’s the takeaway from this second example: sometimes, perfect is the enemy of good. Sometimes all you need is an algorithm that solves the problem pretty well. And that’s where greedy algorithms shine, because they’re simple to write and usually get pretty close.
You work for a furniture company, and you have to ship furniture all over the country. You need to pack your truck with boxes. All the boxes are of different sizes, and you’re trying to maximize the space you use in each truck. How would you pick boxes to maximize space? Come up with a greedy strategy. Will that give you the optimal solution?
You’re going to Europe, and you have seven days to see everything you can. You assign a point value to each item (how much you want to see it) and estimate how long it takes. How can you maximize the point total (seeing all the things you really want to see) during your stay? Come up with a greedy strategy. Will that give you the optimal solution?
Let’s look at one last example. This is an example where greedy algorithms are absolutely necessary.

Suppose you’re starting a radio show. You want to reach listeners in all 50 states. You have to decide what stations to play on to reach all those listeners. It costs money to be on each station, so you’re trying to minimize the number of stations you play on. You have a list of stations.

Each station covers a region, and there’s overlap.

How do you figure out the smallest set of stations you can play on to cover all 50 states? Sounds easy, doesn’t it? Turns out it’s extremely hard. Here’s how to do it:

The problem is, it takes a long time to calculate every possible subset of stations. It takes O(2^n) time, because there are 2^n stations. It’s possible to do if you have a small set of 5 to 10 stations. But with all the examples here, think about what will happen if you have a lot of items. It takes much longer if you have more stations. Suppose you can calculate 10 subsets per second.
There’s no algorithm that solves it fast enough! What can you do?

Greedy algorithms to the rescue! Here’s a greedy algorithm that comes pretty close:
This is called an approximation algorithm. When calculating the exact solution will take too much time, an approximation algorithm will work. Approximation algorithms are judged by
Greedy algorithms are a good choice because not only are they simple to come up with, but that simplicity means they usually run fast, too. In this case, the greedy algorithm runs in O(n^2) time, where n is the number of radio stations.
Let’s see how this problem looks in code.
For this example, I’m going to use a subset of the states and the stations to keep things simple.
First, make a list of the states you want to cover:

I used a set for this. A set is like a list, except that each item can show up only once in a set. Sets can’t have duplicates. For example, suppose you had this list:
>>> arr = [1, 2, 2, 3, 3, 3]
And you converted it to a set:
>>> set(arr) set([1, 2, 3])
1, 2, and 3 all show up just once in a set.

You also need the list of stations that you’re choosing from. I chose to use a hash for this:
stations = {}
stations["kone"] = set(["id", "nv", "ut"])
stations["ktwo"] = set(["wa", "id", "mt"])
stations["kthree"] = set(["or", "nv", "ca"])
stations["kfour"] = set(["nv", "ut"])
stations["kfive"] = set(["ca", "az"])
The keys are station names, and the values are the states they cover. So in this example, the kone station covers Idaho, Nevada, and Utah. All the values are sets, too. Making everything a set will make your life easier, as you’ll see soon.
Finally, you need something to hold the final set of stations you’ll use:
final_stations = set()
Now you need to calculate what stations you’ll use. Take a look at the image at right, and see if you can predict what stations you should use.

There can be more than one correct solution. You need to go through every station and pick the one that covers the most uncovered states. I’ll call this best_station:
best_station = None states_covered = set() for station, states_for_station in stations.items():
states_covered is a set of all the states this station covers that haven’t been covered yet. The for loop allows you to loop over every station to see which one is the best station. Let’s look at the body of the for loop:

There’s a funny-looking line here:
covered = states_needed & states_for_station
What’s going on?
Suppose you have a set of fruits.

You also have a set of vegetables.

When you have two sets, you can do some fun things with them.
Here are some things you can do with sets.

For example:

Let’s get back to the original example.
This is a set intersection:
covered = states_needed & states_for_station
covered is a set of states that were in both states_needed and states_for_station. So covered is the set of uncovered states that this station covers! Next you check whether this station covers more states than the current best_station:
if len(covered) > len(states_covered): best_station = station states_covered = covered

If so, this station is the new best_station. Finally, after the for loop is over, you add best_station to the final list of stations:
final_stations.add(best_station)
You also need to update states_needed. Because this station covers some states, those states aren’t needed anymore:
states_needed -= states_covered
And you loop until states_needed is empty. Here’s the full code for the loop:
while states_needed:
best_station = None
states_covered = set()
for station, states in stations.items():
covered = states_needed & states
if len(covered) > len(states_covered):
best_station = station
states_covered = covered
states_needed -= states_covered
final_stations.add(best_station)
Finally, you can print final_stations, and you should see this:
>>> print final_stations set(['ktwo', 'kthree', 'kone', 'kfive'])
Is that what you expected? Instead of stations 1, 2, 3, and 5, you could have chosen stations 2, 3, 4, and 5. Let’s compare the run time of the greedy algorithm to the exact algorithm.

For each of these algorithms, say whether it’s a greedy algorithm or not.
Quicksort
Breadth-first search
Dijkstra’s algorithm
To solve the set-covering problem, you had to calculate every possible set.

Maybe you were reminded of the traveling salesperson problem from chapter 1. In this problem, a salesperson has to visit five different cities.

And he’s trying to figure out the shortest route that will take him to all five cities. To find the shortest route, you first have to calculate every possible route.

How many routes do you have to calculate for five cities?
Let’s start small. Suppose you only have two cities. There are two routes to choose from.

You may think this should be the same route. After all, isn’t SF > Marin the same distance as Marin > SF? Not necessarily. Some cities (like San Francisco) have a lot of one-way streets, so you can’t go back the way you came. You might also have to go 1 or 2 miles out of the way to find an on-ramp to a highway. So these two routes aren’t necessarily the same.
You may be wondering, “In the traveling salesperson problem, is there a specific city you need to start from?” For example, let’s say I’m the traveling salesperson. I live in San Francisco, and I need to go to four other cities. San Francisco would be my start city.
But sometimes the start city isn’t set. Suppose you’re FedEx, trying to deliver a package to the Bay Area. The package is being flown in from Chicago to one of 50 FedEx locations in the Bay Area. Then that package will go on a truck that will travel to different locations delivering packages. Which location should it get flown to? Here the start location is unknown. It’s up to you to compute the optimal path and start location for the traveling salesperson.
The running time for both versions is the same. But it’s an easier example if there’s no defined start city, so I’ll go with that version.
Two cities = two possible routes.
Now suppose you add one more city. How many possible routes are there?
If you start at Berkeley, you have two more cities to visit.

There are six total routes, two for each city you can start at.

So three cities = six possible routes.
Let’s add another city, Fremont. Now suppose you start at Fremont.

There are six possible routes starting from Fremont. And hey! They look a lot like the six routes you calculated earlier, when you had only three cities. Except now all the routes have an additional city, Fremont! There’s a pattern here. Suppose you have four cities, and you pick a start city, Fremont. There are three cities left. And you know that if there are three cities, there are six different routes for getting between those cities. If you start at Fremont, there are six possible routes. You could also start at one of the other cities.

Four possible start cities, with six possible routes for each start city = 4 * 6 = 24 possible routes.
Do you see a pattern? Every time you add a new city, you’re increasing the number of routes you have to calculate.

How many possible routes are there for six cities? If you guessed 720, you’re right. 5,040 for 7 cities, 40,320 for 8 cities.
This is called the factorial function (remember reading about this in chapter 3?). So 5! = 120. Suppose you have 10 cities. How many possible routes are there? 10! = 3,628,800. You have to calculate over 3 million possible routes for 10 cities. As you can see, the number of possible routes becomes big very fast! This is why it’s impossible to compute the “correct” solution for the traveling-salesperson problem if you have a large number of cities.
The traveling-salesperson problem and the set-covering problem both have something in common: you calculate every possible solution and pick the smallest/shortest one. Both of these problems are NP-complete.
What’s a good approximation algorithm for the traveling salesperson? Something simple that finds a short path. See if you can come up with an answer before reading on.
Here’s how I would do it: arbitrarily pick a start city. Then, each time the salesperson has to pick the next city to visit, they pick the closest unvisited city. Suppose they start in Marin.

Total distance: 71 miles. Maybe it’s not the shortest path, but it’s still pretty short.
Here’s the short explanation of NP-completeness: some problems are famously hard to solve. The traveling salesperson and the set-covering problem are two examples. A lot of smart people think that it’s not possible to write an algorithm that will solve these problems quickly.
Jonah is picking players for his fantasy football team. He has a list of abilities he wants: good quarterback, good running back, good in rain, good under pressure, and so on. He has a list of players, where each player fulfills some abilities.


Jonah needs a team that fulfills all his abilities, and the team size is limited. “Wait a second,” Jonah realizes. “This is a set-covering problem!”

Jonah can use the same approximation algorithm to create his team:
NP-complete problems show up everywhere! It’s nice to know if the problem you’re trying to solve is NP-complete. At that point, you can stop trying to solve it perfectly, and solve it using an approximation algorithm instead. But it’s hard to tell if a problem you’re working on is NP-complete. Usually there’s a very small difference between a problem that’s easy to solve and an NP-complete problem. For example, in the previous chapters, I talked a lot about shortest paths. You know how to calculate the shortest way to get from point A to point B.

But if you want to find the shortest path that connects several points, that’s the traveling-salesperson problem, which is NP-complete. The short answer: there’s no easy way to tell if the problem you’re working on is NP-complete. Here are some giveaways:
A postman needs to deliver to 20 homes. He needs to find the shortest route that goes to all 20 homes. Is this an NP-complete problem?
Finding the largest clique in a set of people (a clique is a set of people who all know each other). Is this an NP-complete problem?
You’re making a map of the USA, and you need to color adjacent states with different colors. You have to find the minimum number of colors you need so that no two adjacent states are the same color. Is this an NP-complete problem?


Let’s revisit the knapsack problem from chapter 8. You’re a thief with a knapsack that can carry 4 lb of goods.
You have three items that you can put into the knapsack.

What items should you steal so that you steal the maximum money’s worth of goods?
The simplest algorithm is this: you try every possible set of goods and find the set that gives you the most value.

This works, but it’s really slow. For 3 items, you have to calculate 8 possible sets. For 4 items, you have to calculate 16 sets. With every item you add, the number of sets you have to calculate doubles! This algorithm takes O(2^n) time, which is very, very slow.

That’s impractical for any reasonable number of goods. In chapter 8, you saw how to calculate an approximate solution. That solution will be close to the optimal solution, but it may not be the optimal solution.
So how do you calculate the optimal solution?
Answer: With dynamic programming! Let’s see how the dynamic-programming algorithm works here. Dynamic programming starts by solving subproblems and builds up to solving the big problem.
For the knapsack problem, you’ll start by solving the problem for smaller knapsacks (or “sub-knapsacks”) and then work up to solving the original problem.

Dynamic programming is a hard concept, so don’t worry if you don’t get it right away. We’re going to look at a lot of examples.
I’ll start by showing you the algorithm in action first. After you’ve seen it in action once, you’ll have a lot of questions! I’ll do my best to address every question.
Every dynamic-programming algorithm starts with a grid. Here’s a grid for the knapsack problem.

The rows of the grid are the items, and the columns are knapsack weights from 1 lb to 4 lb. You need all of those columns because they will help you calculate the values of the sub-knapsacks.
The grid starts out empty. You’re going to fill in each cell of the grid. Once the grid is filled in, you’ll have your answer to this problem! Please follow along. Make your own grid, and we’ll fill it out together.
I’ll show you the exact formula for calculating this grid later. Let’s do a walkthrough first. Start with the first row.

This is the guitar row, which means you’re trying to fit the guitar into the knapsack. At each cell, there’s a simple decision: do you steal the guitar or not? Remember, you’re trying to find the set of items to steal that will give you the most value.
The first cell has a knapsack of capacity 1 lb. The guitar is also 1 lb, which means it fits into the knapsack! So the value of this cell is $1,500, and it contains a guitar.
Let’s start filling in the grid.

Like this, each cell in the grid will contain a list of all the items that fit into the knapsack at that point.
Let’s look at the next cell. Here you have a knapsack of capacity 2 lb. Well, the guitar will definitely fit in there!

The same for the rest of the cells in this row. Remember, this is the first row, so you have only the guitar to choose from. You’re pretending that the other two items aren’t available to steal right now.

At this point, you’re probably confused. Why are you doing this for knapsacks with a capacity of 1 lb, 2 lb, and so on, when the problem talks about a 4 lb knapsack? Remember how I told you that dynamic programming starts with a small problem and builds up to the big problem? You’re solving subproblems here that will help you to solve the big problem. Read on, and things will become clearer.
At this point, your grid should look like this.

Remember, you’re trying to maximize the value of the knapsack. This row represents the current best guess for this max. So right now, according to this row, if you had a knapsack of capacity 4 lb, the max value you could put in there would be $1,500.

You know that’s not the final solution. As we go through the algorithm, you’ll refine your estimate.
Let’s do the next row. This one is for the stereo. Now that you’re on the second row, you can steal the stereo or the guitar. At every row, you can steal the item at that row or the items in the rows above it. So you can’t choose to steal the laptop right now, but you can steal the stereo and/or the guitar. Let’s start with the first cell, a knapsack of capacity 1 lb. The current max value you can fit into a knapsack of 1 lb is $1,500.

Should you steal the stereo or not?
You have a knapsack of capacity 1 lb. Will the stereo fit in there? Nope, it’s too heavy! Because you can’t fit the stereo, $1,500 remains the max guess for a 1 lb knapsack.

Same thing for the next two cells. These knapsacks have a capacity of 2 lb and 3 lb. The old max value for both was $1,500.

The stereo still doesn’t fit, so your guesses remain unchanged.
What if you have a knapsack of capacity 4 lb? Aha: the stereo finally fits! The old max value was $1,500, but if you put the stereo in there instead, the value is $3,000! Let’s take the stereo.

You just updated your estimate! If you have a 4 lb knapsack, you can fit at least $3,000 worth of goods in it. You can see from the grid that you’re incrementally updating your estimate.

Let’s do the same thing with the laptop! The laptop weighs 3 lb, so it won’t fit into a 1 lb or a 2 lb knapsack. The estimate for the first two cells stays at $1,500.

At 3 lb, the old estimate was $1,500. But you can choose the laptop instead, and that’s worth $2,000. So the new max estimate is $2,000!

At 4 lb, things get really interesting. This is an important part. The current estimate is $3,000. You can put the laptop in the knapsack, but it’s only worth $2,000.

Hmm, that’s not as good as the old estimate. But wait! The laptop weighs only 3 lb, so you have 1 lb free! You could put something in this 1 lb.

What’s the maximum value you can fit into 1 lb of space? Well, you’ve been calculating it all along.

According to the last best estimate, you can fit the guitar into that 1 lb space, and that’s worth $1,500. So the real comparison is as follows.

You might have been wondering why you were calculating max values for smaller knapsacks. I hope now it makes sense! When you have space left over, you can use the answers to those subproblems to figure out what will fit in that space. It’s better to take the laptop + the guitar for $3,500.
The final grid looks like this.

There’s the answer: the maximum value that will fit in the knapsack is $3,500, made up of a guitar and a laptop!
Maybe you think that I used a different formula to calculate the value of that last cell. That’s because I skipped some unnecessary complexity when filling in the values of the earlier cells. Each cell’s value gets calculated with the same formula. Here it is.

You can use this formula with every cell in this grid, and you should end up with the same grid I did. Remember how I talked about solving subproblems? You combined the solutions to two subproblems to solve the bigger problem.

Maybe this still feels like magic. This section answers some common questions.

Suppose you realize there’s a fourth item you can steal that you didn’t notice before! You can also steal an iPhone.
Do you have to recalculate everything to account for this new item? Nope. Remember, dynamic programming keeps progressively building on your estimate. So far, these are the max values.

That means for a 4 lb knapsack, you can steal $3,500 worth of goods. You thought that was the final max value. But let’s add a row for the iPhone.

Turns out you have a new max value! Try to fill in this new row before reading on.
Let’s start with the first cell. The iPhone fits into the 1 lb knapsack. The old max was $1,500, but the iPhone is worth $2,000. Let’s take the iPhone instead.

In the next cell, you can fit the iPhone and the guitar.

For cell 3, you can’t do better than take the iPhone and the guitar again, so leave it as is.
For the last cell, things get interesting. The current max is $3,500. You can steal the iPhone instead, and you have 3 lb of space left over.

Those 3 lb are worth $2,000! $2,000 from the iPhone + $2,000 from the old subproblem: that’s $4,000. A new max!
Here’s the new final grid.

Question: Would the value of a column ever go down? Is this possible?

Think of an answer before reading on.
Answer: No. At every iteration, you’re storing the current max estimate. The estimate can never get worse than it was before!
Suppose you can steal another item: an MP3 player. It weighs 1 lb and is worth $1,000. Should you steal it?
Does the answer change? Suppose you fill the rows in this order: stereo, laptop, guitar. What does the grid look like? Fill out the grid for yourself before moving on.
Here’s what the grid looks like.

The answer doesn’t change. The order of the rows doesn’t matter.
Try it for yourself! For this problem, it doesn’t make a difference. It could make a difference for other problems.
Suppose you can steal a necklace. It weighs 0.5 lb, and it’s worth $1,000. So far, your grid assumes that all weights are integers. Now you decide to steal the necklace. You have 3.5 lb left over. What’s the max value you can fit in 3.5 lb? You don’t know! You only calculated values for 1 lb, 2 lb, 3 lb, and 4 lb knapsacks. You need to know the value of a 3.5 lb knapsack.
Because of the necklace, you have to account for finer granularity, so the grid has to change.

Suppose you’re a thief in a grocery store. You can steal bags of lentils and rice. If a whole bag doesn’t fit, you can open it and take as much as you can carry. So now it’s not all or nothing—you can take a fraction of an item. How do you handle this using dynamic programming?
Answer: You can’t. With the dynamic-programming solution, you either take the item or not. There’s no way for it to figure out that you should take half an item.
But this case is also easily solved using a greedy algorithm! First, take as much as you can of the most valuable item. When that runs out, take as much as you can of the next most valuable item, and so on.
For example, suppose you have these items to choose from.

Quinoa is more expensive per pound than anything else. So, take all the quinoa you can carry! If that fills your knapsack, that’s the best you can do.
If the quinoa runs out and you still have space in your knapsack, take the next most valuable item, and so on.

Suppose you’re going to London for a nice vacation. You have two days there and a lot of things you want to do. You can’t do everything, so you make a list.

For each thing you want to see, you write down how long it will take and rate how much you want to see it. Can you figure out what you should see, based on this list?
It’s the knapsack problem again! Instead of a knapsack, you have a limited amount of time. And instead of stereos and laptops, you have a list of places you want to go. Draw the dynamic-programming grid for this list before moving on.
Here’s what the grid looks like.

Did you get it right? Fill in the grid. What places should you end up seeing? Here’s the answer.

Suppose you want to go to Paris, so you add a couple of items on the list.

These places take a lot of time, because first you have to travel from London to Paris. That takes half a day. If you want to do all three items, it will take four and a half days.
Wait, that’s not right. You don’t have to travel to Paris for each item. Once you’re in Paris, each item should only take a day. So it should be one day per item + half a day of travel = 3.5 days, not 4.5 days.
If you put the Eiffel Tower in your knapsack, then the Louvre becomes “cheaper”—it will only cost you a day instead of 1.5 days. How do you model this in dynamic programming?
You can’t. Dynamic programming is powerful because it can solve subproblems and use those answers to solve the big problem. Dynamic programming only works when each subproblem is discrete—when it doesn’t depend on other subproblems. That means there’s no way to account for Paris using the dynamic-programming algorithm.
It’s possible that the best solution involves stealing more than two items. The way the algorithm is set up, you’re combining two knapsacks at most—you’ll never have more than two sub-knapsacks. But it’s possible for those sub-knapsacks to have their own sub-knapsacks.

Yes. Suppose you could also steal a diamond.

This is a big diamond: it weighs 3.5 pounds. It’s worth a million dollars, way more than anything else. You should definitely steal it! But there’s half a pound of space left, and nothing will fit in that space.
Suppose you’re going camping. You have a knapsack that will hold 6 lb, and you can take the following items. Each has a value, and the higher the value, the more important the item is:
- Water, 3 lb, 10
- Book, 1 lb, 3
- Food, 2 lb, 9
- Jacket, 2 lb, 5
- Camera, 1 lb, 6
What’s the optimal set of items to take on your camping trip?

You’ve seen one dynamic programming problem so far. What are the takeaways?
It can be hard to come up with a dynamic-programming solution. That’s what we’ll focus on in this section. Some general tips follow:
Let’s look at another example. Suppose you run dictionary.com. Someone types in a word, and you give them the definition.

But if someone misspells a word, you want to be able to guess what word they meant. Alex is searching for fish, but he accidentally put in hish. That’s not a word in your dictionary, but you have a list of words that are similar.

(This is a toy example, so you’ll limit your list to two words. In reality, this list would probably be thousands of words.)
Alex typed hish. Which word did Alex mean to type: fish or vista?
What does the grid for this problem look like? You need to answer these questions:
In dynamic programming, you’re trying to maximize something. In this case, you’re trying to find the longest substring that two words have in common. What substring do hish and fish have in common? How about hish and vista? That’s what you want to calculate.
Remember, the values for the cells are usually what you’re trying to optimize. In this case, the values will probably be a number: the length of the longest substring that the two strings have in common.
How do you divide this problem into subproblems? You could compare substrings. Instead of comparing hish and fish, you could compare his and fis first. Each cell will contain the length of the longest substring that two substrings have in common. This also gives you a clue that the axes will probably be the two words. So the grid probably looks like this.

If this seems like black magic to you, don’t worry. This is hard stuff—that’s why I’m teaching it so late in the book! Later, I’ll give you an exercise so you can practice dynamic programming yourself.
Now you have a good idea of what the grid should look like. What’s the formula for filling in each cell of the grid? You can cheat a little, because you already know what the solution should be—hish and fish have a substring of length 3 in common: ish.
But that still doesn’t tell you the formula to use. Computer scientists sometimes joke about using the Feynman algorithm. The Feynman algorithm is named after the famous physicist Richard Feynman, and it works like this:

Computer scientists are a fun bunch!
The truth is, there’s no easy way to calculate the formula here. You have to experiment and try to find something that works. Sometimes algorithms aren’t an exact recipe. They’re a framework that you build your idea on top of.
Try to come up with a solution to this problem yourself. I’ll give you a hint—part of the grid looks like this.

What are the other values? Remember that each cell is the value of a subproblem. Why does cell (3, 3) have a value of 2? Why does cell (3, 4) have a value of 0?
Read on after you’ve tried to come up with a formula yourself. Even if you don’t get it right, my explanation will make a lot more sense.

Here’s my formula for filling in each cell.

Here’s how the formula looks in pseudocode:

Here’s the grid for hish vs. vista.

One thing to note: for this problem, the final solution may not be in the last cell! For the knapsack problem, this last cell always had the final solution. But for the longest common substring, the solution is the largest number in the grid—and it may not be the last cell.
Let’s go back to the original question: which string has more in common with hish? hish and fish have a substring of three letters in common. hish and vista have a substring of two letters in common.
Alex probably meant to type fish.
Suppose Alex accidentally searched for fosh. Which word did he mean: fish or fort?
Let’s compare them using the longest-common-substring formula.

They’re both the same: two letters! But fosh is closer to fish.

You’re comparing the longest common substring, but you really need to compare the longest common subsequence: the number of letters in a sequence that the two words have in common. How do you calculate the longest common subsequence?
Here’s the partial grid for fish and fosh.

Can you figure out the formula for this grid? The longest common subsequence is very similar to the longest common substring, and the formulas are pretty similar, too. Try to solve it yourself—I give the answer next.
Here’s the final grid.

Here’s my formula for filling in each cell.

And here it is in pseudocode:

Whew—you did it! This is definitely one of the toughest chapters in the book. So is dynamic programming ever really used? Yes:
Draw and fill in the grid to calculate the longest common substring between blue and clues.

Look at this fruit. Is it an orange or a grapefruit? Well, I know that grapefruits are generally bigger and redder.

My thought process is something like this: I have a graph in my mind.

Generally speaking, the bigger, redder fruit are grapefruits. This fruit is big and red, so it’s probably a grapefruit. But what if you get a fruit like this?

How would you classify this fruit? One way is to look at the neighbors of this spot. Take a look at the three closest neighbors of this spot.

More neighbors are oranges than grapefruit. So this fruit is probably an orange. Congratulations: You just used the k-nearest neighbors (KNN) algorithm for classification! The whole algorithm is pretty simple.

The KNN algorithm is simple but useful! If you’re trying to classify something, you might want to try KNN first. Let’s look at a more real-world example.
Suppose you’re Netflix, and you want to build a movie recommendations system for your users. On a high level, this is similar to the grapefruit problem!
You can plot every user on a graph.

These users are plotted by similarity, so users with similar taste are plotted closer together. Suppose you want to recommend movies for Priyanka. Find the five users closest to her.

Justin, JC, Joey, Lance, and Chris all have similar taste in movies. So whatever movies they like, Priyanka will probably like too!
Once you have this graph, building a recommendations system is easy. If Justin likes a movie, recommend it to Priyanka.

But there’s still a big piece missing. You graphed the users by similarity. How do you figure out how similar two users are?
In the grapefruit example, you compared fruit based on how big they are and how red they are. Size and color are the features you’re comparing. Now suppose you have three fruit. You can extract the features.

Then you can graph the three fruit.

From the graph, you can tell visually that fruits A and B are similar. Let’s measure how close they are. To find the distance between two points, you use the Pythagorean formula.

Here’s the distance between A and B, for example.

The distance between A and B is 1. You can find the rest of the distances, too.

The distance formula confirms what you saw visually: fruits A and B are similar.
Suppose you’re comparing Netflix users, instead. You need some way to graph the users. So, you need to convert each user to a set of coordinates, just as you did for fruit.

Once you can graph users, you can measure the distance between them.
Here’s how you can convert users into a set of numbers. When users sign up for Netflix, have them rate some categories of movies based on how much they like those categories. For each user, you now have a set of ratings!

Priyanka and Justin like Romance and hate Horror. Morpheus likes Action but hates Romance (he hates when a good action movie gets ruined by a cheesy romantic scene). Remember how in oranges versus grapefruit, each fruit was represented by a set of two numbers? Here, each user is represented by a set of five numbers.

A mathematician would say, instead of calculating the distance in two dimensions, you’re now calculating the distance in five dimensions. But the distance formula remains the same.

It just involves a set of five numbers instead of a set of two numbers.
The distance formula is flexible: you could have a set of a million numbers and still use the same old distance formula to find the distance. Maybe you’re wondering, “What does distance mean when you have five numbers?” The distance tells you how similar those sets of numbers are.

Here’s the distance between Priyanka and Justin.
Priyanka and Justin are pretty similar. What’s the difference between Priyanka and Morpheus? Calculate the distance before moving on.
Did you get it right? Priyanka and Morpheus are 24 apart. The distance tells you that Priyanka’s tastes are more like Justin’s than Morpheus’s.
Great! Now recommending movies to Priyanka is easy: if Justin likes a movie, recommend it to Priyanka, and vice versa. You just built a movie recommendations system!
If you’re a Netflix user, Netflix will keep telling you, “Please rate more movies. The more movies you rate, the better your recommendations will be.” Now you know why. The more movies you rate, the more accurately Netflix can see what other users you’re similar to.
In the Netflix example, you calculated the distance between two different users using the distance formula. But not all users rate movies the same way. Suppose you have two users, Yogi and Pinky, who have the same taste in movies. But Yogi rates any movie he likes as a 5, whereas Pinky is choosier and reserves the 5s for only the best. They’re well matched, but according to the distance algorithm, they aren’t neighbors. How would you take their different rating strategies into account?
Suppose Netflix nominates a group of “influencers.” For example, Quentin Tarantino and Wes Anderson are influencers on Netflix, so their ratings count for more than a normal user’s. How would you change the recommendations system so it’s biased toward the ratings of influencers?
Suppose you want to do more than just recommend a movie: you want to guess how Priyanka will rate this movie. Take the five people closest to her.
By the way, I keep talking about the closest five people. There’s nothing

special about the number 5: you could do the closest 2, or 10, or 10,000. That’s why the algorithm is called k-nearest neighbors and not five-nearest neighbors!
Suppose you’re trying to guess a rating for Pitch Perfect. Well, how did Justin, JC, Joey, Lance, and Chris rate it?

You could take the average of their ratings and get 4.2 stars. That’s called regression. These are the two basic things you’ll do with KNN—classification and regression:
Regression is very useful. Suppose you run a small bakery in Berkeley, and you make fresh bread every day. You’re trying to predict how many loaves to make for today. You have a set of features:

And you know how many loaves of bread you’ve sold in the past for different sets of features.

Today is a weekend day with good weather. Based on the data you just saw, how many loaves will you sell? Let’s use KNN, where K = 4. First, figure out the four nearest neighbors for this point.

Here are the distances. A, B, D, and E are the closest.

Take an average of the loaves sold on those days, and you get 218.75. That’s how many loaves you should make for today!
So far, you’ve been using the distance formula to compare the distance between two users. Is this the best formula to use? A common one used in practice is cosine similarity. Suppose two users are similar, but one of them is more conservative in their ratings. They both loved Manmohan Desai’s Amar Akbar Anthony. Paul rated it 5 stars, but Rowan rated it 4 stars. If you keep using the distance formula, these two users might not be each other’s neighbors, even though they have similar taste.
Cosine similarity doesn’t measure the distance between two vectors. Instead, it compares the angles of the two vectors. It’s better at dealing with cases like this. Cosine similarity is out of the scope of this book, but look it up if you use KNN!

To figure out recommendations, you had users rate categories of movies. What if you had them rate pictures of cats instead? Then you’d find users who rated those pictures similarly. This would probably be a worse recommendations engine, because the “features” don’t have a lot to do with taste in movies!
Or suppose you ask users to rate movies so you can give them recommendations—but you only ask them to rate Toy Story, Toy Story 2, and Toy Story 3. This won’t tell you a lot about the users’ movie tastes!
When you’re working with KNN, it’s really important to pick the right features to compare against. Picking the right features means
Do you think ratings are a good way to recommend movies? Maybe I rated The Wire more highly than House Hunters, but I actually spend more time watching House Hunters. How would you improve this Netflix recommendations system?
Going back to the bakery: can you think of two good and two bad features you could have picked for the bakery? Maybe you need to make more loaves after you advertise in the paper. Or maybe you need to make more loaves on Mondays.
There’s no one right answer when it comes to picking good features. You have to think about all the different things you need to consider.
Netflix has millions of users. The earlier example looked at the five closest neighbors for building the recommendations system. Is this too low? Too high?

KNN is a really useful algorithm, and it’s your introduction to the magical world of machine learning! Machine learning is all about making your computer more intelligent. You already saw one example of machine learning: building a recommendations system. Let’s look at some other examples.
OCR stands for optical character recognition. It means you can take a photo of a page of text, and your computer will automatically read the text for you. Google uses OCR to digitize books. How does OCR work? For example, consider this number.

How would you automatically figure out what number this is? You can use KNN for this:
It’s the same problem as oranges versus grapefruit. Generally speaking, OCR algorithms measure lines, points, and curves.

Then, when you get a new character, you can extract the same features from it.
Feature extraction is a lot more complicated in OCR than the fruit example. But it’s important to understand that even complex technologies build on simple ideas, like KNN. You could use the same ideas for speech recognition or face recognition. When you upload a photo to Facebook, sometimes it’s smart enough to tag people in the photo automatically. That’s machine learning in action!
The first step of OCR, where you go through images of numbers and extract features, is called training. Most machine-learning algorithms have a training step: before your computer can do the task, it must be trained. The next example involves spam filters, and it has a training step.
Spam filters use another simple algorithm called the Naive Bayes classifier. First, you train your Naive Bayes classifier on some data.

Suppose you get an email with the subject “collect your million dollars now!” Is it spam? You can break this sentence into words. Then, for each word, see what the probability is for that word to show up in a spam email. For example, in this very simple model, the word million only appears in spam emails. Naive Bayes figures out the probability that something is likely to be spam. It has applications similar to KNN.
For example, you could use Naive Bayes to categorize fruit: you have a fruit that’s big and red. What’s the probability that it’s a grapefruit? It’s another simple algorithm that’s fairly effective. We love those algorithms!

Here’s something that’s hard to do with machine learning: really predicting whether the stock market will go up or down. How do you pick good features in a stock market? Suppose you say that if the stock went up yesterday, it will go up today. Is that a good feature? Or suppose you say that the stock will always go down in May. Will that work? There’s no guaranteed way to use past numbers to predict future performance. Predicting the future is hard, and it’s almost impossible when there are so many variables involved.
I hope this gives you an idea of all the different things you can do with KNN and with machine learning! Machine learning is an interesting field that you can go pretty deep into if you decide to:

Let’s go back to the binary search example. When a user logs in to Facebook, Facebook has to look through a big array to see if the username exists. We said the fastest way to search through this array is to run binary search. But there’s a problem: every time a new user signs up, you insert their username into the array. Then you have to re-sort the array, because binary search only works with sorted arrays. Wouldn’t it be nice if you could insert the username into the right slot in the array right away, so you don’t have to sort the array afterward? That’s the idea behind the binary search tree data structure.

A binary search tree looks like this.

For every node, the nodes to its left are smaller in value, and the nodes to the right are larger in value.

Suppose you’re searching for Maggie. You start at the root node.

Maggie comes after David, so go toward the right.

Maggie comes before Manning, so go to the left.

You found Maggie! It’s almost like running a binary search! Searching for an element in a binary search tree takes O(log n) time on average and O(n) time in the worst case. Searching a sorted array takes O(log n) time in the worst case, so you might think a sorted array is better. But a binary search tree is a lot faster for insertions and deletions on average.

Binary search trees have some downsides too: for one thing, you don’t get random access. You can’t say, “Give me the fifth element of this tree.” Those performance times are also on average and rely on the tree being balanced. Suppose you have an imbalanced tree like the one shown next.

See how it’s leaning to the right? This tree doesn’t have very good performance, because it isn’t balanced. There are special binary search trees that balance themselves. One example is the red-black tree.
So when are binary search trees used? B-trees, a special type of binary tree, are commonly used to store data in databases.
If you’re interested in databases or more-advanced data structures, check these out:
Here’s a very simplified version of how a search engine works. Suppose you have three web pages with this simple content.

Let’s build a hash table from this content.

The keys of the hash table are the words, and the values tell you what pages each word appears on. Now suppose a user searches for hi. Let’s see what pages hi shows up on.

Aha: It appears on pages A and B. Let’s show the user those pages as the result. Or suppose the user searches for there. Well, you know that it shows up on pages A and C. Pretty easy, huh? This is a useful data structure: a hash that maps words to places where they appear. This data structure is called an inverted index, and it’s commonly used to build search engines. If you’re interested in search, this is a good place to start.
The Fourier transform is one of those rare algorithms: brilliant, elegant, and with a million use cases. The best analogy for the Fourier transform comes from Better Explained (a great website that explains math simply): given a smoothie, the Fourier transform will tell you the ingredients in the smoothie.[1] Or, to put it another way, given a song, the transform can separate it into individual frequencies.
Kalid, “An Interactive Guide to the Fourier Transform,” Better Explained, http://mng.bx/874X.
It turns out that this simple idea has a lot of use cases. For example, if you can separate a song into frequencies, you can boost the ones you care about. You could boost the bass and hide the treble. The Fourier transform is great for processing signals. You can also use it to compress music. First you break an audio file down into its ingredient notes. The Fourier transform tells you exactly how much each note contributes to the overall song. So you can just get rid of the notes that aren’t important. That’s how the MP3 format works!
Music isn’t the only type of digital signal. The JPG format is another compressed format, and it works the same way. People use the Fourier transform to try to predict upcoming earthquakes and analyze DNA. You can use it to build an app like Shazam, which guesses what song is playing. The Fourier transform has a lot of uses. Chances are high that you’ll run into it!
The next three topics are about scalability and working with a lot of data. Back in the day, computers kept getting faster and faster. If you wanted to make your algorithm faster, you could wait a few months, and the computers themselves would become faster. But we’re near the end of that period. Instead, laptops and computers ship with multiple cores. To make your algorithms faster, you need to change them to run in parallel across all the cores at once!
Here’s a simple example. The best you can do with a sorting algorithm is roughly O(n log n). It’s well known that you can’t sort an array in O(n) time—unless you use a parallel algorithm! There’s a parallel version of quicksort that will sort an array in O(n) time.
Parallel algorithms are hard to design. And it’s also hard to make sure they work correctly and to figure out what type of speed boost you’ll see. One thing is for sure—the time gains aren’t linear. So if you have two cores in your laptop instead of one, that almost never means your algorithm will magically run twice as fast. There are a couple of reasons for this:
If you’re interested in the theoretical side of performance and scalability, parallel algorithms might be for you!
There’s a special type of parallel algorithm that is becoming increasingly popular: the distributed algorithm. It’s fine to run a parallel algorithm on your laptop if you need two to four cores, but what if you need hundreds of cores? Then you can write your algorithm to run across multiple machines. The MapReduce algorithm is a popular distributed algorithm. You can use it through the popular open source tool Apache Hadoop.
Suppose you have a table with billions or trillions of rows, and you want to run a complicated SQL query on it. You can’t run it on MySQL, because it struggles after a few billion rows. Use MapReduce through Hadoop!
Or suppose you have to process a long list of jobs. Each job takes 10 seconds to process, and you need to process 1 million jobs like this. If you do this on one machine, it will take you months! If you could run it across 100 machines, you might be done in a few days.
Distributed algorithms are great when you have a lot of work to do and want to speed up the time required to do it. MapReduce in particular is built up from two simple ideas: the map function and the reduce function.
The map function is simple: it takes an array and applies the same function to each item in the array. For example, here we’re doubling every item in the array:
>>> arr1 = [1, 2, 3, 4, 5] >>> arr2 = map(lambda x: 2 * x, arr1) [2, 4, 6, 8, 10]

arr2 now contains[2, 4, 6, 8, 10]—every element in arr1 was doubled! Doubling an element is pretty fast. But suppose you apply a function that takes more time to process. Look at this pseudocode:
>>> arr1 = # A list of URLs >>> arr2 = map(download_page, arr1)
Here you have a list of URLs, and you want to download each page and store the contents in arr2. This could take a couple of seconds for each URL. If you had 1,000 URLs, this might take a couple of hours!
Wouldn’t it be great if you had 100 machines, and map could automatically spread out the work across all of them? Then you would be downloading 100 pages at a time, and the work would go a lot faster! This is the idea behind the “map” in MapReduce.
The reduce function confuses people sometimes. The idea is that you “reduce” a whole list of items down to one item. With map, you go from one array to another.

With reduce, you transform an array to a single item.

Here’s an example:
>>> arr1 = [1, 2, 3, 4, 5] >>> reduce(lambda x,y: x+y, arr1) 15
In this case, you sum up all the elements in the array: 1 + 2 + 3 + 4 + 5 = 15! I won’t explain reduce in more detail here, because there are plenty of tutorials online.
MapReduce uses these two simple concepts to run queries about data across multiple machines. When you have a large dataset (billions of rows), MapReduce can give you an answer in minutes where a traditional database might take hours.
Suppose you’re running Reddit. When someone posts a link, you want to see if it’s been posted before. Stories that haven’t been posted before are considered more valuable. So you need to figure out whether this link has been posted before.
Or suppose you’re Google, and you’re crawling web pages. You only want to crawl a web page if you haven’t crawled it already. So you need to figure out whether this page has been crawled before.
Or suppose you’re running bit.ly, which is a URL shortener. You don’t want to redirect users to malicious websites. You have a set of URLs that are considered malicious. Now you need to figure out whether you’re redirecting the user to a URL in that set.
All of these examples have the same problem. You have a very large set.

Now you have a new item, and you want to see whether it belongs in that set. You could do this quickly with a hash. For example, suppose Google has a big hash in which the keys are all the pages it has crawled.

You want to see whether you’ve already crawled adit.io. Look it up in the hash.

adit.io is a key in the hash, so you’ve already crawled it. The average lookup time for hash tables is O(1). adit.io is in the hash, so you’ve already crawled it. You found that out in constant time. Pretty good!
Except that this hash needs to be huge. Google indexes trillions of web pages. If this hash has all the URLs that Google has indexed, it will take up a lot of space. Reddit and bit.ly have the same space problem. When you have so much data, you need to get creative!
Bloom filters offer a solution. Bloom filters are probabilistic data structures. They give you an answer that could be wrong but is probably correct. Instead of a hash, you can ask your bloom filter if you’ve crawled this URL before. A hash table would give you an accurate answer. A bloom filter will give you an answer that’s probably correct:
Bloom filters are great because they take up very little space. A hash table would have to store every URL crawled by Google, but a bloom filter doesn’t have to do that. They’re great when you don’t need an exact answer, as in all of these examples. It’s okay for bit.ly to say, “We think this site might be malicious, so be extra careful.”
Along the same lines is another algorithm called HyperLogLog. Suppose Google wants to count the number of unique searches performed by its users. Or suppose Amazon wants to count the number of unique items that users looked at today. Answering these questions takes a lot of space! With Google, you’d have to keep a log of all the unique searches. When a user searches for something, you have to see whether it’s already in the log. If not, you have to add it to the log. Even for a single day, this log would be massive!
HyperLogLog approximates the number of unique elements in a set. Just like bloom filters, it won’t give you an exact answer, but it comes very close and uses only a fraction of the memory a task like this would otherwise take.
If you have a lot of data and are satisfied with approximate answers, check out probabilistic algorithms!
Do you remember hashing from chapter 5? Just to recap, suppose you have a key, and you want to put the associated value in an array.

You use a hash function to tell you what slot to put the value in.

And you put the value in that slot.

This allows you to do constant-time lookups. When you want to know the value for a key, you can use the hash function again, and it will tell you in O(1) time what slot to check.
In this case, you want the hash function to give you a good distribution. So a hash function takes a string and gives you back the slot number for that string.
Another hash function is a secure hash algorithm (SHA) function. Given a string, SHA gives you a hash for that string.

The terminology can be a little confusing here. SHA is a hash function. It generates a hash, which is just a short string. The hash function for hash tables went from string to array index, whereas SHA goes from string to string.
SHA generates a different hash for every string.

SHA hashes are long. They’ve been truncated here.
You can use SHA to tell whether two files are the same. This is useful when you have very large files. Suppose you have a 4 GB file. You want to check whether your friend has the same large file. You don’t have to try to email them your large file. Instead, you can both calculate the SHA hash and compare it.

SHA is also useful when you want to compare strings without revealing what the original string was. For example, suppose Gmail gets hacked, and the attacker steals all the passwords! Is your password out in the open? No, it isn’t. Google doesn’t store the original password, only the SHA hash of the password! When you type in your password, Google hashes it and checks it against the hash in its database.

So it’s only comparing hashes—it doesn’t have to store your password! SHA is used very commonly to hash passwords like this. It’s a one-way hash. You can get the hash of a string.

But you can’t get the original string from the hash.

That means if an attacker gets the SHA hashes from Gmail, they can’t convert those hashes back to the original passwords! You can convert a password to a hash, but not vice versa.
SHA is actually a family of algorithms: SHA-0, SHA-1, SHA-2, and SHA-3. As of this writing, SHA-0 and SHA-1 have some weaknesses. If you’re using an SHA algorithm for password hashing, use SHA-2 or SHA-3. The gold standard for password-hashing functions is currently bcrypt (though nothing is foolproof).
SHA has another important feature: it’s locality insensitive. Suppose you have a string, and you generate a hash for it.

If you change just one character of the string and regenerate the hash, it’s totally different!

This is good because an attacker can’t compare hashes to see whether they’re close to cracking a password.
Sometimes, you want the opposite: you want a locality-sensitive hash function. That’s where Simhash comes in. If you make a small change to a string, Simhash generates a hash that’s only a little different. This allows you to compare hashes and see how similar two strings are, which is pretty useful!
Simhash is useful when you want to check for similar items.
The Diffie-Hellman algorithm deserves a mention here, because it solves an age-old problem in an elegant way. How do you encrypt a message so it can only be read by the person you sent the message to?
The easiest way is to come up with a cipher, like a = 1, b = 2, and so on. Then if I send you the message “4,15,7”, you can translate it to “d,o,g”. But for this to work, we both have to agree on the cipher. We can’t agree over email, because someone might hack into your email, figure out the cipher, and decode our messages. Heck, even if we meet in person, someone might guess the cipher—it’s not complicated. So we should change it every day. But then we have to meet in person to change it every day!
Even if we did manage to change it every day, a simple cipher like this is easy to crack with a brute-force attack. Suppose I see the message “9,6,13,13,16 24,16,19,13,5”. I’ll guess that this uses a = 1, b = 2, and so on.

That’s gibberish. Let’s try a = 2, b = 3, and so on.

That worked! A simple cipher like this is easy to break. The Germans used a much more complicated cipher in WWII, but it was still cracked. Diffie-Hellman solves both problems:
Diffie-Hellman has two keys: a public key and a private key. The public key is exactly that: public. You can post it on your website, email it to friends, or do anything you want with it. You don’t have to hide it. When someone wants to send you a message, they encrypt it using the public key. An encrypted message can only be decrypted using the private key. As long as you’re the only person with the private key, only you will be able to decrypt this message!
The Diffie-Hellman algorithm is still used in practice, along with its successor, RSA. If you’re interested in cryptography, Diffie-Hellman is a good place to start: it’s elegant and not too hard to follow.
I saved the best for last. Linear programming is one of the coolest things I know.
Linear programming is used to maximize something given some constraints. For example, suppose your company makes two products, shirts and totes. Shirts need 1 meter of fabric and 5 buttons. Totes need 2 meters of fabric and 2 buttons. You have 11 meters of fabric and 20 buttons. You make $2 per shirt and $3 per tote. How many shirts and totes should you make to maximize your profit?
Here you’re trying to maximize profit, and you’re constrained by the amount of materials you have.
Another example: you’re a politician, and you want to maximize the number of votes you get. Your research has shown that it takes an average of an hour of work (marketing, research, and so on) for each vote from a San Franciscan or 1.5 hours/vote from a Chicagoan. You need at least 500 San Franciscans and at least 300 Chicagoans. You have 50 days. It also costs you $2/San Franciscan versus $1/Chicagoan. Your total budget is $1,500. What’s the maximum number of total votes you can get (San Francisco + Chicago)?
Here you’re trying to maximize votes, and you’re constrained by time and money.
You might be thinking, “You’ve talked about a lot of optimization topics in this book. How are they related to linear programming?” All the graph algorithms can be done through linear programming instead. Linear programming is a much more general framework, and graph problems are a subset of that. I hope your mind is blown!
Linear programming uses the Simplex algorithm. It’s a complex algorithm, which is why I didn’t include it in this book. If you’re interested in optimization, look up linear programming!
I hope this quick tour of 10 algorithms showed you how much more is left to discover. I think the best way to learn is to find something you’re interested in and dive in. This book gave you a solid foundation to do just that.

Suppose you have a sorted list of 128 names, and you’re searching through it using binary search. What’s the maximum number of steps it would take?
7.
Suppose you double the size of the list. What’s the maximum number of steps now?
8.
You have a name, and you want to find the person’s phone number in the phone book.
O(log n).
You have a phone number, and you want to find the person’s name in the phone book. (Hint: You’ll have to search through the whole book!)
O(n).
You want to read the numbers of every person in the phone book.
O(n).
You want to read the numbers of just the As.
O(n). You may think, “I’m only doing this for 1 out of 26 characters, so the run time should be O(n/26).” A simple rule to remember is, ignore numbers that are added, subtracted, multiplied, or divided. None of these are correct Big O run times: O(n + 26), O(n - 26), O(n * 26), O(n / 26). They’re all the same as O(n)! Why? If you’re curious, flip to “Big O notation revisited,” in chapter 4, and read up on constants in Big O notation (a constant is just a number; 26 was the constant in this question).
Suppose you’re building an app to keep track of your finances.
Every day, you write down everything you spent money on. At the end of the month, you review your expenses and sum up how much you spent. So, you have lots of inserts and a few reads. Should you use an array or a list?
In this case, you’re adding expenses to the list every day and reading all the expenses once a month. Arrays have fast reads and slow inserts. Linked lists have slow reads and fast inserts. Because you’ll be inserting more often than reading, it makes sense to use a linked list. Also, linked lists have slow reads only if you’re accessing random elements in the list. Because you’re reading every element in the list, linked lists will do well on reads too. So a linked list is a good solution to this problem.
Suppose you’re building an app for restaurants to take customer orders. Your app needs to store a list of orders. Servers keep adding orders to this list, and chefs take orders off the list and make them. It’s an order queue: servers add orders to the back of the queue, and the chef takes the first order off the queue and cooks it.
Would you use an array or a linked list to implement this queue? (Hint: Linked lists are good for inserts/deletes, and arrays are good for random access. Which one are you going to be doing here?)
A linked list. Lots of inserts are happening (servers adding orders), which linked lists excel at. You don’t need search or random access (what arrays excel at), because the chefs always take the first order off the queue.
Let’s run a thought experiment. Suppose Facebook keeps a list of usernames. When someone tries to log in to Facebook, a search is done for their username. If their name is in the list of usernames, they can log in. People log in to Facebook pretty often, so there are a lot of searches through this list of usernames. Suppose Facebook uses binary search to search the list. Binary search needs random access—you need to be able to get to the middle of the list of usernames instantly. Knowing this, would you implement the list as an array or a linked list?
A sorted array. Arrays give you random access—you can get an element from the middle of the array instantly. You can’t do that with linked lists. To get to the middle element in a linked list, you’d have to start at the first element and follow all the links down to the middle element.
People sign up for Facebook pretty often, too. Suppose you decided to use an array to store the list of users. What are the downsides of an array for inserts? In particular, suppose you’re using binary search to search for logins. What happens when you add new users to an array?
Inserting into arrays is slow. Also, if you’re using binary search to search for usernames, the array needs to be sorted. Suppose someone named Adit B signs up for Facebook. Their name will be inserted at the end of the array. So you need to sort the array every time a name is inserted!
In reality, Facebook uses neither an array nor a linked list to store user information. Let’s consider a hybrid data structure: an array of linked lists. You have an array with 26 slots. Each slot points to a linked list. For example, the first slot in the array points to a linked list containing all the usernames starting with a. The second slot points to a linked list containing all the usernames starting with b, and so on.
Suppose Adit B signs up for Facebook, and you want to add them to the list. You go to slot 1 in the array, go to the linked list for slot 1, and add Adit B at the end. Now, suppose you want to search for Zakhir H. You go to slot 26, which points to a linked list of all the Z names. Then you search through that list to find Zakhir H.
Compare this hybrid data structure to arrays and linked lists. Is it slower or faster than each for searching and inserting? You don’t have to give Big O run times, just whether the new data structure would be faster or slower.
Searching—slower than arrays, faster than linked lists. Inserting—faster than arrays, same amount of time as linked lists. So it’s slower for searching than an array, but faster or the same as linked lists for everything. We’ll talk about another hybrid data structure called a hash table later in the book. This should give you an idea of how you can build up more complex data structures from simple ones.
So what does Facebook really use? It probably uses a dozen different databases, with different data structures behind them: hash tables, B-trees, and others. Arrays and linked lists are the building blocks for these more complex data structures.
Suppose I show you a call stack like this.
What information can you give me, just based on this call stack?
Here are some things you could tell me:
- The greet function is called first, with name = maggie.
- Then the greet function calls the greet2 function, with name = maggie.
- At this point, the greet function is in an incomplete, suspended state.
- The current function call is the greet2 function.
- After this function call completes, the greet function will resume.
Suppose you accidentally write a recursive function that runs forever. As you saw, your computer allocates memory on the stack for each function call. What happens to the stack when your recursive function runs forever?
The stack grows forever. Each program has a limited amount of space on the call stack. When your program runs out of space (which it eventually will), it will exit with a stack-overflow error.
Write out the code for the earlier sum function.
def sum(list): if list == []: return 0 return list[0] + sum(list[1:])
Write a recursive function to count the number of items in a list.
def count(list): if list == []: return 0 return 1 + count(list[1:])
Find the maximum number in a list.
def max(list): if len(list) == 2: return list[0] if list[0] > list[1] else list[1] sub_max = max(list[1:]) return list[0] if list[0] > sub_max else sub_max
Remember binary search from chapter 1? It’s a divide-and-conquer algorithm, too. Can you come up with the base case and recursive case for binary search?
The base case for binary search is an array with one item. If the item you’re looking for matches the item in the array, you found it! Otherwise, it isn’t in the array.
In the recursive case for binary search, you split the array in half, throw away one half, and call binary search on the other half.
How long would each of these operations take in Big O notation?
Printing the value of each element in an array.
O(n)
Doubling the value of each element in an array.
O(n)
Doubling the value of just the first element in an array.
O(1)
Creating a multiplication table with all the elements in the array. So if your array is [2, 3, 7, 8, 10], you first multiply every element by 2, then multiply every element by 3, then by 7, and so on.
O(n2)
Which of these hash functions are consistent?
![]()
Consistent
![]()
Not consistent
![]()
Not consistent
![]()
Consistent
Suppose you have these four hash functions that work with strings:
- Return “1” for all input.
- Use the length of the string as the index.
- Use the first character of the string as the index. So, all strings starting with a are hashed together, and so on.
- Map every letter to a prime number: a = 2, b = 3, c = 5, d = 7, e = 11, and so on. For a string, the hash function is the sum of all the characters modulo the size of the hash. For example, if your hash size is 10, and the string is “bag”, the index is 3 + 2 + 17 % 10 = 22 % 10 = 2.
For each of the following examples, which hash functions would provide a good distribution? Assume a hash table size of 10 slots.
A phonebook where the keys are names and values are phone numbers. The names are as follows: Esther, Ben, Bob, and Dan.
Hash functions C and D would give a good distribution.
A mapping from battery size to power. The sizes are A, AA, AAA, and AAAA.
Hash functions B and D would give a good distribution.
A mapping from book titles to authors. The titles are Maus, Fun Home, and Watchmen.
Hash functions B, C, and D would give a good distribution.
Run the breadth-first search algorithm on each of these graphs to find the solution.
Find the length of the shortest path from start to finish.
The shortest path has a length of 2.
Find the length of the shortest path from “cab” to “bat”.
The shortest path has a length of 2.
Here’s a small graph of my morning routine.
For these three lists, mark whether each one is valid or invalid.
A—Invalid; B—Valid; C—Invalid.
Here’s a larger graph. Make a valid list for this graph.
1—Wake up; 2—Exercise; 3—Shower; 4—Brush teeth; 5—Get dressed; 6—Pack lunch; 7—Eat breakfast.
Which of the following graphs are also trees?
A—Tree; B—Not a tree; C—Tree. The last example is just a sideways tree. Trees are a subset of graphs. So a tree is always a graph, but a graph may or may not be a tree.
In each of these graphs, what is the weight of the shortest path from start to finish?
A: A—8; B—60; C—Trick question. No shortest path is possible (negative-weight cycle).
You work for a furniture company, and you have to ship furniture all over the country. You need to pack your truck with boxes. All the boxes are of different sizes, and you’re trying to maximize the space you use in each truck. How would you pick boxes to maximize space? Come up with a greedy strategy. Will that give you the optimal solution?
A greedy strategy would be to pick the largest box that will fit in the remaining space, and repeat until you can’t pack any more boxes. No, this won’t give you the optimal solution.
You’re going to Europe, and you have seven days to see everything you can. You assign a point value to each item (how much you want to see it) and estimate how long it takes. How can you maximize the point total (seeing all the things you really want to see) during your stay? Come up with a greedy strategy. Will that give you the optimal solution?
Keep picking the activity with the highest point value that you can still do in the time you have left. Stop when you can’t do anything else. No, this won’t give you the optimal solution.
For each of these algorithms, say whether it’s a greedy algorithm or not.
Quicksort
No.
Breadth-first search
Yes.
Dijkstra’s algorithm
Yes.
A postman needs to deliver to 20 homes. He needs to find the shortest route that goes to all 20 homes. Is this an NP-complete problem?
Yes.
Finding the largest clique in a set of people (a clique is a set of people who all know each other). Is this an NP-complete problem?
Yes.
You’re making a map of the USA, and you need to color adjacent states with different colors. You have to find the minimum number of colors you need so that no two adjacent states are the same color. Is this an NP-complete problem?
Yes.
Suppose you can steal another item: an MP3 player. It weighs 1 lb and is worth $1,000. Should you steal it?
Yes. Then you could steal the MP3 player, the iPhone, and the guitar, worth a total of $4,500.
Suppose you’re going camping. You have a knapsack that holds 6 lb, and you can take the following items. They each have a value, and the higher the value, the more important the item is:
- Water, 3 lb, 10
- Book, 1 lb, 3
- Food, 2 lb, 9
- Jacket, 2 lb, 5
- Camera, 1 lb, 6
What’s the optimal set of items to take on your camping trip?
You should take water, food, and a camera.
Draw and fill in the grid to calculate the longest common substring between blue and clues.
![]()
In the Netflix example, you calculated distance between two different users using the distance formula. But not all users rate movies the same way. Suppose you have two users, Yogi and Pinky, who have the same taste in movies. But Yogi rates any movie he likes as a 5, whereas Pinky is choosier and reserves the 5s for only the best. They’re well matched, but according to the distance algorithm, they aren’t neighbors. How would you take their different rating strategies into account?
You could use something called normalization. You look at the average rating for each person and use it to scale their ratings. For example, you might notice that Pinky’s average rating is 3, whereas Yogi’s average rating is 3.5. So you bump up Pinky’s ratings a little, until her average rating is 3.5 as well. Then you can compare their ratings on the same scale.
Suppose Netflix nominates a group of “influencers.” For example, Quentin Tarantino and Wes Anderson are influencers on Netflix, so their ratings count for more than a normal user’s. How would you change the recommendations system so it’s biased toward the ratings of influencers?
You could give more weight to the ratings of the influencers when using KNN. Suppose you have three neighbors: Joe, Dave, and Wes Anderson (an influencer). They rated Caddyshack a 3, a 4, and a 5, respectively. Instead of just taking the average of their ratings (3 + 4 + 5 / 3 = 4 stars), you could give Wes Anderson’s rating more weight: 3 + 4 + 5 + 5 + 5 / 5 = 4.4 stars.
Netflix has millions of users. The earlier example looked at the five closest neighbors for building the recommendations system. Is this too low? Too high?
It’s too low. If you look at fewer neighbors, there’s a bigger chance that the results will be skewed. A good rule of thumb is, if you have N users, you should look at sqrt(N) neighbors.
[A][B][C][D][E][F][G][H][I][J][K][L][M][N][O][P][Q][R][S][T][U][W]
adit.io
algorithms
approximation algorithms
calculating answer
code for setup
sets
Bellman-Ford
Big O notation and
common run times
drawing squares example
exercises
growth of run times at different rates
overview
traveling salesperson problem
worst-case run time
binary search
binary search
better way to search
exercises
overview
running time
breadth-first search
breadth-first search
exercise
running time
Dijkstra’s algorithm
Dijkstra’s algorithm
exercise
implementation
negative-weight edges
overview
terminology related to
trading for piano example
distributed, usefulness of
Euclid’s
Feynman
greedy algorithms
greedy algorithms
classroom scheduling problem
exercises
knapsack problem
NP-complete problems
overview
set-covering problem
approximation algorithms
back to code
exercise
overview
HyperLogLog algorithm
k-nearest neighbors algorithm
building recommendations system
classifying oranges vs. grapefruit
exercises
machine learning
MapReduce algorithm
map function
reduce function
parallel
SHA algorithms
SHA algorithms
checking passwords
comparing files
overview
approximation algorithms
calculating answer
code for setup
sets
arrays
deletions and
exercises
insertions and
overview
terminology used with
uses of
base case, 2nd, 3rd
Bellman-Ford algorithm
best_station
Better Explained website
Big O notation
common run times
drawing squares example
exercises
growth of run times at different rates
overview
quicksort and
average case vs. worst case
exercises
merge sort vs. quicksort
overview
traveling salesperson problem
worst-case run time
binary search
binary search
better way to search
exercises
overview
running time
binary search trees
bloom filters
breadth-first search
breadth-first search
graphs and
exercises
finding shortest path
overview
queues
implementing
implementing algorithm
exercise
overview
running time
overview
built-in hash table
bye function
cache, using hash tables as
Caldwell, Leigh
call stack
overview
with recursion
cheapest node, 2nd
classification
classroom scheduling problem
common substring
constants
constant time
covered set
Ctrl-C shortcut
cycles, graph
DAGs (directed acyclic graphs)
D&C (divide and conquer)
def countdown(i) function
deletions
deque function
dict function
Diffie-Hellman key exchange
Dijkstra’s algorithm
Dijkstra’s algorithm
exercise
implementation
negative-weight edges
overview
terminology related to
trading for piano example
directed graph
distance formula
distributed algorithms
DNS resolution
double-ended queue
duplicate entries, preventing
dynamic programming
exercises, 2nd
knapsack problem
changing order of rows
FAQ
filling in grid column-wise
guitar row
if solution doesn’t fill knapsack completely
if solution requires more than two sub-knapsacks
laptop row
optimizing travel itinerary
overview
simple solution
stealing fractions of an item
stereo row
longest common substring
filling in grid
longest common subsequence
making grid
overview
solution
edges, 2nd
empty array, 2nd
encrypted messages
enqueue operation
Euclid’s algorithm
Facebook, user login and signups example
fact function, 2nd
factorial function
factorial time
false negatives
false positives
Feynman algorithm
FIFO (First In, First Out) data structure
find_lowest_cost_node function, 2nd
first-degree connection
for loop
for node
Fourier transform
git diff
graphs
breadth-first search and
exercises
finding shortest path
overview
queues
overview
graph[“start”] hash table
greedy algorithms
greedy algorithms
classroom scheduling problem
exercises
knapsack problem
NP-complete problems
set-covering problem
approximation algorithms
back to code
exercise
overview
greet2 function
greet function
hash tables
collisions
hash functions
performance
exercises
good hash function
load factor
use cases
preventing duplicate entries
using hash tables as cache
using hash tables for lookups
Haskell
HyperLogLog algorithm
inductive proofs
infinity, representing in Python
insertions
inverted indexes
IP address, mapping web address to
Khan Academy, 2nd
knapsack problem
changing order of rows
FAQ
filling in grid column-wise
guitar row
if solution doesn’t fill knapsack completely
if solution requires more than two sub-knapsacks
laptop row
optimizing travel itinerary
overview, 2nd
simple solution
stealing fractions of an item
stereo row
k-nearest neighbors algorithm
building recommendations system
classifying oranges vs. grapefruit
exercises
machine learning
Levenshtein distance
LIFO (Last In, Last Out) data structure
linear programming
linear time, 2nd, 3rd
linked lists
deletions and
exercises, 2nd
insertions and
overview
terminology used with
load balancing
locality-sensitive hashing
logarithmic time.
See log time.
logarithms
log time, 2nd, 3rd
lookups, using hash tables for
machine learning
MapReduce algorithm
map function
reduce function
memory
merge sort vs. quicksort
MP3 format
Naive Bayes classifier
name variable
neighbors
n! (n factorial) operations
nodes, 2nd
n operations
NP-complete problems
OCR (optical character recognition)
parallel algorithms
partitioning
person_is_seller function, 2nd
pivot element
pop (remove and read) action
Print function
print_items function
private key, Diffie-Hellman
probabilistic data structure
pseudocode, 2nd, 3rd
public key, Diffie-Hellman
push (insert) action
Pythagorean formula
queues
quicksort, Big O notation and
average case vs. worst case
exercises
merge sort vs. quicksort
random access
recommendations system, building
recursion
base case and recursive case
call stack with
overview
regression
resizing
run time
common run times
growth of at different rates
overview
searches
binary search
as better way to search
exercises
overview
running time
breadth-first search
graphs and
implementing
implementing algorithm
selection sort
sequential access
set-covering problem
approximation algorithms
calculating answer
code for setup
sets
exercise
overview
set difference
set intersection
sets
set union
SHA algorithms
SHA algorithms
checking passwords
comparing files
overview
SHA (Secure Hash Algorithm) function, 2nd
shortest path, 2nd
signals, processing
Simhash, 2nd
simple search, 2nd, 3rd
SQL query
stacks
call stack
call stack with recursion
exercise, 2nd
overview
states_covered set
states_for_station
states_needed
stock market, predicting
strings, mapping to numbers
sum function, 2nd
third-degree connection
topological sort
training
trees
undirected graph
unique searches
unweighted graph